|бис(в-хлорэтил)-амино-изопропил-5-метилциклогексанол-1
|3-изопропил-5-метилциклогексанол
| п-2-изопропил-5-метилгексан
~Органически связанный хлор в приведенной ниже структуре мелфалана открывают... .

|пробой Бельштейна
|по выделению молекулярного хлора после нагревания
|раствором калия иодида
|по окрашиванию слоя хлороформа в желтый цвет
| по окрашиванию пламени горелки
~При количественном определении кислоты аминокапроновой методом неводного титрантом является раствор … .
|кислоты хлорной
|натрия метилата
|кислоты серной
|натрия гидроксида
|кислоты хлороводородной
~К в-лактамным антибиотикам относятся … .
|пенициллины и цефалоспорины
|аминогликозиды и макролиды
|азалиды и макролиды
|полимиксины и тетрациклины
|нитрофенилалкиламины
~ ... являются природными пенициллинами.
|Бензилпенициллин и феноксиметилпенициллин
|Амоксациллин и оксациллин
|Амоксиклав и бензатин
|Ампициллин и оксациллин
|Карбициллин и ампициллин
~Приведенная ниже химическая структура является общей формулой препаратов … .

|пенициллинов
|аминогликозидов
|тетрациклинов
|цефалоспоринов
|азалидов
~Приведенная ниже химическая структура соответствует лекарственному препарату … .

|бензилпенициллина натриевая соль
|ампициллина тригидрат
|карбинициллин
|бензатина бензилпенициллин
|оксациллина натриевая соль
~Приведенная ниже химическая структура соответствует лекарственному препарату … .

|феноксиметилпенициллин
|ампициллина тригидрат
|карбенициллин
|бензатина бензилпенициллин
|оксациллина натриевая соль
~Приведенная ниже химическая структура соответствует лекарственному препарату … .

|ампициллина тригидрат
|феноксиметилпенициллин
|карбенициллин
|бензатина бензилпенициллин
|оксациллина натриевая соль
~Приведенная ниже химическая структура соответствует лекарственному препарату … .

|оксациллина натриевая соль
|феноксиметилпенициллин
|карбенициллин
|бензатина бензилпенициллин
|бензилпенициллина натриевая соль
~Приведенная ниже химическая структура соответствует лекарственному препарату … .

|амоксациллина тригидрат
|феноксиметилпенициллин
|карбенициллин
|ампициллина тригидрат
|бензилпенициллина натриевая соль
~При идентификации препаратов пенициллинов по приведенной ниже реакции образуется … .

|медная соль гидроксамовой кислоты
|индофенол
|основание Шиффа
|оксим
|ауриновый краситель
~Органически связанную серу в препаратах пенициллинов обнаруживают после минерализации до… .
|сульфид-иона
|окиси серы
|сульфат - иона
|сульфона
|дисульфона
~Реакция с кислотой хромотроповой в присутствии кислоты серной конц. является общегрупповой на препараты … .
|пенициллинов
|макролидов
|аминогликлзидов
|цефалоспоринов
|азалидов
~Канамицин по строению является производным …
|аминогликозидов
|кислоты 6-аминопенициллановой
|макролидов
|азалидов
|цефалоспоринов
~Количественное определение препаратов пенициллинового ряда проводят методом …
|йодометрии после щелочного гидролиза
|нейтрализации
|броматометрии
|нитритометрии
|перманганатометрии
~Приведенная ниже химическая структура лежит в основе лекарственных препаратов группы …

|цефалоспоринов
|бензилпенициллинов
|аминогликозидов
|тетрацикинов
|макролидов
~Структурной основой лекарственных препаратов природных и полусинтетических пенициллинов является …
|6-аминопенициллановая кислота
|7-аминоцефалоспорановая кислота
|7-аминодезацетоксицефалоспорановая кислота
|м-диоксифенол
|пенициллановая кислота
~Лекарственным препаратом из группы антибиотиков-макролидов является…
|эритромицин
|бензатин
|цефазолин
|гентамицин
|ампицилин
~Соли бензилпенициллина … , поэтому их выпускают в виде герметически укупоренных сухих порошков.
|неустойчивы в растворах
|легко летучие
|плавятся в гигроскопичной влаге
|имеют резкий неприятный запах
|на воздухе образуют эвтектические смеси
~ В препаратах пенициллинов расщепление в-лактамной связи приводит к … .
|исчезновению антибиотических свойств+
|усилению фармакологического действия
|расширению спектра антимикробного действия
|появлению кислотоустойчивых свойств
|появлению устойчивости к в - лактамазе
~Растворы пенициллинов … за счет наличия в молекулах ассиметрических атомов углерода в положениях С3, С5, С6.
|вращают плоскость поляризации вправо
|обладают антимикробной активностью
|поглощают свет в ИК - областиспектра
|поглощают свет в УФ - области спектра
|легко разрушаются пенициллиназой
~Щелочи и пеницилиназа гидролизуют в-лактамное кольцо по приведенной ниже реакции с образованием фармакологически неактивной … .

|динатриевой соли пенициллоиновой кислоты
|гидроксамовой кислоты
|пенилловой кислоты
|пеницилленовой кислоты
|динатриевой соли пеницилленовой кислоты
~При взаимодействии растворимых натриевых и калиевых солей пенициллина с 25% кислотой хлороводородной выделяется осадок… .
|кислотной формы пенициллина белого цвета
|гидроксамата меди зеленого цвета
| пенилловой кислоты белого цвета
|пеницилленовой кислоты бесцветный
|динатриевой соли пеницилленовой кислоты бесцветный
~Ион калия в бензилпенициллина калиевой соли обнаруживают … .
|с раствором кислоты виннокаменной после минерализации
|методом бумажной хроматографии
|с цинкуранилацетатом
|методом тонкослойной хроматографии
|методом ионообменной хроматографии
~Новокаин-основание в бензилпенициллина новокаиновой соли обнаруживают по образованию … .
|азокрасителя
|индофенола
|нитрозо-соли
|гидроксомата тяжелых металлов
|изонитрила
~Приведенную ниже реакцию образования азокрасителя используют для идентификации … .

|амоксациллина
|феноксиметилпенициллина
|карбинициллина
|амоксиклава
|бензатина бензилпенициллина
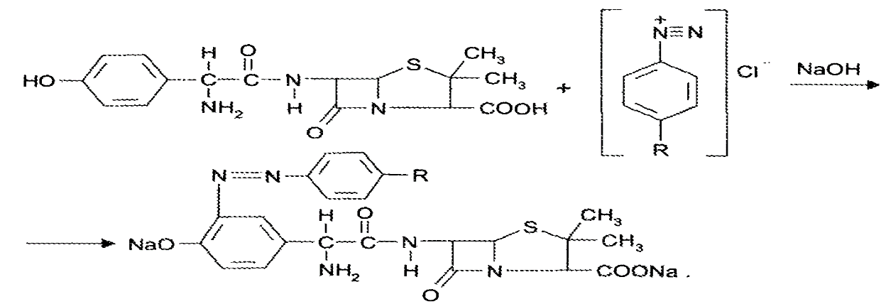
~Амоксациллин с солью диазония образует азокраситель по приведенной ниже реакции за счет содержания в молекуле … .

|фенольного гидроксила
|тиазолидинового кольца
|в-лактамного цикла
|6-аминопеницилланового кольца
|органически связанной серы
~Приведенная ниже химическая структура соответствует лекарственному препарату … .

|бензатина бензилпенициллин
|феноксиметилпенициллин
|карбинициллин
|ампициллина тригидрат
|бензилпенициллина натриевая соль
~Определение содержания воды в препаратах пенициллина проводят методом… .
|Фишера
|дистилляции
|диффузии в агар
|щелочного гидролиза
|йодометрии
~В щелочной среде пенициллины … , поэтому НД регламентирует определение рН растворов препаратов.
|гидролизуются
|изомеризуются
|конденсируются
|выпадают в осадок
|кристаллизуются
~НД регламентирует в препаратах пенициллина определение … , являющихся продуктами расщепления пенициллина.
|йодсорбирующих примесей
|воды
|пирогенных веществ
|посторонних пенициллинов
|общетехнологических примесей
~Препараты пенициллина испытывают на токсичность … методом.
|биологическим
|турбидиметрическим
|титриметрическим
|потенциометрическим
|фотоколориметрическим
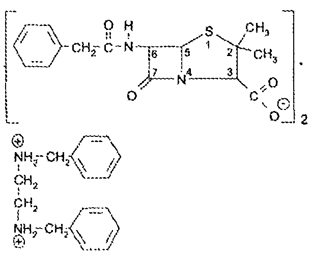
~Приведенная ниже реакция идентификации с кислотой пикриновой в бензатина бензилпенициллине протекает за счет наличия … дибензилэтилендиамина.

|основных свойств
|этиленового остатка
|бензильных колец
|ароматических колец
|метиленовых связей
~Количество посторонних пенициллинов в препаратах бензилпенициллина определяют методом … .
|УФ-спектрофотометрии
|перманганатометрии
|тонкослойной хроматографии
|фотоколориметрии
|йодометрии
~Сумму пенициллинов в солях бензилпенициллина определяют … методом.
| йодометрическим
|перманганатометрическим
|гравиметрическим
|фотоколориметрическим
| УФ-спектрофотометрическим
~Сумму пенициллинов в солях бензилпенициллина определяют йодометрическим методом только после предварительного … .
|щелочного гидролиза пенициллина
|высушивания до постоянного веса
|кислотного гидролиза пенициллина
|сплавления с натрия карбонатом
|разложения кислотой серной конц.
~При щелочном гидролизе солей бензилпенициллина происходит раскрытие в-лактамного цикла с образованием... .
|пенициллоиновой кислоты
|пенальдиновой кислоты
|пенициламина
|дегидропенальдиновой кислоты
|тиазолидинового цикла
~Определение бензилпенициллина в его солях проводится... методом.
|гравиметрическим
|йодометрическим
|преманганатометрическим
|УФ-спектрофотометрическим
|алкалиметрическим
~Гравиметрический метод определения бензилпенициллина в его солях основан на образовании … .
|N-этилпиперидиновой соли бензилпенициллина
|комплексных соединений пеницилленовой кислоты
|
Из за большого объема этот материал размещен на нескольких страницах:
1 2 3 4 5 6 7 8 9 10 11 12 13 14 15 |



