7. Частотное определение вероятности (N - число испытаний, NA - число испытаний, в которых имело место событие А; n - число одинаковых систем, nА - число систем, в которых наблюдалось событие А, τ - время испытаний, t - время, в течении которого имело место событие А):
1)
2)
3)
4) ![]()
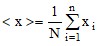
8. Среднее значение дискретной случайной величины (xi – значение случайной величины x, Nj – число одинаковых членов в сумме, имеющих одинаковые значения xj, Wj – вероятность того, что х принимает значение xj, f(x) – плотность вероятности величины x):
1)
2)
3)
4)
5)![]()
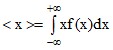
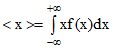
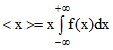
9. Среднее значение непрерывно изменяющейся величины (xi – значение случайной величины x, Nj – число одинаковых членов в сумме, имеющих одинаковые значения xj, Wj – вероятность того, что х принимает значение xj, f(x) – плотность вероятности величины x):
1)
2)
3)
4)
5)![]()
10. Дисперсия:
1)
2)
3)
4)
5) ![]()
11. Флуктуация:
1)
2)
3)
4)
5) ![]()
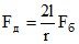
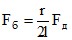
12. Связь между силами давления газа на боковую поверхность Fб и на дно Fд цилиндра радиусом r высотой l:
1) Fб = Fд 2)
3)
4) ![]()
13. Соотношение наивероятнейших скоростей υв для температур Т1 и Т2, если распределения Максвелла для этих температур при неизменной массе газа представлены на рис.:
1) Т1 >Τ2; υв(1) > υв(2)
3) Т1<Т2; υв(1) > υв(2)
2) Т1>Τ2; υв(1) < υв(2)
4) Т1<Т2; υв(1) < υв(2)
14. Распределение Максвелла по проекциям скорости молекул, где Аυ=4π
=
(m - масса молекулы):
1) Аυ υ2 exp
2) Аυх exp
3)
υx2 exp
4) Аυ exp
5)
υx exp
15. Распределение Максвелла по абсолютному значению скорости молекул, где Аυ=4π (m/2πkT)3/2,
(m-масса молекулы):
1) Аυ υ2 exp
2) Аυ exp
3)
υx2 exp
4)
υx exp
5) Аυ exp![]()
16.Соотношение характерных скоростей распределения Максвелла (
- средняя арифметическая, υкв-средняя квадратичная, υв-наивероятнейшая скорости): (2)
1)
>υкв>υв 2) υв>
>υкв 3) υкв>υв >
4) υкв>
>υв 5)
>υв>υкв
17. Средняя скорость молекул:
1)
2)
3)
4)
5)![]()
18. Среднеквадратичная скорость молекул:
1)
2)
3)
4)
5)![]()
|
Из за большого объема этот материал размещен на нескольких страницах:
1 2 3 4 5 6 7 8 9 10 11 12 13 14 15 16 17 18 19 20 21 22 23 24 25 26 27 28 29 30 31 32 33 34 35 36 37 38 39 40 41 |



