19. Уравнение Менделеева-Клапейрона для 140 г азота:
1) PV=10 RТ 2) PV=5 RТ 3) PV=7 RТ 4) PV=14 RТ 5) PV=28 RT
20. Уравнение Менделеева-Клапейрона для 580 г воздуха:
1) PV=10 RТ 2) PV=15 RТ 3) PV=20 RТ 4) PV=5 RТ 5) PV=29 RT
21. Уравнение Менделеева-Капейрона в виде PV=5 RT относится к:
1) 160 г кислорода 3) 140 г воздуха
2) 145 г азота 4) 176 г углекислого газа
5) 100 г водорода
22. Плотность газа, если n-число молекул в единице объема, m0 - масса одной молекулы:
1)
2)
3) n⋅ m0 4)
5) ![]()
23. Удельный объем газа:
1) μ/NА 2)
3)
4)
5) ![]()
24. Основное уравнение молекулярно-кинетической теории (N - число молекул в сосуде, n - число молекул в единице объема, ε - средняя кинетическая энергия одной молекулы, NA – число Авагадро):
1)
2)
3)
4)
5) ![]()
25. В смеси азота и водорода в состоянии теплового равновесия большую скорость имеют молекулы:
1) азота 2) водорода 3) скорости одинаковы
26. При одинаковых среднеквадратичных скоростях молекул Н2 и N2, большую температуру имеет:
1) N2 2) Н2 3) Температуры обоих газов одинаковы
27. На графике Р(V) для неизменной массы газа:
1) a - изотерма
2) b - изотерма
3) с - изохора
4) d – изобара
5) a - адиабата
28. На графике Р(Т) для неизменной массы газа (укажите неправильный ответ):
1) b - изохора
2) а - изохора
3) с - изобара
4) d – изотерма
5) a – адиабата…….
29. На графике V(Т) для неизменной массы газа:
1) a - изобара 2) с - изобара 3) b - изотерма
4) d – изохора 5) a - адиабата
30. Соотношение давлений Ра и Рb для процессов, изображенных на графиках а и b (масса газа неизменна):
1) Ра>Pb 2) Ра<Pb 3) Ра=Pb
4) Cравнить нельзя, т. к. графики a и b - неизобары
31. Графиках на плоскости ТV, при соответствующий меньшей массе газа (р=const):
1) а 2) b 3) массы одинаковы
32. График изохоры на плоскости РТ, соответствующий большей
массе газа:
1) а 2) b 3) массы одинаковы
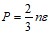
33. Внутренняя энергия одного моля идеального газа не равна (ε - средняя энергия одной молекулы):
1) NAε 2)
3) CvT 4) ikTNA/2
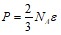
34. Внутренняя энергия идеального газа массой m, если cv и cp – молярные теплоемкости при постоянном объеме и при постоянном давлении соответственно, ε - средняя энергия одной молекулы:
1) μ·Ср·Т 2)
3) ε·NA 4) ![]()
35. Температура газа при адиабатическом расширении:
1) уменьшается 2) увеличивается 3) не меняется
36. Температура при адиабатическом сжатии:
1) уменьшается 2) увеличивается 3) не меняется
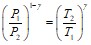
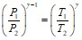
37. Уравнение, не описывающее адиабатический процесс:
1) PVϒ=const 2)
3)
4) ![]()
38. Кривая а – на рисунке, изображающем графики изотермического и адиабатического процессов.:
1) адиабата
2) изотерма
3) однозначно ответить нельзя
4) изохора
5) изобара
39. Постоянная Больцмана не равна (υ - среднеквадратичная скорость):
1)
2)
3) 3mυ2/T 4) ![]()
40. Скорость υ в формуле
:
1) наиболее вероятная 3) средняя арифметическая
2) средняя квадратичная 4) ни одна из названных
41. γ1 и γ3 - отношения удельных теплоемкостей одноатомного и трехатомного газа с жесткой связью молекул, соответственно:
1) γ1=1,67, γ3 = 1,33 3) γ1=1,33, γ3 = 1,4
2) γ1=1,67, γ3 = 1,4 4) γ1=1,4, γ3 = 1,33
42. Отношение удельных теплоемкостей двухатомного газа: а - с жесткой связью и б - с упругой связью:
|
Из за большого объема этот материал размещен на нескольких страницах:
1 2 3 4 5 6 7 8 9 10 11 12 13 14 15 16 17 18 19 20 21 22 23 24 25 26 27 28 29 30 31 32 33 34 35 36 37 38 39 40 41 |



