Тепловые двигатели и холодильные машины.
Тепловой двигатель – это периодически действующий двигатель, совершающий работу за счет полученной извне теплоты.
Термостатом называется термодинамическая система, которая может обмениваться теплотой с телами практически без изменения собственной температуры.

Рабочее тело – это тело, совершающее круговой процесс и обменивающееся энергией с другими телами.
Принцип работы теплового двигателя: от термостата с более высокой температурой
, называемого нагревателем, за цикл отнимается количество теплоты
, а термостату с более низкой температурой
, называемому холодильником, за цикл передается количество теплоты
, при этом совершается работа
.
Термический КПД двигателя:
.
Чтобы КПД был равен 1, необходимо, чтобы
= 0, а это запрещено вторым началом термодинамики.
Процесс, обратный происходящему в тепловом двигателе, используется в холодильной машине: от термостата с более низкой температурой
за цикл отнимается количество теплоты
и отдается термостату с более высокой температурой
. При этом
или
.
Количество теплоты
, отданное системой термостату
, больше количества теплоты
, полученного от термостата
на величину работы, совершенной над системой.
Эффективность холодильной машины характеризует холодильный коэффициент
- отношение отнятой от термостата с более низкой температурой количества теплоты
к работе А, которая затрачивается на приведение холодильной машины в действие:
.
Теорема Карно.
Из всех периодически действующих тепловых машин, имеющих одинаковые температуры нагревателей
и холодильников
, наибольшим КПД обладают обратимые машины. При этом КПД обратимых машин, работающих при одинаковых температурах нагревателей и холодильников, равны друг другу и не зависят от природы рабочего тела, а определяются только температурами нагревателя и холодильника.
Цикл Карно.

Наиболее экономичный обратимый круговой процесс, состоящий из двух изотерм и двух адиабат.
Рассмотрим прямой цикл Карно, в котором в качестве рабочего тела используется идеальный газ, заключенный в сосуд с подвижным поршнем.
Последовательные термодинамические процессы в цикле Карно.
1-изотерма-2-адиабата-3-изотерма-4-адиабата-1:
Изотермическое расширение 1-2
|
|
Адиабатическое расширение 2-3
|
|
Изотермическое сжатие 3-4
|
|
Адиабатическое сжатие
|
|
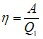
Работа, совершаемая в результате кругового процесса:
![]()
Для адиабат 2-3 и 4-1 уравнение Пуассона:
,
, откуда
.
Используя это, термический КПД цикла Карно:

действительно определяется только температурами нагревателя и холодильника.
Задачи.
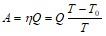
Пример 1. Идеальная тепловая машина, работающая по циклу Карно, совершает за один цикл работу A=1,5⋅105 Дж. Температура нагреваК, температура холодильника 260 К. Найти КПД машины, количество теплоты, получаемое машиной за один цикл от нагревателя, и количество теплоты, отдаваемое за один цикл холодильнику.
Решение. КПД цикла Карно определяется формулой:
.
С другой стороны, термический КПД выражается формулой
, где А - работа, совершенная рабочим телом тепловой машины; Q1 – теплота, полученная от нагревателя.
.
Работа, совершенная рабочим телом машины, определяется разностью полученной от нагревателя теплоты Q1 и отданной холодильнику теплоты Q2:
.
Отсюда
,
С учетом
.
Подставляя числовые значения, находим:
;
кДж ;
кДж.
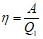
Пример 2. Температура нагревателя тепловой машины 500 К. Температура холодильника 400 К. Определить КПД тепловой машины, работающей по циклу Карно, и полезную мощность машины, если нагреватель ежесекундно передает ей Q=1675 Дж теплоты.
Решение. КПД машины определяется по формуле
![]()
или
.
Получаем:
.
Произведем вычисления:
![]()
Дж.
Эта работа совершается за 1 с, следовательно, полезная мощность машины:
Дж/с =335 Вт.
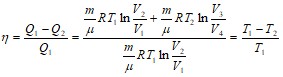
Пример 3. Тепловая машина работает по обратному циклу Карно. Температура нагреваС. Определить термический КПД цикла и температуру охладителя тепловой машины, если за счет каждого кДж теплоты, полученной от нагревателя, машина совершает работу A=350 Дж.
Решение. Термический КПД тепловой машины показывает, какая доля теплоты, полученной от нагревателя, превращается в механическую работу. Термический КПД выражается формулой:
.
Подставив числовые значения, получим:
%.
Зная КПД цикла, можно по формуле ![]()
определить температуру охладителя:
|
Из за большого объема этот материал размещен на нескольких страницах:
1 2 3 4 5 6 7 8 9 10 11 12 13 14 15 16 17 18 19 20 21 22 23 24 25 26 27 28 29 30 31 32 33 34 35 36 37 38 39 40 41 |



