Решение. Коэффициент теплопроводности
,
а коэффициент вязкости
.
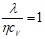
Отсюда следует, что коэффициенты связаны соотношением:
.
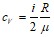
Теплоемкость при постоянном объеме
, где i=5, т. к. водород - двухатомный газ.
Тогда
, поэтому
;
мВт/(м⋅К).
Пример 11. Найти теплопроводность воздуха л при давлении p=100 кПа и температуре T=283 К. Диаметр молекул d=0,3 нм.
Решение. Коэффициент теплопроводности
.
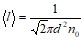
Средняя длина свободного пробега молекул
.
Средняя арифметическая скорость равна
.
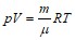
Из уравнения Менделеева-Клапейрона
, плотность
.
Теплоемкость при постоянном объеме
, для воздуха i=5. Тогда коэффициент теплопроводности будет равен:
;
мВт/(м⋅К).
Длина свободного пробега и число столкновений молекул.
3.49. Найти среднюю длину свободного пробега <l> молекул водорода при давлении p=0,1 Па и температуре Т=100 К.
3.50. При каком давлении р средняя длина свободного пробега <l> молекул азота равна 1 м, если температура Т газа равна 300 К?
3.51. Баллон вместимостью V=10 л содержит водород массой m=1 г. Определить среднюю длину свободного пробега <l> молекул.
3.52. Можно ли считать вакуум с давлением p=100 мкПа высоким, если он создан в колбе диаметром d=20 см, содержащей азот при температуре T=280 К?
3.53. Определить плотность ρ разреженного водорода, если средняя длина свободного пробега <l> молекул равна 1 см.
3.54. Найти среднее число <z> столкновений, испытываемых в течение t=1 с молекулой кислорода при нормальных условиях.
3.55. Найти число N всех соударений, которые происходят в течение t=1 с между всеми молекулами водорода, занимающего при нормальных условиях объем V=1 мм3.
3.56. В газоразрядной трубке находится неон при температуре T=300 К и давлении p=1 Па. Найти число N атомов неона, ударяющихся за время Δt=1 с о катод, имеющий форму диска площадью S==1 см2.
3.57. Найти среднюю продолжительность <τ> свободного пробега молекул кислорода при температуре Т=250 К и давлении р=100 Па.
3.58. Найти зависимость средней длины свободного пробега <l> молекул идеального газа от давления р при следующих процессах: 1) изохорном; 2) изотермическом. Изобразить эти зависимости на графиках.
3.59. Найти зависимость средней длины свободного пробега <l> молекул идеального газа от T температуры при следующих процессах: 1) изохорном; 2) изобарном. Изобразить эта зависимости на графиках.
3.60. Найти зависимость среднего числа столкновений <z> молекулы идеального газа в 1 с от давления р при следующих, процессах: 1) изохорном; 2) изотермическом. Изобразить эти зависимости на графиках.
3.61. Найти зависимость среднего числа столкновений <z> молекулы идеального газа в 1 с от температуры Т при следующих процессах: 1) изохорном; 2) изобарном. Изобразить эти зависимости на графиках.
3.62. Определить среднюю длину свободного пробега l молекул кислорода, находящегося при температуре 00 C, если среднее число Z столкновений, испытываемых молекулой в 1 с, равно 3,7⋅10-9 с-1.
3.63. Средняя длина свободного пробега l1 молекул водорода при нормальных условиях составляет 0,1 мкм. Определите среднюю длину их свободного пробега при давлении 0,1 Па, если температура газа остается постоянной.
3.64. Чему равна длина свободного пробега молекул водорода при давлении р=0,54 Па и при температуре 670 С? Диаметр молекул водорода d=0,28 нм.
3.65. При какой температуре средняя длина свободного пробега молекул водорода равна 2,5 см, если давление газа р=0,54 Па? Диаметр молекулы водорода d=0,28 нм.
3.66. Определить, какая масса азота находится в сосуде вместимостью 100 см3, если средняя длина свободного пробега молекул газа l=23,2 нм. Эффективный диаметр молекул газа d=0,28 нм.
3.67. Определить среднюю продолжительность ф свободного пробега молекул водорода при температуре 270 С и давлении 0,5 кПа. Диаметр молекул d=0,28 нм.
3.68. Определить вместимость сосуда, в котором находится кислород при нормальных условиях, если общее число столкновений Z между молекулами кислорода в этом сосуде за единицу времени Z=1032 c-1.
3.69. Найти среднее число столкновений Z в единицу времени молекул некоторого газа, если средняя длина свобного пробега l=5 мкм, а среднеквадратичная скорость его молекул vкв=500 м/с.
3.70. Какое предельное число n молекул газа должно находиться в единице объема сферического сосуда, чтобы молекулы не сталкивались друг с другом? Диаметр молекул газа d=0,3 нм. Диаметр сосуда D=15 см.
3.71. В сосуде вместимостью V= 100 см3 находится масса азота m=0,5г. Найти среднюю длину свободного пробега l молекул азота. Эффективный диаметр молекул d=0,28 нм.
3.72. Чему равна вместимость сосуда, заполненного азотом массой m=0,49 г, если средняя длина свободного пробега его молекул l=23,2 нм? Эффективный диаметр молекул d=0,28 нм.
3.73. Во сколько раз увеличится объем газа в адиабатическом процессе, если длина свободного пробега его молекул увеличилась в 2,34 раза?
3.74. В сосуде находится кислород при нормальных условиях. Число столкновений Z между молекулами газа в этом сосуде в единицу времени равно 1032 1/с. Эффективный диаметр равен 0,38 нм. Найти объем этого сосуда.
3.75. Найти длину свободного пробега молекул водорода при нормальных условиях, если коээфициент диффузии D=0,9⋅10-4 м2/с. Эффективный диаметр молекул кислорода d=0,36 нм.
3.76. Определить среднюю длину свободного пробега молекул кислорода при нормальных условиях. Эффективный диаметр молекулы кислорода принять равным 2,9⋅ 10-10м.
3.77. При каком давлении средняя длина свободного пробега молекул водорода 2,5 см? Температура водорода 68° С, а эффективный диаметр молекулы 2,3⋅10-10 м.
3.78. Найти среднее число столкновений в 1 с молекулы углекислого газа при 100° С, если средняя длина свободного пробега молекул 8,7⋅10-2 см.
3.79. Сколько молекул содержится в 1 см3 водорода, находящегося при давлении 1,013⋅ 105 Па и температуре 27°С? Чему равна средняя арифметическая скорость этих молекул? Сколько соударений в секунду испытывает молекула, если ее эффективный диаметр 2,3⋅ 108 см?
3.80. Какова плотность разреженного водорода, если средняя длина свободного пробега молекул 1 см, эффективный диаметр молекулы 2,3⋅10-8 см?
3.81. При каком давлении средняя длина свободного пробега молекул азота равна 1 мм, если при нормальном давлении она составляет 6⋅10-6 см?
Явления переноса: диффузия, вязкость,
теплопроводность.
3.82. Средняя длина свободного пробега <l> атомов гелия при нормальных условиях равна 180 нм. Определить диффузию D гелия.
3.83. Диффузия D кислорода при температуре t=0°С равна 0,19 см2/с. Определить среднюю длину свободного пробега <l> молекул кислорода.
3.84. Вычислить диффузию D азота: 1) при нормальных условиях; 2) при давлении p=100 Па и температуре T=300 К.
3.85. Определить, во сколько раз отличается диффузия D1 газообразного водорода от диффузии D2 газообразного кислорода, если оба газа находятся при одинаковых условиях.
3.86. Определить зависимость диффузии D от температуры Т при следующих процессах: 1) изобарном; 2) изохорном.
3.87. Определить зависимость диффузии D от давления р при следующих процессах: 1) изотермическом; 2) изохорном.
3.88. Вычислить динамическую вязкость η кислорода при нормальных условиях.
3.89. Найти среднюю длину свободного пробега <l> молекул, азота при условии, что его динамическая вязкость η=17 мкПа⋅с.
3.90. Найти динамическую вязкость η гелия при нормальных условиях, если диффузия D при тех же условиях равна 1,06⋅10-4 м2/с.
3.91. Определить зависимость динамической вязкости η от температуры Т при следующих процессах: 1) изобарном; 2) изохорном. Изобразить эти зависимости на графиках.
3.92. Определить зависимость динамической вязкости η от давления p при следующих процессах: 1) изотермическом; 2) изохорном. Изобразить эти зависимости на графиках.
3.93. Цилиндр радиусом R1=10 см и длиной l=30 см расположен внутри цилиндра радиусом, R2=10,5 см так, что оси обоих цилиндров совпадают. Малый цилиндр неподвижен, большой вращается относительно геометрической оси с частотой n=15с-1. Динамическая вязкость η газа, в котором находятся цилиндры, равна 8,5 мкПа⋅с. Определить: 1) касательную силу fτ, действующую на поверхность внутреннего цилиндра площадью S=l м2; 2) вращающий момент М, действующий на этот цилиндр.
3.94. Два горизонтальных диска радиусами R=20 см расположены друг над другом так, что оси их совпадают. Расстояние d между плоскостями дисков равно 0,5 см. Верхний диск неподвижен, нижний вращается относительно геометрической оси с частотой n=10с-1. Найти вращающий момент М, действующий на верхний диск. Динамическая вязкость η воздуха, в котором находятся диски, равна 17,2 мкПа⋅с.
|
Из за большого объема этот материал размещен на нескольких страницах:
1 2 3 4 5 6 7 8 9 10 11 12 13 14 15 16 17 18 19 20 21 22 23 24 25 26 27 28 29 30 31 32 33 34 35 36 37 38 39 40 41 |



