Центростремительное ускорение:

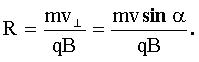
где R - радиус окружности. По второму закону Ньютона: F = ma.

Тогда:
Отсюда:
(2)
Период обращения равен:

Так как скорость частицы имеет составляющую
, то траектория частицы представляет собой винтовую линию. Шаг винтовой линии равен:
(3)
Проверка размерности расчетных формул (2) и (3).

Размерность произведения [q]·[B] найдем из выражения для силы Лоренца:

По второму закону Ньютона: F = ma, т. е.

Тогда

Следовательно,

Подставим численные значения в (1), (2) и (3).



Ответ: R = 1 см, h = 11 см.
Задача 13. Проволочное кольцо радиусом 10 см лежит на столе. Какой заряд потечет по кольцу, если его повернуть с одной стороны на другую. Сопротивление кольца 1 Ом. Вертикальная составляющая индукции магнитного поля Земли равна 50 мТл.
Дано: |
|
Найти: | q |
Решение: По определению сила тока равна производной от заряда по времени:

Отсюда заряд, который потечет по проводнику, определяется равенством:
(1)
По закону Ома для замкнутой цепи сила тока равна:
(2)
где ε - ЭДС источника, R - сопротивление цепи.
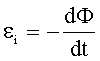
Ток в кольце появляется благодаря ЭДС индукции. Поэтому
. ЭДС индукции найдем по закону Фарадея - Ленца:
(3)
где
- скорость изменения магнитного потока.
Подставим (3) в (2):
(4)
Подставим (4) в (1):
(5)
Проинтегрируем (5), получим:

где
- магнитный поток, пронизывающий кольцо после поворота на угол180?;
- магнитный поток до поворота.
и
вычисляются по формулам: ![]()
где В - индукция магнитного поля,
- площадь кольца, α - угол между нормалью к площади кольца и линиями индукции.
Тогда:

Проверка размерности:

Так как

Размерность индуктивности найдем из закона:


По закону Ома:

Тогда:

Вычислим q. Учтем, что до поворота нормаль к площади кольца параллельна вектору
. Поэтому α1 = 0. После поворота нормаль противоположно направлена вектору
. Поэтому α2 = 180°. Тогда:

Ответ: q = 3,14 мКл.
5 Примеры решения задач по колебаниям и волнам
Задача 1. Материальная точка массой 10 г совершает гармоническое колебание с периодом Т=1 с. Определить амплитуду колебаний, максимальную скорость и ускорение колеблющейся точки, если полная энергия точки равна 0,02 Дж.
Дано: |
|
Найти: |
|
Решение: Уравнение гармонического колебания запишем в виде:
(1)
где х - смещение материальной точки от положения равновесия; А - амплитуда; ω - циклическая (круговая) частота; t - время; α - начальная фаза.
Скорость колеблющейся точки среды определяется как первая производная от смещения по времени:

Максимальное значение скорости: 
Ускорение точки определяется как производная от скорости по времени:

Максимальное значение ускорения: 
Полная энергия складывается из кинетической и потенциальной энергии и равна максимальной потенциальной или максимальной кинетической энергии:

Круговая частота связана с периодом:
. Тогда:

Из этого выражения найдем амплитуду:

Проверим размерность:

Произведем вычисления:




Ответ: А = 0,32 м, Vmax = 2 м/с, amax = 12,6 м/с2
Задача 2. Найти амплитуду и начальную фазу гармонического колебания, полученного от сложения одинаково направленных гармонических колебаний, данных уравнениями: x1 = 0,02cos (5πt + π/2) м и x2 = 0,03cos (5πt + π/4) м. Построить векторную диаграмму сложения амплитуд.
Дано: x1 = 0,02cos (5πt + π/2) и x2 = 0,03cos (5πt + π/4)
Найти: А, α. Дать векторную диаграмму.
Решение: Построить векторную диаграмму - это значит представить колебание в виде вектора, длина которого равна амплитуде колебаний, а угол наклона к оси абсцисс равен начальной фазе колебаний. При вращении вектора с угловой скоростью ω проекция его конца на ось будет совершать гармонические колебания.
Из условия задачи А1=0,02 м = 2 см, α1= π/2, А2=0,03 м = 3 см, α2 = π/4.
Векторная диаграмма изображена на рисунке 5.

Рис. 5
Результирующую амплитуду найдем по теореме косинусов:

Начальная фаза результирующего колебания находится из формулы:

Вычисления:


Ответ: А = 4,6 м; α=62о 46′.
Задача 3. Период затухающих колебаний Т = 4 с, логарифмический декремент затухания χ = 1,6; начальная фаза равна нулю. Смещение точки в начальный момент времени равно 4,5 см. Написать уравнение колебаний и найти смещение точки в момент времени спустя период.
|
Из за большого объема этот материал размещен на нескольких страницах:
1 2 3 4 5 6 7 8 9 10 11 12 13 |





