Найдите: 1) функцию распределения и необходимые константы; 2) математическое ожидание, дисперсию и среднее квадратическое отклонение; 3) вероятность попадания случайной величины Х в интервал
. Постройте графики функций распределения и плотности распределения.
Вариант 29
А). Сколько перестановок можно получить из букв слова КУЧЕР?Б). Сколько перестановок будет заканчиваться на гласную букву для четных вариантов, на согласную букву – для не четных вариантов?
А). Сколько перестановок можно получить из цифр числа 19438452919?
Б). Сколько перестановок будет начинаться с четной цифры для четных вариантов, с нечетной цифры – для нечетных вариантов?
Из букв слова ПИОНЕР составляются пятибуквенные слова.
А).Сколько таких слов можно получить?
Б) Сколько таких слов начинается с буквы П?
В) А если слова содержат не менее 5 букв?
Решить уравнение
5. | На рисунке приведена схема электрической цепи. События: |
|
а)Найти значение *;
б) изобразить полигон распределения;
в) найти и изобразить графически функцию распределения;
г )найти вероятность того, что случайная величина Х примет значение в интервале
[3,5; 7,5);
д) Найти вероятность того, что случайная величина не попадет в интервал [3,5; 7,5);
е) найти математическое ожидание случайной величины Х;
ж) найти дисперсию случайной величины Х;
xi | -1 | 2 | 3 | 4 |
pi | 0,4 | * | 0,1 | 0,15 |
Найти закон распределения случайных величин а )Z=X+Y; б)U=XY.
xi | -4 | -1 | 0 | 2 |
pi | 0,2 | 0,4 | 0,3 | 0,1 |
yi | -1 | -1 | 2 | 4 |
pi | 0,1 | 0,2 | 0,1 | 0,6 |

Найдите: 1) функцию распределения и необходимые константы; 2) математическое ожидание, дисперсию и среднее квадратическое отклонение; 3) вероятность попадания случайной величины Х в интервал
. Постройте графики функций распределения и плотности распределения.
Вариант 30
1. А). Сколько перестановок можно получить из букв слова ЗЕНИТ?
Б). Сколько перестановок будет заканчиваться на гласную букву для четных вариантов, на согласную букву – для не четных вариантов?
2. А). Сколько перестановок можно получить из цифр числа 17364735627?
Б). Сколько перестановок будет начинаться с четной цифры для четных вариантов, с нечетной цифры – для нечетных вариантов?
3. Из букв слова ПАРОДИЯ составляются пятибуквенные слова.
А).Сколько таких слов можно получить?
Б) Сколько таких слов начинается с буквы П?
В) А если слова содержат не менее 5 букв?
4. Решить уравнение 
5. | На рисунке приведена схема электрической цепи. События: |
|
6. | У одной одинокой бабушки было 15 кошек. Среди которых были 8 короткошерстных и 7 длинношерстных. На 8 марта одинокая бабушка решила подарить 7 кошечек соседям. Выбирала она их случайным образом. Найти вероятность того, что среди подарочков а) ровно 4 кошки были длинношерстные; б) длинношерстных кошек было не менее четырех. |
7. Плоскость разграфлена параллельными прямыми, находящимися на расстоянии 3а друг от друга. На плоскость наудачу брошена монета радиуса г<a. найти вероятность того, что монета не пересечет ни одной из прямых.
8. В сборной ИжГТУ по футболу 7 игроков с «ИВТ» факультета, 8 – с «ТТ», 6 – с
«РиДа» и 4 – с МиМ факультета. Статистикой установлено, что вероятность забить гол в играх сборной для студента «ИВТ» факультета составляет 0,5, для студента «ТТ» факультета 0,4, для «РиДовца» 0,35 и для «МиМовца» 0,3. В матче футболистами забито 2 гола. Какова вероятность того, что один гол забил представитель «ИВТ» факультета, другой – представитель МиМ факультета?
9. Монету подбрасывают 10 раз. Какова вероятность того, что герб выпадет: а) четыре раза; б) не менее четырех раз; в) не более 8 раз.
10. По данным ОТК в среднем 3% изделий требуют дополнительной регулировки. Вычислите вероятность того, что из 200 изделий 4 потребуют дополнительной регулировки.
11. В цехе имеется 90 станков, работающих независимо друг от друга. Для каждого станка вероятность быть включенным равна 0,9. Вычислите вероятность того, что в некоторый момент времени выключенными окажутся а) ровно 50 станков; б) от 60 до 75 станков.
12. Дан ряд распределения случайной величины Х.
а)Найти значение *;
б) изобразить полигон распределения;
в) найти и изобразить графически функцию распределения;
г )найти вероятность того, что случайная величина Х примет значение в интервале
[3,5; 7,5);
д) Найти вероятность того, что случайная величина не попадет в интервал [3,5; 7,5);
е) найти математическое ожидание случайной величины Х;
ж) найти дисперсию случайной величины Х;
xi | -2 | 1 | 3 | 4 |
pi | 0,4 | 0,25 | 0,1 | * |
13. Даны законы распределения двух случайных величин Х и Y:
Найти закон распределения случайных величин а )Z=X+Y; б)U=XY.
xi | 0 | 1 | 2 | 4 |
pi | 0,1 | 0,1 | 0,3 | 0,5 |
yi | -2 | 0 | 2 | 4 |
pi | 0,1 | 0,2 | 0,1 | 0,6 |
14. Случайная величина Х задана функцией плотности распределения

Найдите: 1) функцию распределения и необходимые константы; 2) математическое ожидание, дисперсию и среднее квадратическое отклонение; 3) вероятность попадания случайной величины Х в интервал
. Постройте графики функций распределения и плотности распределения.
ПРИЛОЖЕНИЕ I
Таблица значений функции |
|


ПРИЛОЖЕНИЕ II
Таблица значений функции Лапласа |
|
|

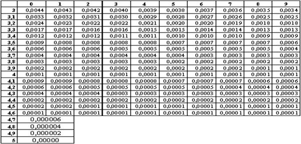
ПРИЛОЖЕНИЕ III
Таблица значений функции Пуассона |
|


Литература
Основная литература
1. Гмурман к решению задач по теории вероятностей и математической статистике: Учеб. пособие для студентов вузов. Изд 4-е, стер. – М.: Высш. шк., 2008. – 400 с.
2. , , Кожевникова математика в упражнения и задачах. В 2-х ч. Ч. II: Учеб. пособие для втузов. – 5-е изд., испр. – М.: Высш. шк., 2007. – 416 с.
3. Гмурман вероятностей и математическая статистика: Учеб. пособие для вузов. Изд 6-е, стер. – М.: Высш. шк., 2008. – 479 с.
4. , , Савельева высшей математики для экономических вузов. В 2-х частях. Ч. II. Теория вероятностей и математическая статистика. Линейное программирование. –М.: Высшая школа, 2002.
Дополнительная литература
5. , Семендяев по математике для инженеров и учащихся ВТУЗов. - М.: Наука, 2006.
6. Вентцель вероятностей: Учеб. для вузов. – 5-е изд. стер. – М.: Высш. шк., 2005. – 576 с.
7. Колде по теории вероятностей и математической статистике: Учебное пособие для техникумов. – М.: Высшая школа, 2001. – 157 с.
|
Из за большого объема этот материал размещен на нескольких страницах:
1 2 3 4 5 6 7 8 9 10 11 12 13 14 15 16 17 18 |








