Подставим это выражение в уравнение для нахождения поглощения в изохорном процессе теплоты. Воспользовавшись уравнением Клапейрона-Менделеева для состояний Х и 2, получим
Дж.
Поскольку ДQ1Х=0, общее количество теплоты равно -1050 Дж. Знак минус указывает, что газ отдавал теплоту в окружающую среду. Изменение внутренней энергии, на основании вышесказанного и использования уравнения Клапейрона-Менделеева, может быть найдено из соотношения:
Дж.
Пример 11. Десять молей идеального двухатомного газа, занимающего при давлении 0,1 МПа и температуре 00 С объем 0,01 м3 , адиабатно расширяются до вдвое большего объема. Определить совершенную газом работу; конечное давление газа, конечную величину внутренней энергии газа.
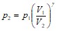
Решение. При адиабатном процессе конечное давление
.
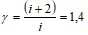
Для двухатомного число степеней свободы равно 5, поэтому
.
Тогда
Па.
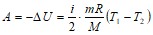
Совершаемая работа газом равна убыли его внутренней энергии:
.
Записав уравнение Менделеева-Клапейрона для начального и конечного состояний, получим
;
.
Окончательно получим:
Дж.
Внутренняя энергия газа в конечном состоянии может быть найдена по формуле
Дж.
Теплоемкость идеального газа.
4.1. Вычислить удельные теплоемкости сv и сp газов: 1) гелия; 2) водорода; 3) углекислого газа.
4.2. Разность удельных теплоемкостей сp — сv некоторого двухатомного газа равна 260 Дж/(кг⋅К). Найти молярную массу М газа - его удельные теплоемкости сv и сp.
4.3. Каковы удельные теплоемкости сv и сp смеси газов, содержащей кислород массой m1=10 г и азот массой m2=20 г?
4.4. Определить удельную теплоемкость сv смеси газов, содержащей V1=5 л водорода и V2=3 л гелия. Газы находятся при одинаковых условиях.
4.5. Определить удельную теплоемкость сp смеси кислорода и азота, если количество вещества* v1 первого компонента равно 2 моль, а количество вещества v2 второго равно 4 моль.
4.6. В баллоне находятся аргон и азот. Определить удельную теплоемкость сv смеси этих газов, если массовые доли* аргона (ω1) и азота (ω2) одинаковы и равны ω=0,5.
4.7. Смесь газов состоит из хлора и криптона, взятых при одинаковых условиях и в равных объемах. Определить удельную теплоемкость сp смеси.
4.8. Определить удельную теплоемкость сv смеси ксенона и кислорода, если количества вещества* газов в смеси одинаковы и равны v.
4.9. Найти показатель адиабаты γ для смеси газов, содержащей гелий массой m1=10 г и водород массой m2=4 г.
4.10. Смесь газов состоит из аргона и азота, взятых при одинаковых условиях и в одинаковых объемах. Определить показатель адиабаты γ такой смеси.
4.11. Найти показатель адиабаты γ смеси водорода и неона, если массовые доли* обоих газов в смеси одинаковы и равны ω=0,5.
4.12. Найти показатель адиабаты γ смеси газов, содержащей кислород и аргон, если количества вещества* того и другого газа в смеси одинаковы и равны v.
4.13. Степень диссоциации** α газообразного водорода рвана 0,6. Найти удельную теплоемкость сv такого частично диссоциировавшего водорода.
4.14. Определить показатель адиабаты γ частично диссоциировавшего газообразного азота, степень диссоциации α которого равна 0,4.
4.15. Определить степень диссоциации α газообразного хлора, если показатель адиабаты у такого частично диссоциировавшего газа равен 1,55.
4.16. На нагревание кислорода массой m=160 г на ΔT=12 К было затрачено количество теплоты Q=1,76 кДж. Как протекал процесс: при постоянном объеме или постоянном давлении?
4.17. При адиабатном сжатии газа его объем уменьшился в n=10 раз, а давление увеличилось в k=21,4 раза. Определить отношение Cp/Cv теплоемкостей газов.
4.18. Азот нагрет до температуры Т, при которой у молекул возбуждены все степени свободы. Вычислить молярную теплоемкость Сv и г=Cp/Cv.
4.19. Углекислый газ нагрет до температуры Т, при которой у молекул возбуждены все степени свободы. Найти Сv и Сp газа при этих условиях.
4.20. Аммиак нагрет до температуры Т, при которой у молекул возбуждены все степени свободы. Найти Сv и Сp газа при этих условиях.
4.21. Найти молярную теплоемкость кислорода: 1) при объеме V = const; 2) при давлении р = const.
4.22. Найти удельные теплоемкости азота при постоянном объеме и при постоянном давлении, а также их отношение г.
4.23. Вычислить удельные теплоемкости при постоянном давлении и при постоянном объеме для газа, молярная масса которого 0,044 кг/моль, а отношение теплоемкостей
г=ср/cv = 1,33.
4.24. Удельные теплоемкости газа при постоянном объеме и постоянном давлении равны соответственно 649 и 912 Дж/(кг⋅К). Определить молярную массу этого газа и число степеней свободы его молекул.
4.25. Плотность некоторого одноатомного газа при нормальных условиях 0,00374 г/см3. Вычислить для этого газа удельные теплоемкости при постоянном объеме и постоянном давлении.
Работа расширения газа.
4.26. Водород массой m=4 г был нагрет на ДT=10 К при постоянном давлении. Определить работу А расширения газа.
4.27. Газ, занимавший объем V1=12 л под давлением p1=100 кПа, был изобарно нагрет от температуры T1=300 К до T2 =400 К. Определить работу А расширения газа.
4.28. Какая работа А совершается при изотермическом расширении водорода массой m=5 г, взятого при температуре T=290 К, если объем газа увеличивается в три раза?
4.29. При адиабатном сжатии кислорода массой m=1 кг совершена работа А =100 кДж. Определить конечную температуру T2 газа, если до сжатия кислород находился при температуре T1=300 К.
4.30. Определить работу А адиабатного расширения водорода массой m=4 г, если температура газа понизилась на ДT=10 К.
4.31. Азот массой т=2 г, имевший температуру T1=300 К, был адиабатно сжат так, что его объем уменьшился в n=10 раз. Определить конечную температуру T2 газа и работу А сжатия.
4.32. Кислород, занимавший объем V1=l л под давлением p1=1,2 МПа, адиабатно расширился до объема V2=10 л. Определить работу А расширения газа.
4.33. Определить работу расширения при постоянном давлении 7 кг водорода и количество теплоты, переданное водороду, если при этом температура газа повысилась на 2000 С.
4.34. Азот, расширяясь адиабатно, совершает работу, равную 480 кДж. Определить конечную температуру газа, если до расширения она была 362 К. Масса азота 12 кг.
4.35. Азот массой 2 г, имевший температуру 300 К, был адиабатно сжат так, что его объем уменьшился в 10 раз. Определить конечную температуру газа и работу сжатия.
Первое начало термодинамики.
4.36. Азот массой m=5 кг, нагретый на ДT=150 К, сохранил неизменный объем V. Найти: 1) количество теплоты Q, сообщенное газу; 2) изменение ДU внутренней энергии; 3) совершенную газом работу А.
4.37. Водород занимает объем V1=10 м3 при давлении p1=100 кПа. Газ нагрели при постоянном объеме до давления p2=300 кПа. Определить: 1) изменение ДU внутренней энергии газа; 2) работу А, совершенную газом; 3) количество теплоты Q, сообщенное газу.
4.38. При изохорном нагревании кислорода объемом V=50 л давление газа изменилось на Дp=0,5 МПа. Найти количество теплоты Q, сообщенное газу.
4.39. Баллон вместимостью V=20 л содержит водород при температуре T=300 К под давлением p=0,4 МПа. Каковы будут температура T1 и давление p1, если газу сообщить количество теплоты Q=6 кДж?
4.40. Кислород при неизменном давлении р=80 кПа нагревается. Его объем увеличивается от V1=l м3 до V2=3 м3. Определить: 1) изменение ДU внутренней энергии кислорода; 2) работу А, совершенную им при расширении; 3) количество теплоты Q, сообщенное газу.
4.41. Азот нагревался при постоянном давлении, причем ему было сообщено количество теплоты Q=21 кДж. Определить работу А, которую совершил при этом газ, и изменение ДU его внутренней энергии.
4.42. Кислород массой m=2 кг занимает объем V1=1 м3 и находится под давлением p1=0,2 МПа. Газ был нагрет сначала при постоянном давлении до объема V2=3 м3, а затем при постоянном объеме до давления p3=0,5 МПа. Найти: 1) изменение внутренней энергии ДU газа; 2) совершенную им работу А; 3) количество теплоты Q, переданное газу. Построить график процесса.
4.43. Гелий массой m=l г был нагрет на ДT=100 К при постоянном давлении р. Определить: 1) количество теплоты Q, переданное газу; 2) работу А расширения; 3) приращение ДU внутренней энергии газа.
4.44. Какая доля щ1 количества теплоты Q1, подводимого к идеальному газу при изобарном процессе, расходуется на увеличение ДU внутренней энергии газа и какая доля щ2 — на работу А расширения? Рассмотреть три случая, если газ: 1) одноатомный; 2) двухатомный; 3) трехатомный.
4.45. Водяной пар расширяется при постоянном давлении. Определить работу А расширения, если пару передано количество теплоты Q=4 кДж.
4.46. Азот массой m=200 г расширяется изотермически при температуре Т=280 К, причем объем газа увеличивается в два раза. Найти: 1) изменение ДU внутренней энергии газа; 2) совершенную при расширении газа работу А; 3) количество теплоты Q, полученное газом.
4.47. В цилиндре под поршнем находится азот массой m=0,6 кг, занимающий объем V1=1,2 м3 при температуре Т=560 К. В результате подвода теплоты газ расширился и занял объем V2=4,2 м3, причем температура осталась неизменной. Найти: 1) изменение ДU внутренней энергии газа; 2) совершенную им работу A; 3) количество теплоты Q, сообщенное газу.
|
Из за большого объема этот материал размещен на нескольких страницах:
1 2 3 4 5 6 7 8 9 10 11 12 13 14 15 16 17 18 19 20 21 22 23 24 25 26 27 28 29 30 31 32 33 34 35 36 37 38 39 40 41 |



