Методические рекомендации к практическим занятиям по курсу общей физики для студентов для направления подготовки 650800 «Теплоэнергетика» и специальности 100700– «Промышленная теплоэнергетика»
Введение
Практические занятия по физике для студентов направления для направлений для направления 650800 – «Теплоэнергетика» и специальности 100700– «Промышленная теплоэнергетика» на дневной форме обучения проводятся в каждом семестре. Темы практических занятий приводятся ниже.
1 Содержание практических занятий
Первый семестр (34 часа)
1 Кинематика поступательного движения материальной точки.
2 Кинематика вращательного движения материальной точки.
3 Динамика поступательного движения.
4 Законы сохранения.
5 Динамика вращательного движения.
6 Гармонические колебания.
7 Волны.
8 Теория относительности.
9 Контрольная работа.
10 Законы идеального газа.
11 Молекулярно - кинетическая теория. Средняя энергия молекул.
12 Явления переноса.
13 Внутренняя энергия идеального газа. Работа, совершаемая газом.
14 Первое начало термодинамики и его применение к изопроцессам.
15 Тепловые машины. Цикл Карно.
16 Энтропия.
17 Контрольная работа.
Второй семестр (16 часов)
18 Электростатика. Электрическое поле и его характеристики. Конденсаторы. Энергия электрического поля.
19 Постоянный электрический ток. Закон Ома. Закон Джоуля - Ленца.
20 Разветвленные цепи. Правила Кирхгофа.
21 Контрольная работа по электростатике и постоянному току.
22 Закон Ампера. Сила Лоренца. Движение частиц в магнитном поле.
23 Закон Био – Савара - Лапласа. Вычисление напряженности магнитных полей различных токов.
24 Закон электромагнитной индукции. Взаимная индукция. Самоиндукция. Энергия магнитного поля.
25 Контрольная работа по электромагнетизму.
Третий семестр (16 часов)
26 Волновая оптика. Интерференция света. Расчет интерференционных картин.
27 Дифракция света. Дифракция от щели. Дифракционная решетка.
28 Поляризация света. Закон Брюстера. Закон Малюса.
29 Контрольная работа по волновой оптике.
30 Тепловое излучение. Законы теплового излучения.
31 Фотоэффект. Эффект Комптона. Энергетический спектр атома водорода. Формула Ридберга.
32 Радиоактивность. Закон радиоактивного распада. Ядерные реакции.
33 Контрольная работа по тепловому излучению, квантовой оптике и ядерным реакциям.
2 Примеры решения задач по механике
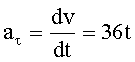
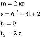
Задача 1. Движение тела массой 2 кг задано уравнением:
, где путь выражен в метрах, время - в секундах. Найти зависимость ускорения от времени. Вычислить равнодействующую силу, действующую на тело в конце второй секунды, и среднюю силу за этот промежуток времени.
Дано: |
|
Найти: |
|
Решение: Модуль мгновенной скорости находим как производную от пути по времени:

Мгновенное тангенциальное ускорение определяется как производная от модуля скорости по времени:

Среднее ускорение определяется выражением:

После подстановки:

Равнодействующая сила, действующая на тело, определяется по второму закону Ньютона:

Тогда

![]()
Ответ: a(t) = 36t, F = 144 H, = 72 H.
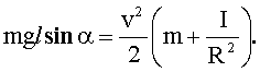
Задача 2. По наклонной плоскости, составляющей с горизонтом угол 300, движется тело массой 5 кг. К этому телу с помощью нерастяжимой нити, перекинутой через блок, привязано тело такой же массы, движущееся вертикально вниз (рис. 1). Коэффициент скольжения между телом и наклонной плоскостью 0,05. Определить ускорение тел и силу натяжения нити.
Дано: |
|
Рис. 1 |
Найти: |
|
Решение: Покажем на рисунке силы, действующие на каждое тело. Запишем для каждого из тел уравнение движения (второй закон Ньютона):

В проекциях на выбранные оси координат:

Учитывая, что
, где
, получим систему уравнений:

Вычтем из первого уравнения второе:

Искомое ускорение равно:

Вычислим ускорение а:

Силу натяжения найдем из первого уравнения системы:

Ответ:
![]()
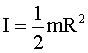
Задача 3. Найти линейные ускорения движения центров тяжести шара и диска, скатывающихся без скольжения с наклонной плоскости. Угол наклона плоскости равен 300. Начальная скорость тел равна нулю.
Дано: |
|
Рис. 2 |
Найти: |
|
Решение: При скатывании тела с наклонной плоскости высотой h его потенциальная энергия переходит в кинетическую энергию поступательного и вращательного движения. По закону сохранения энергии:
(1)
где I - момент инерции тела, m - масса.
Длина наклонной плоскости l связана с высотой соотношением (рис. 2):
(2)
Линейная скорость связана с угловой скоростью:
(3)
После подстановки (2) и (3) в (1), получим:
(4)
Так как движение происходит под действием постоянной силы (силы тяжести), то поступательное движение тел - равноускоренное. Поэтому:
(5)
и
(6)
Решая совместно (4), (5) и (6), получим:
(7)
Моменты инерции:
для шара: |
|
для диска: |
|
Подставляя выражение для момента инерции в формулу (7), получим:
для шара: |
|
для диска: |
|
Ответ:

3 Примеры решения задач по статистической физике и термодинамике
Задача 1. В сосуде объемом V1 = 3 л находится газ под давлением 0,2 МПа, в другом сосуде объемом V2 = 4 л находится тот же газ под давлением 0,1 МПа. Температура в обоих сосудах одинакова. Под каким давлением будет находиться газ, если сосуды соединить трубкой?
Дано: |
|
Найти: | р |
Решение: По закону Дальтона:
(1)
|
Из за большого объема этот материал размещен на нескольких страницах:
1 2 3 4 5 6 7 8 9 10 11 12 13 |













