В зависимости от масштабов производства степень автоматизации технологического оборудования может быть различной. Анализ использования оборудования, по данным зарубежных стран (ФРГ, США), показывает, что в мелкосерийном производстве (до 10 деталей в партии) станки работают (основное технологическое время) только 6% от астрономического фонда времени, в среднесерийном (11-5000 деталей в партии) - до 8%, в крупносерийном и массовом (более 5000 деталей в партии) - до 22%. В третью смену, выходные и праздничные дни, зачастую и во вторую смену, что составляет от астрономического фонда времени 50%и более, станочное оборудование на предприятиях не работает.
К настоящему времени определились тенденции, а также разработаны типовые конструкторско-технологические решения автоматизации различных видов производства:
- для мелко - и среднесерийного - станки с ЧПУ, роботизированные станки с ЧПУ (модули), роботизированные участки станков с ЧПУ, гибкие производственные системы; для крупносерийного - переналаживаемые автоматические линии или гибкие производственные системы на базе специальных станков и станков с ЧПУ; для массового - классические (переналаживаемые) автоматические линии, агрегатные и специальные станки, комплексные автоматические системы на их базе.
5 ПРИНЦИПЫ ПОСТРОЕНИЯ АВТОМАТИЗИРОВАННЫХ ТЕХНОЛОГИЧЕСКИХ ПРОЦЕССОВ
При проектировании АТП важно правильно сочетать принципы дифференциации технологического процесса и концентрации операций, обеспечивающих максимальную производительность.
Концентрация операций автоматизированного технологического процесса осуществляется путем применения:
- сложного комбинированного инструмента (фасонных токарных резцов, ступенчатых сверл, зенкеров и разверток, фасонных фрез, сложных протяжек, профильных шлифовальных кругов и т. д.); наборного инструмента (набора резцов в одной державке, набора сверл, зенкеров, разверток и метчиков в многошпиндельной головке, набора фрез, шлифовальных кругов и т. д.); многоинструментальных агрегатных, многопозиционных и специальных станков.
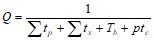
Степень концентрации операций при обработке деталей на автоматах и автоматических линиях может быть очень высокой. Однако если совмещение переходов во времени влечет за собой значительное увеличение числа инструментов в наладке, то эффективность высокой концентрации операций снижается, ибо чрезмерное увеличение числа инструментов связано с неизбежным увеличением затрат времени на регулировку и поднастройку инструментов. В результате чего производительность труда не возрастает, а снижается. Кроме того, для осуществления многоинструментальных наладок требуется более сложная и дорогостоящая техническая оснастка, что, в свою очередь, отражается на себестоимости обработки изделия. Оптимальное количество инструментов в наладке, например, револьверной головки можно определить, построив кривую зависимости производительности обработки Q (шт./мин) от количества инструментов «р» в наладке. Эта зависимость выражается уравнением следующего вида:
![]()
где: ∑ tp = Tp – суммарное время, в течение которого «р» рабочих инструментов производят обработку одного изделия, мин.;
р – количество инструментов в наладке;
∑tx – суммарное время холостых ходов, мин.;
tc – суммарное время на смену и регулировку одного инструмента;
Tb – вспомогательное время на установку съем детали.
Входящие в формулу вспомогательное время Тв и время холостых ходов станка ∑tx на одну деталь являются величинами постоянными и не зависят от числа инструментов в наладке, они не влияют на характер кривой Q = f(p), а затраты времени на смену и регулирование инструментов прямо пропорциональны количеству инструментов в наладке. Максимум производительности обработки достигается при определенном количестве инструментов «р» в наладке. Это значение «р» определяет предел концентрации операций данного процесса.
Для обработки среднегабаритных и мелких деталей по методу высокой концентрации операций наиболее целесообразно предусматривать многошпиндельные автоматы, многопозиционные агрегатные полуавтоматы и автоматы, а для обработки крупногабаритных корпусных деталей – агрегатные станки, скомпонованные из нормализованных узлов и многооперациионные станки с ЧПУ.
Типизация технологических процессов и групповая обработка подобных однородных деталей являются одним из важнейших мероприятий, обеспечивающих сокращение сроков и стоимости технологической подготовки автоматизированного производства. Предпосылкой типизации технологических процессов является классификация однородных деталей и их элементов, методов и средств их изготовления.
Типовые технологические процессы разрабатываются на основе анализа, систематизации и обобщения опыта промышленности по изготовлению подобных деталей и предусматривает применение высокопроизводительного оборудования, средств механизации и автоматизации и прогрессивных методов обработки. При этом широко осуществляется нормализация и унификация подобных деталей и их конструктивных элементов.
Различают метод типизации применительно с определенным классом однородных деталей и по видам обрабатываемых поверхностей, и комплексный метод, основанный на классификации обрабатываемых поверхностей применительно к определенным классам деталей. При этом всякая сложная поверхность детали любой геометрической формы рассматривается как совокупность простых, элементарных поверхностей.
При одном и том же способе установки детали на станке можно обработать один или несколько элементов формы, которые образуют технологическую поверхность. Для всех подобных технологических поверхностей в зависимости от их геометрической формы, размеров и концентрации детали определяется оптимальный метод их получения, необходимое оборудование и средства автоматизации.
Типизация технологических процессов позволяет применять нормализованные приспособления, которые проектируются по типовым схемам базирования и закрепления деталей, и обеспечивают возможность полной или частичной обработки на одном приспособлении нескольких типоразмеров с помощью комбинированного инструмента и многоинструментальных наладок.
По принципу типизации технологических процессов разработан метод групповой обработки деталей. Он характеризуется общностью оборудования и оснастки для выполнения одинаковых операций на однородных деталях. В основе построения технологических процессов групповой обработки лежит сложная комплексная деталь, состоящая из ряда элементарных поверхностей. Другие детали, объединенные в группу, должны иметь полное или частичное сочетание тех же поверхностей, что и у комплексной детали и те же базы. Таким образом, комплексная деталь имеет все элементы поверхностей, свойственные всем другим, а процесс обработки ее, как правило, должен включать методы обработки всех элементов поверхностей деталей данной группы.
Типизация технологических процессов и групповые методы обработки позволяют приблизить масштабы изготовления к крупносерийному типу производства, и даже к массовому. Это позволяет более широко применять высокопроизводительное оборудование и средства механизации и автоматизации с применением станков с ЧПУ и многономенклатурных автоматических линий.
Кроме того, типизация технологических процессов открывает широкие возможности применения ЭВМ для подготовки производства. В настоящее время для обработки деталей на станках с ЧПУ широко используются автоматизированные системы проектирования технологических процессов и программирования с использованием компьютеров.
5.1 Компоновка операций и технологического оборудования при автоматизации технологических процессов. Последовательное, параллельное и смешанное агрегатирование
Станки с ручным управлением – преимущественно однопозиционные. Автоматы, полуавтоматы и автоматические линии строят с несколькими рабочими позициями. На одношпиндельных станках может выполняться одно - или многоинструментальная обработка. При одноинструментальной обработке в каждой данный момент времени участвует только один инструмент, что не может обеспечить достаточно высокой производительности. Многоинструментальная обработка характеризуется тем, что в работе одновременно участвует несколько инструментов. При этом производительность повышается, но возможны затруднения в обеспечении хорошего отвода стружки, охлаждения инструментов, высокой жесткости системы, удобства для обслуживания и контроля инструментов.
Многопозиционнная обработка бывает последовательной, параллельной и параллельно-последовательной. Для осуществления последовательной обработки на станке или автоматической линии предусматривается несколько стационарных рабочих позиций, расположенных в порядке выполнения технологического процесса. При прохождении обрабатываемой детали по позициям, на каждой из них последовательно выполняется часть процесса. Причем эти части должны быть приблизительно одинаковой продолжительности. Рабочие позиции в малом или сравнительно большом количестве целесообразно располагать в линию. Среднее количество позиций размещают по окружности
Рис. 5.1. Расположение рабочих позиций: а) – в линию, б) – по окружности.
На оборудовании последовательного действия целесообразна обработка сравнительно сложных деталей. Если же использовать этот метод для простых деталей, период рабочего цикла станет очень малым, и в нем будет преобладать время на выполнение вспомогательных движений. Для обработки несложных деталей более подходят простые по конструкции станки параллельного действия, в которых на всех позициях одновременно или со сдвигом по времени выполняется одна и та же операция. Позиции могут быть стационарными, по такой схеме устроены, например, многошпиндельные фасонно-отрезные автоматы, имеющие на каждой позиции отдельный механизм подачи и зажима обрабатываемого материала (рис. 5.2).
Рис.5.2. Стационарные позиции.
По второй схеме (рис. 5.3) проектируются роторные станки, в них рабочие позиции, образованные шпинделем 6 и суппортом 1, помещены на карусели, состоящей из стола 5 и гильзы 4. При непрерывном вращении карусели суппорта получают рабочие и вспомогательные перемещения от неподвижного барабанного кулачка 2, находящегося на колонне 3. Полная обработка детали производится за время одного оборота карусели.
|
Из за большого объема этот материал размещен на нескольких страницах:
1 2 3 4 5 6 7 8 9 10 11 12 13 14 15 16 17 18 19 20 21 22 |



