По трудности разработки грунтов для бульдозера их подразделяют на три группы. Грунты третей группы предварительно разрыхляются рыхлителями.
5.3.2. Технология разработки грунта бульдозерами. Способы разработки, схемы рабочих перемещений и их характеристики
Цикл работы бульдозера: резание и набор грунта методом снятия стружки; перемещение грунта с надвижкой его отвалом бульдозера; разгрузка грунта с последующим возвратом бульдозера к месту набора грунта.
Планировка площадок бульдозерами выполняется преимущественно траншейным и послойным способами.
При траншейном способе выемку разбивают на ярусы глубиной 0,4...0,5 м. Разработку каждого яруса ведут траншеями на ширину отвала разрабатывая за 2…3 проходки бульдозера по нему, оставляя между ними полосы нетронутого грунта шириной до 0,6 м. Эти валы срезают бульдозерами в последнюю очередь. Достоинство данного способа: минимальные потери грунта при его транспортировании.
При послойном способе выемку разрабатывают слоями на толщину снимаемой стружки за один проход бульдозера последовательно по всей ширине выемки или отдельными его частями. Способ применим при небольших глубинах срезки и сложном очертании площадки работ, он прост и используется чаще, чем траншейный.
При перемещениях грунта на расстояние свыше 40 м применяют способ разработки с промежуточным валом, а также спаренную работу двух бульдозеров. Отсыпку грунта ведут послойно, начиная с более удаленной точки от места забора. При дальности перемещения до 70 м бульдозер возвращается в забой для повторения цикла задним ходом без разворота машины.
Способы разработки грунта бульдозерами: продольный; поперечный; продольно-поперечный.
Выбор способа разработки зависит от параметров разрабатываемой полосы грунта, направления выполнения отдельных элементов.
Продольный – такой способ, при котором все элементы цикла выполняются в направлении параллельном оси возводимого сооружения.
Поперечный – способ, при котором все элементы цикла выполняются в направлении перпендикулярном оси возводимого сооружения.
Продольно-поперечный – это способ, при котором резания грунта и набор его перед отвалом выполняется в направлении параллельном оси сооружения, а транспортируется в направлении перпендикулярном оси сооружения.
Применяется способ при разравнивании отвалов грунта, засыпке траншей, разработке грунта в выемках с перемещением его в отвалы.
Объем грунта (м3), который может быть набран перед отвалом бульдозера определяется по формуле:
![]() |
![]()
где f — площадь поперечного сечения грунта перед отвалом; b0 — ширина отвала, м; Н0 – высота отвала, м; β – угол захвата, град; φ – угол естественного откоса грунта (30...40°); кн — коэффициент заполнения емкости перед отвалом бульдозера в долях единицы от наибольшего возможного заполнения (примерно 0,6...0,8).
![]() |
Объем грунта набранный перед отвалом бульдозера зависит в основном от линейных размеров отвала бульдозера (рис. 5.8.).
Рис. 5.8. Схемы работы бульдозеров:
а – с неповоротным отвалом; б – с поворотным отвалом; в – схема набора,
перемещения и отсыпки грунта; г – схема к определению грунта перед
отвалом бульдозера.
Резание грунта следует осуществлять на горизонтальных участках или спусках, так как при движении на подъем значительная часть силы тяги тратиться на передвижение самого бульдозера.
При резании грунта применяют прямоугольную, гребенчатую и клиновую схемы.
Прямоугольная применяется для срезки растительного грунта с трассы и разработки грунтов на подъемах.
Гребенчатая – для разработки грунтов I группы на спусках.
Клиновая – на горизонтальных участках и спусках, разработки грунтов I и II групп.
Длина пути набора грунта перед отвалом бульдозера определяется по формуле:
где q — объем грунта, перемещаемого отвалом бульдозера, м3; К1р — коэффициент приведения грунта к первоначальной плотности; кп — коэффициент потерь грунта в боковых валиках при резании (примерно 1,2); кh — коэффициент неравномерности толщины стружки (примерно 0,7); b0 — ширина отвала бульдозера, м; h — глубина резания, м.
В благоприятных условиях длина пути набора грунта в среднем равна 6...10 м.
На месте укладки грунт можно отсыпать бульдозером либо в виде отдельных валов — призм, либо послойно при укладке грунта в качественные насыпи.
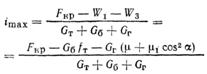
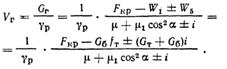
В процессе производства работ бульдозерами часто необходимо перемещать грунт из выемки или по откосу насыпи вверх или выполнять планировку откосов. При этом требуется установить либо крутизну предельного откоса, либо объем грунта, который сможет перемещать бульдозер при заданной крутизне откоса. Обе задачи решают приравниванием действующих тяговых сопротивлений силе тяги трактора-тягача на крюке:
W1 + W3 ± W5 = Fкр,
где W1 — дополнительное тяговое сопротивление передвижению от веса рабочего оборудования бульдозера; W3 — сопротивление от перемещения призмы грунта перед отвалом; W5— дополнительное сопротивление от составляющей силы тяжести трактора, оборудования бульдозера, грунта при работе бульдозера на негоризонтальных участках.
Предельная крутизна преодолеваемого бульдозером уклона пути
![]() |
Предельный объем грунта, который может быть перемещен бульдозером на подъеме при условии, что грунт на подъеме не режется:
![]() |
где Fкр — сила тяги на крюке при первой передаче трактора; Gб, Gт, Gr— вес соответственно бульдозера, трактора и перемещаемого грунта; fr – коэффициент сопротивления перекатыванию трактора; µ, µ1 — коэффициенты трения грунта по грунту (0,7...1,2) и грунта по металлу (0,4...0,6); i — преодолеваемый уклон пути; а — угол наклона рабочей поверхности отвала к горизонту, примерно равный углу резания грунта; γР — плотность грунта в рыхлом состоянии перед отвалом.
Предельная крутизна откосов для работы бульдозеров обычно не более чем m= 2,5.
5.3.3. Производительность бульдозеров, методика ее расчёта
Факторы влияющих на производительность бульдозеров: физические свойства грунта, дальность его перемещения, уклоны местности, геометрические размеры и форма отвалов.
При разработке и перемещении грунта его производительность (м3/ч)
П = q·n·Кп·Кi·К1р·Кв,
где q — объем грунта, перемещаемый отвалом; n — число циклов в час при определенной дальности перемещения грунта; кп — коэффициент потерь грунта в боковые валики; кi — коэффициент, учитывающий влияние уклона пути; к1Р — коэффициент приведения грунта к первоначальной плотности; кВ — коэффициент использования рабочего времени.
Число циклов бульдозера в час
n = 3600/tц,
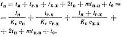
продолжительность одного цикла
![]() |
где tн, tг. х, tхх, tП, tп. п., t0 — соответственно продолжительности резания грунта, перемещения грунта, обратного (холостого) хода, одного поворота на 180° (10...20 с), одного переключения скорости (5 с), опускания отвала в рабочее положение (1...2 с); т — число переключений скоростей трактора в течение одного цикла; lн, lг. х. — длины путей резания грунта и перемещения к месту укладки, м; vН, vГХ, vх. х — скорости движения бульдозера соответственно при резании грунта, перемещении грунта и обратном ходе, м/с; кv — коэффициент, учитывающий снижение скоростей по сравнению с расчетной конструктивной скоростью трактора.
Коэффициент потерь грунта в зависимости от дальности его перемещения
Кп = 1 – kl lг. х,
где kl — опытный коэффициент; lг. х. — длина пути перемещения грунта до места отсыпки, м.
С увеличением дальности перемещения грунта производительность бульдозеров резко снижается вследствие увеличения продолжительности цикла и потерь грунта в боковые валики.
Применение бульдозеров при дальности перемещения грунта свыше 20...30 м становится малоэффективным из-за больших потерь грунта по пути. Объем перемещаемого отвалом грунта в большой мере зависит от уклона местности, на которой работает бульдозер. При работе на спусках объем перемещаемого за один раз грунта, а следовательно, и производительность резко увеличиваются.
Эксплуатационная производительность бульдозеров (м2/ч) по планировке поверхности

где L – длина планируемого участка; b0 – ширина отвала; 0,5 м — ширина перекрытия смежными проходами; β — угол захвата (для неповоротных отвалов β = 90° и sin β = 1); V – скорость движения тягача при планировке, м/с; tП – продолжительность разворота в конце планируемого участка, с; т – число проходов по одному месту.
5.3.4. Пути повышения производительности бульдозеров
Пути повышения производительности бульдозеров:
1) увеличения объема грунта, разрабатываемого за один цикл за счет:
а) применение боковых открылков, на легких грунтах применяют специальные боковые щеки, уширители к отвалу, а также специальные отвалы ящичной формы, увеличивающие объем грунта перед отвалом и способствующие уменьшению потерь его в боковые валики;
б) спаренной работы бульдозеров путем перемещения грунта одновременно двумя или тремя бульдозерами, движущимися параллельно с интервалом в 0,3...0,5 м. Этот прием повышает производительность каждого бульдозера на 15...25 %;
в) применения траншейных способов разработки грунта.
|
Из за большого объема этот материал размещен на нескольких страницах:
1 2 3 4 5 6 7 8 9 10 11 12 13 14 15 16 17 18 19 20 21 22 23 24 25 26 27 28 29 30 31 32 33 34 35 36 37 38 39 40 41 42 43 44 45 46 47 48 49 50 51 52 53 54 55 56 |








