.
.
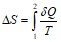
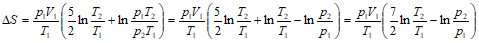
Для изотермического процесса
;
.
Тогда уравнение примет вид:
.
Произведем вычисления:
Дж/К.
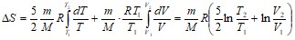
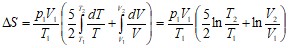
Пример 9. При температуре 250 К и нормальном давлении двухатомный газ занимает объем 80 л. Как изменится энтропия газа, если давление увеличить вдвое, а температуру повысить до 300 К?
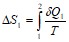
Решение. Изменение энтропии определяется формулой
.
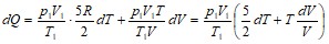
Изменение количества теплоты находим из первого закона термодинамики:
.
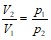
Величины m/M и p найдем из уравнения Менделеева-Клапейрона и объединенного газового закона:
;
.
Подставим в уравнение:
.
Подставляя выражение, находим
,
Но тогда
;
Дж/К.
Пример 10. Лед массой 2 кг, находящийся при температуре -100 С, нагрели и превратила в пар. Определить изменение энтропии.
Решение. Изменение энтропии определяется формулой
.
Общее изменение энтропии равно сумме изменений энтропий, происходящих на отдельных этапах процесса.
.
Изменение энтропии ДS1 происходит при нагревании льда от начальной температуры Т1=263 К до температуры плавления Т2=273 К:
, так как
, то
.
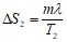
Изменение энтропии ДS2 происходит при плавлении льда. В этом случае
.
Тогда
.
Изменение энтропии ДS3 происходит при нагревании воды от температуры Т2 до температуры кипения Т3=373 К. Величина ДS3 вычисляется аналогично ДS1:
,
где с2 – удельная теплоемкость воды.
Изменение энтропии ДS4 происходит при испарении воды:
![]()
где r - удельная теплота парообразования.
Общее изменение энтропии:

Дж/К.
Круговые процессы. Термический КПД.
Цикл Карно.
4.124. В результате кругового процесса газ совершил работу А=1 Дж и передал охладителю количество теплоты Q2=4,2 Дж. Определить термический КПД з цикла.
4.125. Совершая замкнутый процесс, газ получил от нагревателя количество теплоты Q1=4 кДж. Определить работу А газа при протекании цикла, если его термический КПД з=0,1.
4.126. Идеальный двухатомный газ, содержащий количество вещества н=l моль, совершает цикл, состоящий из двух изохор и двух изобар. Наименьший объем Vmin=l0 л, наибольший Vmax=20 л, наименьшее давление pmin=246 кПа, наибольшее pmax=410 кПа. Построить график цикла. Определить температуру Т газа для характерных точек цикла и его термический КПД з.
4.127. Идеальный двухатомный газ, содержащий количество вещества н=l кмоль, совершает замкнутый цикл, график которого изображен на рисунке. Определить: 1) количество теплоты Q1, полученное от нагревателя; 2) количество теплоты Q2, переданное охладителю; 3) работу А, совершаемую газом за цикл; 4) термический КПД з цикла.
4.128. Идеальный двухатомный газ, содержащий количество вещества н=l моль и находящийся под давлением p1=0,1 МПа при температуре T1=300 К, нагревают при постоянном объеме до давления p2=0,2 МПа. После этого газ изотермически расширился до начального давления и затем изобарно был сжат до начального объема V1. Построить график цикла. Определить температуру Т газа для характерных точек цикла и его термический КПД з.
4.129. Одноатомный газ, содержащий количество вещества н=0,1 кмоль, под давлением p1=100 кПа занимал объем V1=5 м3. Газ сжимался изобарно до объема V2=1 м3, затем сжимался адиабатно и расширялся при постоянной температуре до начальных объема и давления. Построить график процесса. Найти: 1) температуры T1, T2, объемы V1, V2 и давление p3, соответствующее характерным точкам цикла; 2) количество теплоты Q1, полученное газом от нагревателя; 3) количество теплоты Q2, переданное газом охладителю; 4) работу А, совершенную газом за весь цикл; 5) термический КПД з цикла.
4.130. Идеальный многоатомный газ совершает цикл, состоящий из двух изохор и двух изобар, причем наибольшее давление газа в два раза больше наименьшего, а наибольший объем в четыре раза больше наименьшего. Определить термический КПД з цикла.
4.131. Идеальный газ, совершающий цикл Карно, 2/3 количества теплоты Q1, полученного от нагревателя, отдает охладителю. Температура Т2 охладителя равна 280 К. Определить температуру T1 нагревателя.
4.132. Идеальный газ совершает цикл Карно. Температура T2 охладителя равна 290 К. Во сколько раз увеличится КПД цикла, если температура нагревателя повысится от T'1=400 К до Т''2=600 К?
4.133. Идеальный газ совершает цикл Карно. Температура T1 нагревателя в три раза выше температуры Т2 охладителя. Нагреватель передал газу количество теплоты Q1=42 кДж. Какую работу А совершил газ?
4.134. Идеальный газ совершает цикл Карно. Температура T1 нагревателя равна 470 К, температура Т2 охладителя равна 280 К. При изотермическом расширении газ совершает работу A=100 Дж. Определить термический КПД з цикла, а также количество теплоты Q2, которое газ отдает охладителю при изотермическом сжатии.
4.135. Идеальный газ совершает цикл Карно. Температура T1 нагревателя в четыре раза выше температуры Т2 охладителя. Какую долю щ количества теплоты, получаемого за один цикл от нагревателя, газ отдает охладителю?
4.136. Идеальный газ, совершающий цикл Карно, получив от нагревателя количество теплоты Q1=4,2 кДж, совершил работу А=590 Дж. Найти термический КПД з этого цикла. Во сколько раз температура T1 нагревателя больше температуры Т2 охладителя?
4.137. Идеальный газ совершает цикл Карно. Работа A1 изотермического расширения газа равна 5 Дж. Определить работу A2 изотермического сжатия, если термический КПД з цикла равен 0,2.
4.138. Наименьший объем V1 газа, совершающего цикл Карно, равен 153 л. Определить наибольший объем V3, если объем V2 в конце изотермического расширения и объем V4 в конце изотермического сжатия равны соответственно 600 и 189 л.
4.139. Идеальный двухатомный газ совершает цикл Карно, график которого изображен на рисунке. Объемы газа в состояниях В и С соответственно V1=12 л и V2=16 л. Найти термический КПД з цикла.
4.140. Определить давление и температуру воздуха при совершении цикла Карно в точках пересечения изотерм и адиабат, если максимальное давление и объем равны Р1=1 МПа и V3=6 м3, минимальные Р3=0,1 МПа и V1=1 м3. Масса воздуха m=10 кг, показатель адиабаты г=1,4.
4.141. Найти давление и объем в начале и конце адиабатического сжатия цикла Карно, если температуры холодильника и нагревателя равны соответственно Т2=300 К и Т1=1000 К, давление в начальной точке Р4=0,1 МПа, показатель адиабаты г=1,4.
4.142. Найти давление и объем в начале и конце адиабатического расширения цикла Карно, если температуры нагревателя и холодильника равны соответственно Т1=1000 К и Т2=300 К, давление в начальной точке Р2=106 Па, показатель адиабаты г=1,4.
4.143. Найти величину работы, совершаемой газом при расширении в цикле Карно, если температура нагревателя Т1=1000 К, холодильника Т2=300 К, показатель адиабаты г=1,4.
4.144. Холодильная машина, работающая по обратному циклу Карно, использует воду при 00 С в качестве холодильника и воду при 1000 С в качестве нагревателя. Сколько воды замерзнет в холодильнике, если в пар превратился 1 л воды в нагревателе?
4.145. Температура холодильника в цикле Карно Т2=300 К. Определить, во сколько раз увеличится КПД цикла, если температура нагревателя увеличилась в 2 раза и стала больше температуры холодильника на 500 К.
4.146. При совершении цикла Карно двухатомный идеальный газ увеличивается в объеме при изотермическом расширении в три раза. Работа, совершаемая за цикл, равна 10 кДж. Вычислить работу, совершаемую газом, в процессе адиабатического сжатия.
4.147. Вычислить работу, совершаемую двухатомным идеальным газом в цикле Карно, если объем изотермического расширения изменяется от V1= 1 м3 до V2= 2 м3. Работа, совершаемая в процессе адиабатического сжатия, равна —25 кДж.
4.148. Одноатомный идеальный газ совершает цикл Карно. Работа, совершаемая за цикл, равна 8 кДж, степень изотермического расширения равна двум. Найти работу, совершаемую газом в процессе адиабатического сжатия.
4.149. Цикл Карно совершается многоатомным идеальным газом при изменении объема в изотермическом расширении от V1=0,1 м3 до V2= 0,2 м3. Найти работу, совершаемую газом за цикл, если работа адиабатического сжатия равна 7 кДж.
|
Из за большого объема этот материал размещен на нескольких страницах:
1 2 3 4 5 6 7 8 9 10 11 12 13 14 15 16 17 18 19 20 21 22 23 24 25 26 27 28 29 30 31 32 33 34 35 36 37 38 39 40 41 |



