УДК. 691.163:691.58
, ,
ИСПОЛЬЗОВАНИЕ МОДИФИЦИРОВАННЫХ
1,2-ПОЛИБУТАДИЕНОВ В БИТУМНЫХ КОМПОЗИЦИЯХ
ФГБОУ ВПО Башкирский Государственный университет, г. Уфа
E-mail: dena_77@mail.ru
Одним из перспективных направлений улучшения свойств битумных композиций и асфальтобетонных смесей на их основе является использование в их составе полимерных продуктов, содержащих различные функциональные группы.
Изучено влияние модифицированных низкомолекулярных 1,2-полибутадиенов (НПБ) на адгезионные и эксплуатационные свойства битумных композиций. В экспериментах по модификации битума использовали малеинизированный НПБ (продукт - А1) и модифицированный НПБ, содержащий амидные группы (продукт А2).
Установлено, что введение продуктов А1 и А2 в состав битумной композиции в количестве 1%, обеспечивает эффективное сцепление битума с минеральным наполнителем, причем более высокая адгезия наблюдается при использовании продукта А2.
Изучено влияние низкомолекулярного ПБ и продуктов его модификации на такие важные свойства битумных композиций, как температура размягчения (Тр) и температура хрупкости (Тхр). Экспериментально показано, что введение в битум НПБ и продуктов А1 и А2 в количестве 1-5% приводит к увеличению теплостойкости битумной композиции, причем наибольшее повышение Тр (на 7-8ºС) происходит при введении продукта А2. Одновременно при использовании модифицированных ПБ наблюдается снижение значения Тхр битума на 3-4ºС. С увеличением содержания модифицированных олигомеров в битумной композиции значение Тхр закономерно уменьшается, а Тр – увеличивается.
Результаты экспериментов показали, что введение модифицированных 1,2-ПБ в состав битума увеличивает температурный интервал работоспособности битумной композиции на 7-11ºС. Более высокой эффективностью характеризуется продукт А2, применение которого позволяет увеличивать интервал работоспособности битума на 18%.
Таким образом, экспериментальные данные показали, что модифицированные олигомерные продукты на основе 1,2-ПБ не только улучшают адгезионные свойства битума, но и повышают его эксплуатационные характеристики. Указанные олигомерные продукты могут быть рекомендованы для использования в качестве модификаторов комплексного действия в составе битумных композиций.
УДК 699.812.3
ЭКОЛОГИЧЕСКИЙ АСПЕКТ ОГНЕЗАЩИТНЫХ КРАСОК НА ХИМИЧЕСКИХ И НЕФТЕХИМИЧЕСКИХ ПРЕДПРИЯТИЯХ
Уфимский государственный нефтяной технический университет, г. Уфа
E-mail:marat-evolution@yandex.ru
Самые значительные убытки от пожаров отмечаются в топливно-энергетическом комплексе. Поэтому разработка огнезащитных покрытий с повышенной огнезащитной способностью, работающих в сложных условиях эксплуатации, характерных для предприятий нефтегазовой отрасли, является актуальной проблемой в области пожарной и промышленной безопасности оборудования и сооружений [1].
Огнезащитные покрытия конструкций объектов химических и нефтехимических предприятий должны быть инертными к действию различных факторов окружающей среды и устойчивыми в агрессивных химических условиях, а также обеспечивать коррозионную стойкость защищаемой поверхности и максимальную пожарную безопасность объекта, т. е. быть универсальными.
В настоящее время огнезащитные краски являются наиболее оптимальным решением в повышении пожарной безопасности предприятий энергетической, нефтехимической, нефтеперерабатывающей и других отраслей, так как являются наиболее эффективными, легкими в применении для защиты различных поверхностей, имеют низкий расход и большой срок службы покрытия.
Наряду с традиционными требованиями к огнезащитным краскам в условиях нефтехимических предприятий, следует принимать во внимание проблему их экологической безопасности.
Огнезащитные краски содержат связующее вещество, наполнители и антипирены. Антипирен - вещества или смеси, добавляемые в материал (вещество) органического происхождения для снижения его горючести [2].
Рынок антипиренов в России сегодня перенасыщен галогенсодержащими продуктами. Использование современных высокоэффективных галогенсодержащих антипиреновых систем (гексабромциклододекан, тетрабромбисфенол А, триоксид сурьмы, декабромдифенилоксид, хлорированные парафины), как показала практика, приводит к существенному загрязнению окружающей среды. Безгалогеновые решения (фосфорсодержащие и азотсодержащие антипирены, инертные наполнители), уступая по некоторым показателям огнестойкости, имеют значительные преимущества по пожаробезопасным и экологическим характеристикам [3]. Дальнейшее изучение требует решения такого вопроса, как исследование воздействия огнезащитных красок на окружающую среду и на здоровье человека при пожаре и до возникновения аварийной ситуации.
Таким образом, исследования в области экологической безопасности огнезащитных красок остаются перспективными и требуют инновационных разработок.
Список литературы:
1 Ямщикова огнезащитной способности вспучивающихся покрытий для объектов нефтегазовой отрасли: автореф. дис. ... канд. техн. наук: 05.26.03. - M, 2009.
2 Собурь материалов и конструкций: справочник. — 3-е изд., доп. (с изм.) — М.: Пожкнига, 2004. — 240 с.
3 нтипирены без галогенов// The Chemical Journal.- 2010.- ноябрь. - С.54-55
УДК 547.233.4:620.197.3
, ,
СИНТЕЗ НОВЫХ ИМИДАЗОЛИНИЕВЫХ СОЕДИНЕНИЙ И ИХ
ИССЛЕДОВАНИЕ В КАЧЕСТВЕ ИНГИБИТОРОВ КОРРОЗИИ В
СОЛЯНОКИСЛЫХ СРЕДАХ
1 Институт нефтегазовых технологий и новых материалов, Академия наук Республики Башкортостан, г. Уфа
2 НПП «Импульс», г. Уфа
E-mail: *****@***ru
Солянокислотные обработки нефтяных и газовых скважин применяют для дополнительного притока нефти и газа. Ряд отраслей промышленности имеет дело с кислыми средами. Так, в химической промышленности большинство синтезов протекает в кислых средах или с образованием кислых продуктов, не говоря уже о получении самих кислот. В нефтяной и газовой промышленности приходится иметь дело с кислыми природными водами, а в нефтеперерабатывающей - с кислотами, появляющимися в процессе переработки нефти [1].
Использование кислых технологических сред, а также применение кислот для различного рода технологических операций приводят к интенсивной коррозии металлического оборудования, трубопроводов, емкостей, машин, агрегатов, арматуры и т. п. Так, например, интенсивной коррозии подвергается оборудование нефтеперерабатывающих заводов, где в ходе технологического процесса переработки нефти образуются соляная, сероводородная, уксусная, нафтеновая кислоты. В нефтегазодобывающей промышленности коррозии подвержены оборудование скважин, насосно-компрессорные трубы, установки сбора и перегонки нефти и газа из-за наличия сопутствующих кислых газов: сероводорода, углекислоты [2].
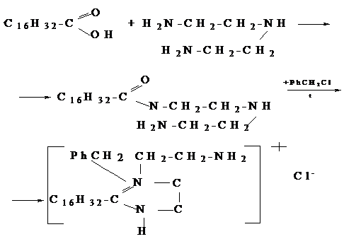
Был разработан новый ингибитор кислотной коррозии. Циклоконденсацией (140-1700С, водотделитель) олеиновой кислоты и диэтилентриамина в ксилоле, упариванием в вакууме и реакцией (2 часа, 200-2400С) с PhCH2Cl синтезирована имидазолин-аммонийная соль - новый имидазолиновый ингибитор коррозии.
Эффективность ингибирования исследована на автоматическом универсальном коррозиметре «Эксперт-004» (v. 1.47, -Эксперт»-ИФХЭ РАН), а также гравиметрическим методом по ГОСТ 9.505-86 [3] для стали Ст.3 в 22,9%-ой HCl (24 часа при 20-600С)при концентрации 0,2-0,5 г/л и найденном оптимальном соотношении с ПАВ и ионом I-эффективность достигает 98-99%.
Схема реакции:

Список литературы:
1 Иванов коррозии металлов в кислых средах. Справочник - М.: Металлургия, 1973.-174 с.
2 Решетников кислотной коррозии металлов. - Л.: Химия, 1986. - 144 с.
3 ГОСТ 9.505-86. Единая система защиты от коррозии и старения. Ингибиторы кислотной коррозии. Методы испытаний защитной способности при кислотном травлении металлов
УДК 541.64
1, 1, 2, 2,
2, 1, 2
СИНТЕЗ ЦИКЛОПРОПАНОВЫХ ПРОИЗВОДНЫХ
1,2-ПОЛИБУТАДИЕНОВ
1Башкирский государственный университет,450074 2
2Институт органической химии УНЦ РАН 450054, г. Уфа, пр. Октября, 71
E-mail *****@***ru
Одним из методов модификации полимеров с целью получения на их основе материалов с новым комплексом свойств является введение в состав макромолекул функциональных групп различной химической природы. Удобным объектом для химической модификации является 1,2-полибутадиен (1,2-ПБ), благодаря наличию в его составе реакционноспособных >С=С<-связей.
Целью настоящей работы являлось получение полимерных продуктов, содержащих циклопропановые группы, путем каталитического циклопропанирования 1,2-ПБ диазометаном, а также изучение некоторых физико-химических свойств модифицированных полимеров.
Для модификации использовали синдиотактический 1,2-ПБ (1,2-СПБ) со среднечисловой М = 52.6×103, степенью полидисперсности 2.22; содержанием 1,2-звеньев 85% (остальное звенья 1,4-полимеризации бутадиена. В качестве катализаторов циклопропанирования использовали соли меди и палладия: Cu(OTf)2, [Cu OTf]·0,5 C6H6, Pd(acac)2, Pd(OAc)2.
Модифицированные полимеры, содержащие циклопропановые группы, получали взаимодействием 1,2-ПБ с карбеном, генерируемым при каталитическом разложении диазометана в среде органического растворителя:

Показано, что степень циклопропанирования α полимера в существенной степени зависит от природы катализатора. Изученные катализаторы по их активности в реакции циклопропанирования 1,2-СПБ образуют следующий ряд:
|
Из за большого объема этот материал размещен на нескольких страницах:
1 2 3 4 5 6 7 8 9 10 11 12 13 14 15 16 17 18 19 20 21 22 23 24 25 26 27 28 29 30 31 32 33 34 35 36 37 38 39 40 41 42 43 44 45 46 47 48 49 50 51 52 53 54 55 56 57 58 59 60 61 62 63 64 65 66 67 |



