.
Количество теплоты, выделяющееся при охлаждении газа при постоянном давлении:
,
Сp - молярная теплоемкость при постоянном давлении. Для всех двухатомных газов
.
.
Работа сжатия при изобарном процессе
.
Изменение объема найдем из уравнения Менделеева-Клапейрона. При изобарном процессе:
;
.
Почленным вычитанием находим :
.
Следовательно,
.
Подставляя числовые значения в формулы, получим:
кДж.
кДж.
кДж.
Пример 7. Аргон при давлении p=0,8 атм. Изменил объем с V1=1 л до V2=2 л. Как изменяется величина внутренней энергии, если расширение производилось при различных процессах: изобарическом, адиабатическом?
Решение. Согласно первому закону термодинамики, количество теплоты, переданное системе, может расходоваться как на увеличение внутренней энергии, так и на совершение механической работы:
.
Величину внутренней энергии можно определить, зная массу газа, удельную теплоемкость при постоянном объеме и изменение температуры :
.
Однако удобнее изменение внутренней энергии определять через молярную теплоемкость, которая может быть выражена через число степеней свободы:
.
Получим:
.
При изобарическом расширении газа согласно первому закону термодинамики часть тепла идет на изменение внутренней энергии. Определить ДU для аргона по ранее выведенной формуле нельзя, так как масса и температура газа не даны.
Используем уравнение Менделеева-Клапейрона для начального и конечного состояний газа:
; ![]()
или
.
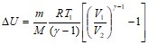
Подставим выражение в формулу
.
Полученное уравнение является расчетным для определения ДU при изобарическом расширении.
Дж.
При адиабатическом расширении газа теплообмен со средой не происходит.
.
Это соотношение устанавливает, что работа расширения газа может быть произведена только за счет уменьшения внутренней энергии газа.
.
Формула работы для адиабатического процесса имеет вид:
,
где г - показатель степени адиабаты, который является отношением теплоемкостей:
.
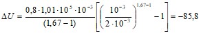
Определим изменение внутренней энергии при адиабатическом процессе для аргона:
.
Для определения работы расширения аргона формулу следует преобразовать:
.
Подставляя числовые значения, получим:
Дж.
Пример 8. В цилиндре под поршнем находится водород, который имеет массу m=0,02 кг и начальную температуру t0=270 С. Водород сначала расширился адиабатически, увеличив свой объем в 5 раз, а затем был сжат изотермически, причем объем газа уменьшился в 5 раз. Найти температуру в конце адиабатического расширения и работу, совершенную газом.
Решение. При адиабатическом процессе температура и давление газа связаны соотношением:
, где
. Для водорода г=1,4.
Отсюда выражение для конечной температуры будет:
К.
Работу газа при адиабатическом расширении можно определить по формуле:
,
Дж.
Работа газа при изотермическом процессе может быть выражена в виде:
.
Подставляя известные числовые значения величин, входящих в правую часть равенства, находим:
Дж.
Знак «-» показывает, что при сжатии газа работа совершается над газом внешними силами. Полная работа, совершенная газом при описанных процессах, равна:
Дж.
Пример 9. Кислород массой 2 кг занимает объем V1=1 м3 и находится под давлением р1=0,2 МПа. Газ был нагрет сначала при постоянном давлении до объема V2=3 м3, а затем при постоянном объеме до давления р3=0,5 МПа. Найти изменение внутренней энергии газа, совершенную им работу и количество теплоты, переданное газу.
Решение. Изменение внутренней энергии газа выражается формулой
.
Начальную и конечную температуру найдем, используя уравнение Менделеева-Клапейрона:
.
Решая его относительно Т, получим
.
К ;
К;
К.
Подставляя числовые значения, получим:
Дж.
Работа расширения газа при постоянном давлении выражается формулой:
.
Подставив числовые значения, получим
Дж.
Работа газа, нагреваемого при постоянном объеме, равна 0. Следовательно, полная работа, совершенная газом, равна
Дж.
Согласно первому началу термодинамики количество теплоты, переданное газу, равно сумме изменения внутренней энергии и работы:
МДж.
Пример 10. Идеальный двухатомный газ, находящийся в цилиндре с поршнем, первоначально занимает объем V1=4л при давлении p1=3 105 Па. Газ сначала адиабатно расширяется до объема V2=6л, а затем изохорно охлаждается. В результате давление оказывается равным p2=105 Па. Найти работу, совершенную газом; изменение его внутренней энергии; количество поглощенной теплоты.
Решение. Из условия задачи следую, что газ участвует в двух процессах.
Чтобы найти работу A и количество поглощенной теплоты ДQ при переходе из состояния 1 в состояние 2, необходимо каждый из процессов рассмотреть отдельно. При этом
и
.
изменение внутренней энергии не зависит от процесса и в любом случае равно
.
Неизвестные величины можно найти из уравнения Менделеева-Клапейрона.
Адиабатный процесс протекает без теплообмена с окружающей средой.
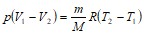
На участке изохорного охлаждения работа газа равна АХ2=0, а количество поглощенной теплоты
.
Используя уравнение Клапейрона-Менделеева для состояний 1 и Х, получим
.
Уравнение адиабаты имеет вид:
.
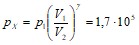
Для двухатомного газа 1,4. Из адиабаты следует, что
Па.
Тогда А1Х=450 Дж. Следовательно, и А12=450 Дж.
Молярная теплоемкость при постоянном объеме
.
|
Из за большого объема этот материал размещен на нескольких страницах:
1 2 3 4 5 6 7 8 9 10 11 12 13 14 15 16 17 18 19 20 21 22 23 24 25 26 27 28 29 30 31 32 33 34 35 36 37 38 39 40 41 |



