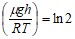
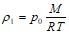
Решение. Плотности газа на уровне моря и на высоте h соответственно равны:
;
. По условию
, тогда
. Прологарифмировав полученное выражение:
, отсюда
.
а) Для воздуха м=0,029 кг/моль; h=5,53 км. б) Для водорода м=0,002 кг/моль; h=80,23 км.
Распределение Больцмана.
3.1. Пылинки, взвешенные в воздухе, имеют массу m=10-18 г. Во сколько раз уменьшится их концентрация п при увеличении высоты на Δh =10 м? Температура воздуха Т=300 К.
3.2. Одинаковые частицы массой m=10-12 г каждая распределены в однородном гравитационном поле напряженностью G=0,2 мкН/кг. Определить отношение п1/п2 концентраций частиц, находящихся на эквипотенциальных уровнях, отстоящих друг от друга на Δz= 10 м. Температура Т во всех слоях считается одинаковой и равной 290 К.
3.3. Масса m каждой из пылинок, взвешенных в воздухе, равна 1 аг. Отношение концентрации n1 пылинок на высоте h1=1м к концентрации п0 их на высоте h0=0 равно 0,787. Температура воздуха Т=300 К. Найти по этим данным значение постоянной Авогадро NА,.
3.4. Определить силу F, действующую на частицу, находящуюся во внешнем однородном поле силы тяжести, если отношение п1/п2 концентраций частиц на двух уровнях, отстоящих друг от друга на Δz=1 м, равно e. Температуру Т считать везде одинаковой и равной 300 К.
3.5. На сколько уменьшится атмосферное давление р=100 кПа при подъеме наблюдателя над поверхностью Земли на высоту h=100 м? Считать, что температура Т воздуха равна 290 К и не изменяется с высотой.
3.6. На какой высоте h над поверхностью Земли атмосферное давление вдвое меньше, чем на ее поверхности? Считать, что температура Т воздуха равна 290 К и не изменяется с высотой.
3.7. Барометр в кабине летящего вертолета показывает давление р=90 кПа. На какой высоте h летит вертолет, если на взлетной площадке барометр показывал давление p0=100 Па? Считать, что температура Т воздуха равна 290 К и не изменяется с высотой.
3.8. Найти изменение высоты Δh, соответствующее изменению давления на Δp=100 Па, в двух случаях: 1) вблизи поверхности Земли, где температура T1=290 К, давление p1=100 кПа; 2) на некоторой высоте, где температура Т2=220 К, давление p2=25 кПа.
3.9. Барометр в кабине летящего самолета все время показывает одинаковое давление р=80 кПа, благодаря чему летчик считает высоту h полета неизменной. Однако температура воздуха изменилась на ΔT=1 К. Какую ошибку Δh в определении высоты допустил летчик? Считать, что температура не зависит от высоты и что у поверхности Земли давление р0=100 кПа.
3.10. Ротор центрифуги вращается с угловой скоростью ω. Используя функцию распределения Больцмана, установить распределение концентрации п. частиц массой m, находящихся в роторе центрифуги, как функцию расстояния r от оси вращения.
3.11. В центрифуге с ротором радиусом а, равным 0,5 м, при температуре T=300К находится в газообразном состоянии вещество с относительной молекулярной массой Mr=103. Определить отношение na/n0 концентраций молекул у стенок ротора и в центре его, если ротор вращается с частотой п=30 с-1.
3.12. Ротор центрифуги, заполненный радоном, вращается с частотой п=50с-1. Радиус а ротора равен 0,5 м. Определить давление р газа на стенки ротора, если в его центре давление р0 равно нормальному атмосферному. Температуру Т по всему объему считать одинаковой и равной 300 К.
3.13. В центрифуге находится некоторый газ при температуре Т=271 К. Ротор центрифуги радиусом а=0,4 м вращается с угловой скоростью ω=500 рад/с. Определить относительную молекулярную массу Мr газа, если давление р у стенки ротора в 2,1 раза больше давления p0 в его центре.
3.14. Ротор ультрацентрифуги радиусом а=0,2 м заполнен атомарным хлором при температуре T=3 кК. Хлор состоит из двух изотопов: 37Cl и 35Cl. Доля ω1 атомов изотопа 37Cl составляет 0,25. Определить доли ω'1 и ω'2 атомов того и другого изотопов вблизи стенок ротора, если ротору сообщить угловую скорость вращения ω, равную 104 рад/с.
3.15. Идеальный газ с молярной массой М находится в однородном поле тяжести, ускорение свободного падения в котором равно g. Найти давление газа как функцию высоты h, если при h=0 давление Р=Р0, а температура изменяется с высотой как
Т=Т0(1-ah).
3.16. У поверхности Земли молекул гелия в 105 раз, а водорода в 106 раз меньше, чем молекул азота. На какой высоте число молекул гелия будет равно числу молекул азота? Принять температуру атмосферы равной 273 К.
Распределение молекул по скоростям и импульсам.
3.17. Зная функцию распределения молекул по скоростям, вывести формулу наиболее вероятной скорости vв.
3.18. Используя функцию распределения молекул по скоростям, получить функцию, выражающую распределение молекул по относительным скоростям и (u=v/vв).
3.19. Какова вероятность W того, что данная молекула идеального газа имеет скорость, отличную от Ѕvв не более чем на 1 %?
3.20. Найти вероятность W того, что данная молекула идеального газа имеет скорость, отличную от 2vв не более чем на 1 %.
3.21. Зная функцию распределения молекул по скоростям, вывести формулу, определяющую долю ω молекул, скорости v которых много меньше наиболее вероятной скорости vв.
3.22. Определить относительное число ω молекул идеального газа, скорости которых заключены в пределах от нуля до одной сотой наиболее вероятной скорости vв.
3.23. Зная функцию распределения молекул по скоростям, определить среднюю арифметическую скорость <v> молекул.
3.24. По функции распределения молекул по скоростям определить среднюю квадратичную скорость <vкв >
3.25. Определить, какая из двух средних величин, <1/v> или 1/<v>, больше, и найти их отношение k.
3.26. Распределение молекул по скоростям в молекулярных пучках при эффузионном истечении* отличается от максвелловского и имеет вид
. Определить из условия нормировки коэффициент С.
3.27. Зная функцию распределения молекул по скоростям в некотором молекулярном пучке
, найти выражения для: 1) наиболее вероятной скорости vв; 2) средней арифметической скорости <v>.
3.28. Водород находится при нормальных условиях и занимает объем V=1 см3. Определить число N молекул в этом объеме, обладающих скоростями, меньшими некоторого значения vmax=1 м/с.
3.29. Вывести формулу наиболее вероятного импульса рв молекул идеального газа.
3.30. Найти число N молекул идеального газа, которые имеют импульс, значение которого точно равно наиболее вероятному значению рв.
3.31. Вывести формулу, определяющую среднее значение компонента импульса < р> молекул идеального газа.
3.32. На сколько процентов изменится наиболее вероятное значение рв импульса молекул идеального газа при изменении температуры на один процент?
3.33. Найти выражение для импульса молекул идеального газа, энергии которых равны наиболее вероятному значению энергии.
Распределение молекул по кинетическим энергиям.
3.34. Найти выражение средней кинетической энергии <εп> поступательного движения молекул. Функцию распределения молекул по энергиям считать известной.
3.35. Преобразовать формулу распределения молекул по энергиям в формулу, выражающую распределение молекул по относительным энергиям ω(ω=εп/<εп>), где εп —кинетическая энергия; <εп> — средняя кинетическая энергия поступательного движения молекул.
3.36. Определить долю ω молекул идеального газа, энергии которых отличаются от средней энергии <εп> поступательного движения молекул при той же температуре не более чем на 1 %.
3.37. Вывести формулу, определяющую долю ω молекул, энергия ε которых много меньше kT. Функцию распределения молекул по энергиям считать известной.
3.38. Определить долю ω молекул, энергия которых заключена в пределах от ε1=0 до ε2=0,01kТ.
3.39. Число молекул, энергия которых заключена в пределах от нуля до некоторого значения ε, составляет 0,1 % от общего числа молекул. Определить величину ε в долях kT.
3.40. Считая функцию распределения молекул по энергиям известной, вывести формулу, определяющую долю ω молекул, энергия ε которых много больше энергии теплового движения молекул.
3.41. Число молекул, энергия которых выше некоторого значения ε1, составляет 0,1 от общего числа молекул. Определить величину ε1 в долях kT, считая, что ε1» kT.
Указание. Получающееся трансцендентное уравнение решить графически.
3.42. Используя функцию распределения молекул по энергиям, определить наиболее вероятное значение энергии εв.
3.43. Преобразовать функцию f(ε)dε распределения молекул по кинетическим энергиям в функцию f(θ)dθ распределения молекул по относительным кинетическим энергиям (где θ=ε/εв; εв — наиболее вероятное значение кинетической энергии молекул).
3.44. Найти относительное число ω молекул идеального газа, кинетические энергии которых отличаются от наиболее вероятного значения εв энергии не более чем на 1 %.
3.45. Определить относительное число ω молекул идеального газа, кинетические энергии которых заключены в пределах от нуля до значения, равного 0,01 εв (εв — наиболее вероятное значение кинетической энергии молекул).
|
Из за большого объема этот материал размещен на нескольких страницах:
1 2 3 4 5 6 7 8 9 10 11 12 13 14 15 16 17 18 19 20 21 22 23 24 25 26 27 28 29 30 31 32 33 34 35 36 37 38 39 40 41 |



