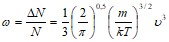
Преобразуем, получим:
.
Решив это квадратное уравнение и отбросив второе значение Дh, не имеющее физического смысла, получим Дh=4,5 см. 1.30. m=0,212 кг. 1.31. V=3,32 м3. 1.32. p=1,16 МПа. 1.33. T=275 К. 1.34. М=44 кг/моль. 1.35. с=2,56⋅10-2 кг/м3. 1.36.
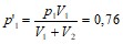
1.37![]()
1.38.
1.39. 1,54⋅105 Па. 1.40. 0,91⋅105 Па. 1.41. 633 К. 1.42. T1=323 К;T2=238 К. 1.43. нет. 1.44. 4,1 МПа. 1.45. 1,47⋅10-3 Па; 1,76⋅10-3 Па. 1.46. 4730 С. 1.47. 32,3 кН. 1.48. 66,4 г. 1.49. 1,7⋅105 Па. 1.50. 4 кг/моль. 1.51. 6,6⋅104 Па. 1.52. 642 К. 1.53. 4 МПа. 1.54. 105 Па. 1.55. 0,167p1. 1.56. 0,138 м3. 1.57. 1.03⋅105 Па. 1.58. 8,65⋅10-3 кг/моль; 0,48 моль. 1.59. 1,3 кг/м3. 1.60. 9,65⋅105 Па. 1.61. 32∙10-3 кг/моль. 1.62. 2,65⋅10-2 кг/м3. 1.63. 1,63 МПа. 1.64. 1,01⋅1023 молекул. 1.65. 100 м3. 1.66. 8,1 Па. 1.67. 9,96⋅10-14 кг. 1.68. 2,99⋅10-26 кг; 4,82⋅10-26 кг. 1.69. 1,37⋅1023 молекул. 1.70. Объем куба V=l3. Так как N=n0V и n0=p/kT, то l=(nkT/p)1/3=7,2⋅10-7 м. 1.71. 3,32⋅1011 м-3; 1,54⋅10-14 кг/м3. 1.72.
м3. 1.73.
МПа;
МПа;
МПа. 1.74.
1.75.
кг/м3. 1.76.
МПа;
МПа. 1.77.
кг/моль;
. 1.78.
г;
г. 1.79.
г;
г;
г. 1.80.
К. 1.81. n=0,788 моль; v1=67,5 ммоль; v2=0,720 моль. 1.82. 20 МПа. 1.83. 1,4⋅105 Па. 1.84. 1,4⋅105 Па. 1.85. 1,4⋅105 Па. 1.86.
;
;
1.87. 6⋅105 Па. 1.88. 0,5. 1.89. 1,5 кг/м3. 1.90. 34,4 г/моль. 1.91. 0,3 моль. 1.92. 175 кПа.
§2.
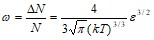
2.1. 1,2⋅1020 м-3. 2.2. 2л. 2.3. 4,52⋅1028 м-3. 2.4. 2,69⋅1025 м-3 . 2.5. m=MnV/NA=0,25 г. 2.6. n=mNA/(VMrk)=7,52⋅1025 м-3. 2.7. v=nV/NA=9,97⋅10-9 моль. 2.8. 16. 2.9.
. Газ - кислород. 2.10.
моль-1. 2.11.
м-3;
м-3;
м-3. 2.12. 2,42⋅1017 м-3. 2.13. 414 Па; 138 кПа. 2.14. 3,62⋅1025 молекул. 2.15. v=4,98 ммоль; n=1,25⋅1025 м-3. 2.16. Д p=(N/V)kT=4,14 кПа. 2.17. v=4,97 ммоль; N=2,99⋅1021 молекул. 2.18. 1)Т=7,25 кК; 2)<еп> = 1,5⋅10-19 Дж. 2.19. <еп> =1,24 ⋅10-20 Дж; <е>=2,48⋅10-20 Дж; W= <е>vNA=(i/2)kTvNA=(i/2)RTv=7,48 МДж. 2.20. 8,28⋅10-21 Дж; 13,8⋅10-21 Дж; 16,6⋅10-21 Дж. 2.21. 6,9⋅10-21 Дж; 20,7⋅10-21 Дж; 13,8⋅10-21 Дж; 34,5⋅10-21 Дж. 2.22. 3,22⋅10-19. 2.23.
Па. 2.24.
кК. 2.25. 0,62⋅10-20 Дж. 2.26. 1,26⋅10-20 Дж. 2.27. 1,26⋅10-20 Дж. 2.28. 1,26⋅10-20 Дж. 2.29. P1=0,03 атм; P2=7,6⋅104 атм. 2.30. 9,32⋅10-20 Дж; 6,21⋅10-21 Дж. 2.31. 74 Дж; 37 Дж. 2.32. 7,4 Дж; 3/7. 2.33. 61,7 Дж; 37 Дж. 2.34. 0,125 Дж. 2.35. 7,73⋅10-21 Дж; 9,32 МДж. 2.36. 2590 Дж. 2.37. 1,09⋅106 Дж; 7,27⋅104 Дж. 2.38. 3,16 кДж. 2.39. Молекула кислорода покинет пределы Луны, если действующая на нее центростремительная сила не будет равна силе тяготения: mх2=rл. Тогда.
T=grM/ik=2,16⋅103 К. 2.40. 6,1 кДж. 2.41. 0,0455 кг. 2.42. 5. 2.43. 6,25⋅105 Дж. 2.44. 1) 500 м/с, 462 м/с, 407 м/с; 2) 1,94 км/с, 1,79 км/с, 1,58 км/с; 3) 7,9 км/с, 7,3 км/с, 6,48 км/с. 2.45. 20,1 кК. 2.46. 1,6 кК. 2.47. 2 км/с. 2.48. Гелий: 2,73 км/с и 2,48⋅10-20 Дж; аргон: 864 м/с и 2,48⋅10-20 Дж. 2.49. 352 мкм/с. 2.50. 1,37⋅107 раз. 2.51. 0,92 км/с. 2.52. 1,82 км/с. 2.53. 250 Па. 2.54. 2,8. 2.55. 3,7. 2.56. 4,7. 2.57. 2. 2.58. 3,7. 2.59. 500 м/с; 7,9 км/с. 2.60. 133 м/с; 7,3 км/с. 2.61. 20,1 кК. 2.62. 1800 К. 2.63. 352 мкм/с. 2.64. 1,4⋅107. 2.65. 920 м/с. 2.66. 513 м/с. 2.67. 470 м/с; 0,15 м/с. 2.68. 450 м/с. 2.69. 362 м/с. 2.70. 359 м/с. 2.71. 10 кДж. 2.72. 0,15 м/с. 2.73. 470 м/с; 6⋅10-21 Дж. 2.74. в 7,6 раза. 2.75. в 76 раз. 2.76. в 8 раз. 2.77. 450 м/с; 510 м/с; 550 м/с. 2.78. 370 К. 2.79. 5,4 К. 2.80. 5,4 К. 2.81. 658 К. 2.82. 330 К. 2.83. 1000м/с. 2.84. 380 К. 2.85. 53 К. 2.86. 51 К. 2.87. 1,66 %. 2.88. 0,4 %. 2.89. 2,6 %. 2.90. 4,5 %. 2.91. 1,66 %; не зависит от Т. 2.92. уменьшится в 1,3 раза. 2.93. 57 %; 43 %. 2.94. 1,9⋅1022. 2.95. 3,7 %. 2.96. 1,78⋅1021. 2.97. 1,37⋅103 м/с. 2.98. 242 К. 2.99. 32⋅10-3 кг/моль. 2.100. 667 м/с; 615 м/с. 2.101. 736 м/с. 2.102. 4,64⋅106. 2.103. 710 м/с. 2.104. 15 К.
§3.
3.1. В е23,6 раза. 3.2. 1,65. 3.3. 5,97⋅1023 моль-1. 3.4. 4,14⋅10-21 Н. 3.5. 1,18 кПа. 3.6. 5,88 км. 3.7. 885 м. 3.8. 1)8,75 м; 2) 25,8 м. 3.9. 6,5 м. 3.10.
(n0-концентрация частиц на оси ротора). 3.11. 5,91. 3.12. 304 кПа. 3.13. 84 (криптон). 3.14. 28%; 72%. 3.15.
. 3.16. 110 км. 3.17.
. 3.18.
.3.19. 4,39⋅10-3. 3.20. 6,63⋅10-3. 3.21.
. 3.22. щ=7,52⋅10-7. 3.23.
. 3.24.
. 3.25.
3.26.
. 3.27.
;
. 3.28. 6,0⋅109. 3.29.
. 3.30. 0. 3.31.
. 3.32. 0,5%. 3.33.
. 3.34.
. 3.35.
. 3.36. 9,3⋅10-3. 3.37.
. 3.38. 7,53⋅10-4. 3.39.
. 3.40.
. 3.41. е1=8,1kT. 3.42.
. 3.43.
. 3.44. 4,84⋅10-3. 3.45. 2,67⋅10-4. 3.46.
. 3.47. Уменьшится в 2 раза. 3.48. В 3 раза. 3.49. 6,4см. 3.50. 3,5 мПа. 3.51. 1,55 нм. 3.52. Можно, т.к. длина свободного пробега (<l>=97 м) много больше диаметра d колбы.3.53. 1,55 мг/м3. 3.54. 3,7⋅109 с-1. 3.55. 1,57⋅1021. 3.56. 3,38⋅1018. 3.57. 288 нс. 3.58. 1) Не зависит; 2) <l>~1/p. 3.59. 1)Не зависит; 2) <l>~T. 3.60. 1)<z>~p1/2; 2)<z>~p. 3.61. 1)<z>~T1/2; 2) <z>~1/T1/2. 3.62. 1,15⋅10-7 м. 3.63. 101 м, 3.64. 2.5 см. 3.65. 670 С. 3.66. 0,5 г. 3.67. 13,3 нс. 3.68. 0,5 л. 3.69. 9,21⋅107 с-1. 3.70. 1,7⋅1019 м-3. 3.71. 23,2 нм. 3.72. 99,5 см3. 3.73. в 2 раза. 3.74. 0,5 л. 3.75. 0,16 мкм. 3.76. 10-7 м. 3.77. 0,806 Па. 3.78. 4,87⋅105 с-1. 3.79. 2,45⋅1019 молекул; 1,78⋅103 м/с; 1,02⋅1010 с-1. 3.80. 1,41⋅10-8 кг/м3. 3.81. 6,08 Па. 3.82. 7,23⋅10-5 м2/с. 3.83. 135 нм. 3.84. 1) 90⋅10-5 м2/с; 2) 0,061 м2/c. 3.85. 7,1. 3.86. 1) D~T3/2; 2) D~T1/2. 3.87. 1) D~1/p; 2) D~p1/2. 3.88. 18 мкПа⋅с. 3.89. 90 пм. 3.90. 19 мкПа⋅с. 3.91. 1)з~T1/2;2)з~T1/2. 3.92. 1) He зависит; 2) з~p1/2. 3.93. 1) 16,8 Н 2) 3,17⋅10-4 Н⋅м 3.94.
мН⋅м. 3.95.
мкН. 3.96. 38,6 мВт/(м⋅К). 3.97. 1) 2,5 ,2,41; 2) 1,90, 1,86; 3) 1,90, 1,90; 4) 1,75, 1,38. 3.98. 23,4 мВт/(м⋅К). 3.99. 1) л~T1/2; 2) л~T1/2. 3.100. 1) Не зависит; 2) л~p1/2. 3.101. 1) 196 Вт/м2; 2) 35 мВт/м2. 3.102. 8,5 мкПа⋅с. 3.103. 1,42⋅10-2 Вт/(м⋅с). 3.104. 5,6⋅103 м. 3.105. 0,9⋅10-4 м2/с. 3.106. 1,54 Па. 3.107. 0,5 г. 3.108.
3.109. 0,36 нм. 3.110. 280 К. 3.111. 101,3 кПа. 3.112. 7,2⋅10-5 м2/с. 3.113. 280 К. 3.114. 4⋅1022. 3.115. 89,33 мВт/(м⋅К). 3.116. 83,5 нм. 3.117. 2,53 мкПа⋅с. 3.118. p=1,6 кг/м3; l= 83,5 нм; Vср=440 м/с. 3.119. 1,8⋅1025 м-3. 3.120. 8,5⋅10-2 Вт/(м⋅К) . 3.121. 2. 3.122. 39,9 кПа. 3.123. 15,6 мг. 3.124. 0,13 кПа. 3.125. 0,3 нм. 3.126. 2л. 3.127. 0,12 нм. 3.128. 0,5 кПа. 3.129. 440 м/с. 3.130. 0,11 мкм. 3.131. l=0,83 нм. 3.132. 1,77⋅10-5 кг/(м⋅с). 3.133. 8,45⋅10-2 Дж/(м⋅с⋅К). 3.134. 7,4⋅10-7 м2/с. 3.135. 1,34⋅10-7 м. 3.136. 2,85⋅10-5 кг/(м⋅с⋅К). 3.137. 5,98⋅10-2 кг/м3. 3.138. 5⋅10-6 кг/(м⋅с). 3.139. 8,95⋅10-5 кг. 3.140. 3600 с. 3.141. 1,2⋅10-6 м2/с.
|
Из за большого объема этот материал размещен на нескольких страницах:
1 2 3 4 5 6 7 8 9 10 11 12 13 14 15 16 17 18 19 20 21 22 23 24 25 26 27 28 29 30 31 32 33 34 35 36 37 38 39 40 41 |



