![]() |
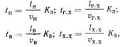
Продолжительность каждой из составляющих цикла определяют делением соответствующей длины пути на скорость движения:
где lн, lВ, lг. х. , lX. X — длины участков пути набора, выгрузки, груженого и порожнего хода, м; Vн, Vв, Vг. х., Vх. х. — соответствующие элементам цикла скорости движения тягача при наборе, выгрузке, груженом и порожнем ходе, выбираемые в соответствии с тяговыми сопротивлениями на различных участках пути движения скрепера, м/с; КЗ — коэффициент, учитывающий увеличение продолжительности элементов цикла за счет разгона при трогании с места, замедления при остановке и переключении передач, пробуксовке движителей по грунту.
Производительность скрепера в основном зависит от длины пути. При увеличении дальности возки производительность резко падает. Пределы применения скреперов можно увеличить при повышении транспортных скоростей движения до 30...60 км/ч. Это достигается при работе скреперов с быстроходными колесными тягачами.
5.4.4. Пути повышения производительности скреперов
Основные пути повышения производительности:
1) Увеличение объема грунта, разрабатываемого за один цикл, за счет:
а) улучшения наполнения ковша. Это можно достичь путем набора грунта с толкачом, которые обеспечивают сокращение длительности набора грунта и увеличивают коэффициент наполнения ковша.
Число скреперов, которое может обслуживать один толкач
![]()
где tц — продолжительность рабочего цикла одного скрепера; tн — продолжительность набора грунта скрепером (толкания толкачом); tП— время на переход толкача от одного скрепера к другому.
При дальности возки грунта скреперами 200...1000 м один толкач может обслуживать от 3 до 6 скреперов.
б) набора грунта под уклон;
в) увеличения толщины стружки при рациональных способах резания грунта (уступами, шахматно-гребенчатым способом);
2) увеличения числа циклов в единицу времени;
3) более полного использования рабочего времени, за счет обеспечение необходимыми материалами и энергетическими ресурсами; вспомогательными машинами, необходимыми для работы; своевременное выполнение технических уходов и ремонтов; увеличение числа рабочих смен в сутках (до 2…3); использование машин зимой; обеспечение квалифицированными кадрами.
Вопросы для самоконтроля
1. Какие условия необходимо учитывать при выборе скреперов?
2. Перечислите схемы движения скреперов при разработке грунта?
3. Каковы пути повышения производительности скреперов?
Примерный перечень практических
И ЛАБОРАТОРНЫХ занятий к модулю №2
1. Определение профильных объемов земляных работ.
2. Подсчёт объемов работ по строительству жилого дома.
3. Расчёт производительности строительных, дорожных, землеройно-транспортных машин в конкретных условиях.
Контрольные вопросы к модулю №2
1. Классификация транспортных средств и показатели для их выбора. Условия применения основных видов транспорта грунта.
2. Транспортирование грунта транспортом цикличного действия.
3. Определение производительности транспорта цикличного действия, методика её расчета.
4. Транспортирования грунта транспортом непрерывного действия. Определение производительности транспорта непрерывного действия.
5. Какие виды транспортных средств непрерывного действия Вы знаете. Их характеристика.
6. Автомобильный транспорт грунта, достоинства и недостатки, условия применения.
7. Виды инвентарных временных покрытий для землевозных путей транспортных средств.
8. Каким образом состояние землевозных путей влияет на производительность транспортных средств цикличного действия.
9. Каким образом рельеф местности влияет на производительность транспортных средств цикличного действия.
10. В чём заключается специфика использования специальных транспортных средств для транспортирования грунта.
11. Способы производства земляных работ и условия их применения.
12. Грунты и их строительные свойства.
13. Контроль качества при производстве земляных работ.
14. Технология разработки грунта экскаваторами с рабочим оборудованием «драглайн».
15. Условия применения экскаваторов с рабочим оборудованием «драглайн».
16. Перечислите основные способы разработки грунта в выемках экскаваторами с рабочим оборудованием «драглайн». Дайте определение этих способов.
17. Условия применяемости продольного способа разработки грунта в выемках экскаваторами с рабочим оборудованием «драглайн» и методика их определения.
18. Область применения одноковшовых экскаваторов с рабочим оборудованием «прямая лопата».
19. Технология разработки грунтов экскаваторами с рабочим оборудованием «прямая лопата».
20. Технология разработки грунтов с рабочим оборудованием «обратная лопата».
21. Перечислите все элементы цикла одноковшового экскаватора.
22. Область применения одноковшовых экскаваторов с рабочим оборудованием «обратная лопата».
23. Область применения одноковшовых экскаваторов с рабочим оборудованием «прямая лопата».
24. Поперечный способ разработки выемок экскаватором с рабочим оборудованием «обратная лопата».
25. Продольный способ разработки выемок экскаватором.
26. Продольно-поперечный способ разработки выемок экскаватором.
27. Производительность одноковшовых экскаваторов, методика её расчёта и пути ее повышения.
28. Виды производительности одноковшовых экскаваторов и их определения.
29. Область и условия применения бульдозеров в сельскохозяйственном строительстве. Классификация бульдозеров.
30. Технология разработки грунта бульдозерами. Схемы резания грунта.
31. Способы разработки грунта бульдозерами, схемы рабочих перемещений и их характеристики.
32. Перечислите рабочие технологические параметры бульдозеров.
33. Производительность бульдозеров, методика ее расчёта.
34. Пути повышения производительности бульдозеров.
35. Определение длины пути набора грунта перед отвалом бульдозера.
36. Как определяется предельная крутизна преодолеваемого бульдозером уклона пути и предельный объем грунта перемещаемый бульдозером на подъеме.
37. Область и условия применения скреперов в сельскохозяйственном строительстве.
38. Перечислите основные технологические параметры скреперов, необходимые для проектирования производства работ.
39. Технология разработки грунтов скреперами. Способы разработки, схемы рабочих перемещений и их характеристика.
40. Методика определения производительности скреперов, необходимые исходные данные.
41. Пути повышения производительности скреперов.
МОДУЛЬ №3
5.5. ТЕХНОЛОГИЯ УПЛОТНЕНИЯ ГРУНТА ПРИ СТРОИТЕЛЬСТВЕ ЗЕМЛЯНЫХ НАСЫПНЫХ СООРУЖЕНИЙ
5.5.1. Факторы, влияющие на интенсивность уплотнения грунтов и их характеристика.
5.5.2. Способы уплотнения грунта, их характеристика и условия применения.
5.5.3. Технология уплотнения грунта машинами статистического и динамического действия.
5.5.4. Производительность грунтоуплотняющих машин, методика её расчёта. Контроль качества уплотнения в насыпных сооружениях.
5.5.1. Факторы, влияющие на интенсивность уплотнения грунтов
и их характеристика
Для создания устойчивых, надежных и прочных земляных сооружений укладываемый грунт необходимо уплотнять. Укладку и уплотнение грунтов выполняют при планировочных работах, возведении различных насыпей, обратных засыпках траншей и пазух котлованов. Уплотняют грунт обычно послойно, по мере его поступления.
С увеличением плотности грунта обычно возрастают его прочность, водонепроницаемость, сопротивляемость размыву, повышается статическая устойчивость земляного сооружения.
Степень уплотнения грунта оценивают по его плотности, которую обычно выражают в г/см3 и т/м3.
На уплотняемость грунта влияют следующие факторы: гранулометрический состав, связность, начальная плотность, влажность, толщина укладываемых и уплотняемых слоев, способы уплотнения, характеристики применяемых машин, число проходок уплотняющим механизмом по одному месту.
Обычно более интенсивно и легко уплотняются несвязные грунты, между частицами которых нет цементационных связей. Более равномерное уплотнение можно получить при укладке грунта тонкими слоями.
Процесс уплотнения в значительной степени зависит от влажности грунта. Действие воды, обволакивающей поверхность частиц грунта, можно уподобить смазке, снижающей трение частиц грунта между собой при более плотной укладке их в результате приложения нагрузки.
Однако по мере увеличения влажности плотность грунта будет возрастать (при одной и той же затраченной работе) до определенного предела, выше которого с увеличением влажности плотность грунта уменьшается. Это объясняется несжимаемостью воды при заполнении ею, всех свободных пор в рыхлом грунте.
Уплотнение грунта с наименьшими затратами энергии может быть достигнуто при оптимальной влажности. Ее точное значение устанавливают только по данным пробного уплотнения. Для эффективного использования уплотняющих машин сухие грунты доувлажняют, а переувлажненные подсушивают при послойной укладке.
Грунт следует доувлажнять по возможности в карьерах (за 2...3 месяца до начала разработки). Если это невозможно, то воду добавляют на месте укладки из автоцистерн или из временных водопроводов.
Необходимую плотность грунта нельзя получить однократным приложением уплотняющей нагрузки. При первых проходах катков или ударах трамбовок происходит интенсивное нарастание плотности. После 3...4 проходов интенсивность уплотнения резко падает, а после 10...12 уплотнение почти прекращается. Нужное число повторных приложений нагрузок (проходов) можно установить только по пробному уплотнению грунта. Обычно необходимое число проходов катков по одному месту составляет 6...8.
5.5.2. Способы уплотнения грунта, их характеристика
и условия применения
Процесс укладки грунта в профильные насыпи требует выполнения ряда строительных операций: подготовка основания под насыпь и под каждый укладываемый слой; насыпка-навал грунта; послойное разравнивание насыпанного грунта; доувлажнение и выдерживание грунта до равномерного распределения влаги; собственно уплотнение; срезка неуплотненных слоев грунта с откосов и перемещение его в тело основной насыпи (срезка бахромы).
|
Из за большого объема этот материал размещен на нескольких страницах:
1 2 3 4 5 6 7 8 9 10 11 12 13 14 15 16 17 18 19 20 21 22 23 24 25 26 27 28 29 30 31 32 33 34 35 36 37 38 39 40 41 42 43 44 45 46 47 48 49 50 51 52 53 54 55 56 |




