77. Для необратимого цикла неравенство Клаузиуса имеет вид:
1)
2)
3)
4) ![]()
78. Изменение энтропии моля идеального газа при изобарическом процессе:
1) 0 2)
3)
4)
5)![]()
79. Изменение энтропии моля идеального газа при изохорическом процессе:
1) 0 2) сv ln
3) сv ln
4) сv ln![]()
80. Изменение энтропии ΔS моля идеального газа при изотермическом процессе:
1) 0 2)
3)
4)
5) ![]()
81. При адиабатическом расширении моля идеального газа изменение энтропии равно:
1) 0 2)
3)
4)
82. Изменение энтропии при нагревании 1 кг воды от 00С до 1000С при нормальном давлении (удельная теплоемкость воды равна с=4,19⋅103Дж/кгК):
1) 4,19⋅105Дж/К 2) 1,32⋅103Дж/К 3) 3,71⋅104 Дж/К 4) 2,71⋅104 Дж/К
83. Изменение энтропии при испарении 1 кг воды при 1000С и нормальном давлении (удельная теплота парообразования воды λ=2,25⋅106 Дж/К):
1) 6,05⋅103 Дж/К 2) 22,5⋅103 Дж/К 3) 12,2⋅103 Дж/К 4) 15,4⋅103 Дж/К
84. Энтропия при плавлении кристаллического вещества:
1) увеличивается 2) уменьшается 3) не меняется
85. Энтропия при кристаллизации вещества:
1) увеличивается 2) уменьшается 3) не меняется
86. Энтропия при испарении вещества:
1) увеличивается 2) уменьшается 3) не меняется
87. В теплоизолированном сосуде перегородка делит идеальный газ на две части с одинаковыми давлением и температурой. Изменение внутренней энергии и энтропии S газа, если убрать перегородку:
1) ΔU=
, ΔS=0; 2) ΔU=0, ΔS=0; 3) ΔU=0, ΔS=
Rln2; 4) ΔU=
, ΔS= kln2; 5) ΔU=0, ΔS= kln2;
88. В теплоизолированном сосуде перегородка делит газ на две части с одинаковыми давлением и температурой. Если убрать перегородку, соотношение изменений энтропии при значениях α1=0,5; α2=0,2 (α= l/L):
1) ΔS1>ΔS2
2) ΔS1< ΔS2
3) ΔS1=ΔS2=0
4) ΔS1=ΔS2=0
89. Соотношение Больцмана для энтропии (Г – термодинамическая вероятность):
1)
2)
3)
4)
5) ![]()
90.Термодинамическая вероятность распределения, изображенного на рис.:
1) 0,5 2) 1 3) 3 4) 2
91. Отношение термодинамических вероятностей Г1/Г2, где Г1 и Г2 - термодинамические вероятности распределений, показанных на рисунке 1 и 2, соответственно):
1) 1,5 2) 6 3) 9 4) 1
§. Реальные газы
92. Соотношение между температурой инверсии и критической температурой:
1) 4,25 2) 3,50 3) 8,14 4) 6,75 5) 0,15
93. Дифференциальный эффект Джоуля-Томсона в газе Ван-Дер-Ваальса:
1)
2)
3)
4) ![]()
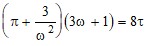
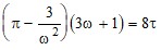
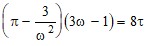
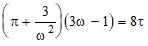
94. Уравнение Ван-дер-Ваальса в приведенных величинах для 1 моля имеет вид:
1)
; 2)
; 3)
; 4) ![]()
|
Из за большого объема этот материал размещен на нескольких страницах:
1 2 3 4 5 6 7 8 9 10 11 12 13 14 15 16 17 18 19 20 21 22 23 24 25 26 27 28 29 30 31 32 33 34 35 36 37 38 39 40 41 |



