.
Технологические процессы, осуществляемые на оборудовании дискретного действия, в основном применяют при производстве штучных заготовок.
Повышение производительности машин дискретного действия достигается:
а) сокращением основного времени путем совмещения по времени технологических переходов при многоместной и многоинструментальной обработке, повышение режимов работы оборудования и другими мероприятиями технологического характера;
б) сокращением времени вспомогательных движений за счет рационального построения рабочего цикла, совмещения во времени вспомогательных движений, повышая их скорости;
в) сокращением внецикловых потерь работы оборудования в результате конструкторских, технологических и организационных мероприятий (применение быстросменных настраиваемых вне станка инструментальных блоков, улучшение конструкции регулирующих устройств, улучшение организации рабочих мест). На оборудовании дискретного действия обычно получают наибольшую точность обработки. Это обусловлено его значительной жесткостью и высокой геометрической точностью.
Второй класс процессов. Его осуществляют на оборудовании непрерывного действия, которое характеризуется тем, что изделия штучного или нештучного характера производятся непрерывно. Технологический процесс протекает без периодической остановки оборудования для остановки и снятия обрабатываемых заготовок (собираемых изделий). Производимая продукция сходит с оборудования непрерывным потоком. К непрерывным технологическим процессам относятся: волочение проволоки и прутков круглого и специального профиля, используемых для изготовления деталей на автоматах, непрерывная прокатка специального проката, непрерывная навивка спиральных пружин на специальных автоматах, пескоструйная и дробеструйная обработка заготовок, расположенных на непрерывно движущемся конвейере, для очистки от окалины и упрочнения.
Примером непрерывного процесса обработки со стационарным инструментом является конвейерное протягивание (рис. 4.1).
Рис. 4.1. Схема конвейерного протягивания.
В механических цехах в качестве непрерывных процессов обработки применяют конвейерное протягивание, бесцентровое шлифование на проход.
Рис. 4.2. Схема бесцентрового шлифования на проход.
Несколько расположенных цепочкой бесцентровошлифовальных станков, работающих по рассмотренной схеме, могут образовать простейшую автоматическую линию.
Рис. 4.3. Схема непрерывного нарезания резьбы.
Схема непрерывного нарезания резьбы (рис. 4.3) в гайках 1 кривым метчиком 2. Стрелкой А показана подача гаек на заборную часть метчика; по стрелке Б происходит выбрасывание нарезанных гаек в процессе вращения метчика.
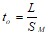
Примерами непрерывных процессов служат: мойка деталей на конвейерной установке моечной машины, сушка деталей, окраска на подвесном конвейере в электростатическом поле, нагрев детали при непрерывном перемещении через печь или при прохождении ими индуктора тока высокой частоты, естественное или ускоренное (в струе воздуха) охлаждение после термической обработки и т. п. Для этого типа процессов (при штучных изделиях) производительность оборудования (шт./мин) определяется по формуле:
![]()
где: Vтех. – скорость технологического движения, м/мин.;
– длина изделия в направлении технологического движения, м;
1 – расстояние между изделиями в том же направлении, м.
При
1 = 0 достигается наибольшая производительность процесса обработки. Под скоростью технологического движения понимают минутную продольную подачу при бесцентровом шлифовании штучных заготовок на проход, скорость резания при конвейерном протягивании, скорость движения прутков или проволоки при волочении. Данный класс технологических процессов характеризуется высокой производительностью и возможностью сравнительно легкой автоматизации. Его в основном применяют для массового изготовления мелких и средних деталей. Здесь может быть достигнута достаточно высокая точность. Например, при бесцентровом шлифовании на проход при хорошем состоянии оборудования может быть достигнута точность по диаметру по 6 квалитету.
Третий класс процессов. Его осуществляют на автоматизированном оборудовании роторного типа. Он характеризуется тем, что изделие в процессе обработки (сборки) совершают непрерывные перемещения (транспортирование) от загрузочной позиции к позиции съема. В настоящее время имеется много разновидностей роторного оборудования – от полуавтоматических станков до автоматических линий.
На рисунке 4.4 показана схема роторного станка для двустороннего сверления отверстия в бобышках поршня 1.
Рис. 4.4. Схема роторного станка для двустороннего сверления.
Заготовки устанавливаются на позициях непрерывно вращающегося барабана 2. С двух сторон то этого барабана соосно расположены синхронно вращающиеся с барабаном инструментальные блоки 3. Число инструментов в каждом блоке равно числу рабочих позиций в барабане. В процессе вращения барабана заготовки в зоне А устанавливаются на его рабочие позиции, а зоне Б они автоматически снимаются и подаются в тару. В зоне В, охватываемой дугой 2, происходит сверление отверстий. Быстрый подвод и отвод инструментов в исходное положение происходит в зонах углов б1 и б2.
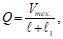
Производительность роторного станка (шт./мин) определяется по формуле:
![]()
где: Vтр – скорость транспортирующего движения (окружная скорость рабочего или транспортного роторов в м/мин. берется по линии расположения обрабатываемых изделий), м/мин.;
- длина изделия, м;
– расстояние между изделиями в направлении транспортирующего движения, м.
Повышая скорость транспортирующего движения, можно увеличить производительность роторного оборудования. Эта скорость не может быть установлена произвольно, она взаимосвязана со скоростью рабочих (технологических) движений.
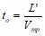
Из рисунка 4.4 видно, что время обработки
или
,
где: L – путь перемещения сверла;
Sм – минутная подача сверла;
– длина дуги в зоне обработки В;
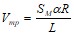
Vтр – скорость транспортирующего движения на радиусе R расположения инструментов.
Приравнивая эти выражения и помня, что
= бR получаем:
.
Точность данных процессов ниже процессов первого класса. Это обусловлено тем, что технологический процесс выполняется при непрерывном движении изделия (в этом случае на точность влияют кинематическая погрешность) и что жесткость роторного оборудования меньше, чем оборудования дискретного действия. При использовании самоустанавливающихся систем (развертывание плавающей отверткой, калибрование отверстий, запрессовка) может быть достигнута такая же точность, как и на оборудовании дискретного действия.
На роторным оборудовании (автоматических линиях) легко осуществляются комплексные технологические процессы, включающие механическую и термическую обработку, сборку и контроль качества изделий. Это оборудование, являющееся специальным, дорогим и в большинстве случаев труднопереналаживаемым на выпуск других изделий, применяют для малогабаритных изделий, выпускаемых в больших количествах по принципу массового производства. На сложность, а, следовательно, надежность и стоимость автоматического оборудования оказывает большое влияние кинематика основных и вспомогательных движений. Предпочтительны технологические процессы, у которых траектория этих движений – прямые линии (объемная штамповка, электроэрозионная обработка, клепка). В этом случае применяют инструменты объемного типа (штампы, электроды, обжимки). Их рабочая поверхность воспроизводит соответствующую поверхность объектов производства. Более сложны случаи обработки, основанные на сочетании двух движений (вращение заготовки и радиальная подача фасонного резца при обтачивании поверхности с криволинейной образующей). Оборудование еще более усложняется, если процесс обработки (сборки) основан на кинематическом сочетании трех или большего количества движений (обработка сложнопрофильных поверхностей по копиру или на станке с программным управлением).
4.1 Влияние структуры операции на производительность
Рабочее время tр зависит от структуры технологического процесса, методов и режимов обработки. Концентрация операций и увеличение количества одновременно обрабатываемых изделий связано прежде с применением многошпиндельных и многопозиционных станков, что несомненно, ведет к повышению производительности обработки.
Однако увеличение числа шпинделей и рабочих позиций приводит к усложнению технологического оборудования, кроме того, вместе с ростом производительности растут как суммарные потери времени на наладку и техническое обслуживание, так и другие потери, что приводит к снижению производительности.
Количество рабочих позиций автоматического станка (или автоматической линии), при котором обеспечивается максимальная производительность, можно подсчитать аналитически.
В самом деле, если известны внецикловые потери времени tп и технологическая производительность «К», то можно определить оптимальное число позиций (операций) по формуле:
.
|
Из за большого объема этот материал размещен на нескольких страницах:
1 2 3 4 5 6 7 8 9 10 11 12 13 14 15 16 17 18 19 20 21 22 |



