1) γа=1,29, γб = 1,4 3) γа=1,4, γб = 1,33
2) γа=1,33, γб = 1,29 4) γа=1,4, γб = 1,29
43. Связь между удельной с и молярной сμ теплоемкостями:
1) Сμ=μС 2) Сμ=С/μ 3) Сμ=mС/μ⋅ 4) Сμ=NA⋅С 5) Сμ=С/NA
44. Удельная теплоемкость газа при постоянном объеме:
1)
2)
3)
4)
5) ![]()
45. Молярная теплоемкость идеального газа при постоянном объеме:
1)
2)
3)
4)
5) ![]()
46. Удельная теплоемкость идеального газа при постоянном давлении:
1)
2)
3)
4)
5) ![]()
47. Молярная теплоемкость идеального газа при постоянном давлении:
1)
2)
3)
4)
5) ![]()
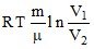
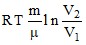
48. Работа при изотермическом расширении идеального газа массой m:
1) Р(V2-V1) 2)
3)
4)
5) ![]()
49. Работа при изобарическом расширении идеального газа массой m не равна (Сv - молярная теплоемкость при постоянном объеме, Ср - молярная теплоемкость при постоянном давлении):
1)
2) Р(V2-V1) 3) Cp m(T2-T1) 4) ![]()
50. Первое начало термодинамики для изобарического процесса:
1) δQ=δA 2) dU=-δA 3) δQ=dU+δA 4) δQ=
5) δQ=dU
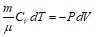
51. Первое начало термодинамики для изохорного процесса, если Сv - молярная теплоемкость при постоянном V:
1)
2) δQ=PdV 3) δQ=PdV 4)
5) ![]()
52. Работа при адиабатическом расширении идеального газа массой m не равна (Сv - молярная теплоемкость при постоянном объеме):
1)
2) CV m(T2-T1) 3)
4) ![]()
53. Работа при адиабатическом расширении одного моля идеального газа, если Сv и Ср - молярные теплоемкости при постоянном объеме и постоянном давлении, соответственно:
1) Ср(Т1-Т2) 2) СV(T2-T1) 3) CV(T1-T2) 4) ![]()
§ 2. Явления переноса
54. Среднее число столкновений, которые испытывают молекулы за время t:
1) tλ / υ 2)
3) tυλ 4)
5)![]()
55. Концентрация молекул n:
1)
2)
3)
4)
5) ![]()
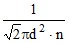
56. Средняя длина свободного пробела молекулы (d – эффективный диаметр молекулы, n – концентрация молекул):
1)
2)
3) υ/τ 4)
5) ![]()
57. Коэффициент диффузии газа (υ - средняя арифметическая скорость молекул, ρ - плотность газа, λ - средняя длина свободного пробега):
1) ρ υ λ / 3 2) υ λ / 3 3) ρ сv υ λ / 3 4) ρ υ / 5
58. Коэффициент внутреннего трения газа (υ - средняя арифметическая скорость молекул, ρ - плотность газа, λ - средняя длина свободного пробега):
1) ρ сv υ λ / 3 2) ρ υ λ / 3 3) υ λ / 3 4) ρ λ / 3 5) ρ сv λ / 3
59. Коэффициент теплопроводности газа (υ - средняя арифметическая скорость молекул, ρ - плотность газа, λ - средняя длина свободного пробега), CV - удельная теплоемкость газа при постоянном объеме):
1) ρ сv υ λ / 3 2) ρ υ λ / 3 3) υ λ / 3 4) ρ λ / 3 5) ρ сv λ / 3
60. Зависимость коэффициента теплопроводности газа от давления в вакууме:
1) ~
2) ~Р 3) ~
4) не зависит
|
Из за большого объема этот материал размещен на нескольких страницах:
1 2 3 4 5 6 7 8 9 10 11 12 13 14 15 16 17 18 19 20 21 22 23 24 25 26 27 28 29 30 31 32 33 34 35 36 37 38 39 40 41 |



