| кислоте сульфокамфорной
| терпингидрату
| валидолу
~Приведенную ниже реакцию проводят для идентификации … .

| терпингидрата
| сульфокамфокаина
| кислоты сульфокамфорной
| ментола
| валидола
~Рациональному названию валидола соответствует … .
| смесь ментола в ментиловом эфире изовалериановой кислоты
| п-ментандиол-1,8
| L-2-изопропил-5-метилциклогексанол-1
| 3-изопропил-5-метилциклогексанол-1
| 5-метилциклогексанол-1
~Приведенная ниже химическая формула соответствует... .

| камфоре
| ментолу
| кислоте сульфокамфорной
| терпингидрату
| валидолу
~ Приведенная ниже химическая формула соответствует... .

| бромкамфоре
| ментолу
| кислоте сульфокамфорной
| терпингидрату
| валидолу
~ Приведенная ниже химическая формула соответствует... .

| ремантадину
| мидантану
| сульфокамфокаину
| терпингидрату
| валидолу
~Приведенная ниже химическая формула соответствует... .

| мидантану
| ремантадину
| сульфокамфокаину
| терпингидрату
| валидолу
~Бромкафора относится к производным … .
| бициклических терпеноидов
| моноциклических дитерпеноидов
| пентациклических тритерпеноидов
| бициклических тетратерпеноидов
| трициклических сесквитерепеноидов
~Сульфокамфорная кислота относится к производным … .
| бициклических терпеноидов
| моноциклических дитерпеноидов
| пентациклических тритерпеноидов
| бициклических тетратерпеноидов
| трициклических сесквитерепнноидов
~Сульфокамфокаин относится к производным … .
| бициклических терпеноидов
| моноциклических дитерпеноидов
| пентациклических тритерпеноидов
| бициклических тетратерпеноидов
| трициклических сесквитерепнноидов
~Глидеринин относится к производным … .
| пентациклических тритерпеноидов
| моноциклических дитерпеноидов
| бициклических терпеноидов
| бициклических тетратерпеноидов
| трициклических сесквитерепнноидов
~Глицирам относится к производным … .
| пентациклических тритерпеноидов
| моноциклических дитерпеноидов
| бициклических терпеноидов
| бициклических тетратерпеноидов
| трициклических сесквитерепнноидов
~Ментол относится к производным … .
| моноциклических терпеноидов
| бициклических терпеноидов
| пентациклических тритерпеноидов
| бициклических тетратерпеноидов
| трициклических сесквитерепнноидов
~Терпингидрат относится к производным … .
| моноциклических терпеноидов
| бициклических терпеноидов
| пентациклических тритерпеноидов
| бициклических тетратерпеноидов
| трициклических сесквитерепнноидов
~Ретинола ацетат относится к производным … .
| моноциклических дитерпеноидов
| бициклических терпеноидов
| пентациклических тритерпеноидов
| бициклических тетратерпеноидов
| трициклических сесквитерепнноидов
~Окислительно-восстановительные свойства ретинола (витамина А) обусловлены наличием… .
| спиртовой группы в боковом радикале
| метильных групп в боковом радикале
| двойных связей в боковом радикале
| двойной связи в положении С5-С6
| метильных групп в циклогексеновом цикле
~Приведенная ниже химическая формула соответствует лекарственному препарату... .

| глидеринин-натрий
| ремантадин
| сульфокамфокаин
| терпингидрат
| глицирам
~Приведенная ниже химическая формула соответствует лекарственному препарату... .

| глидеринин
| ремантадин
| сульфокамфокаин
| терпингидрат
| глицирам
~Приведенная ниже химическая формула соответствует лекарственному препарату... .

| глицирам
| глидеринин-натрий
| сульфокамфокаин
| терпингидрат
|глидеринин
~Приведенная ниже химическая формула соответствует... .

| ретинола ацетату
| эргокальциферолу
| кислоте аскорбиновой
| глицираму
| глидеринину
~Количественное определение ретинола ацетата по нормативной документации проводят методом... .
| спектрофотометрии
| броматометрии
| нейтрализации
| поляриметрии
| перманганатометрии
~Глицирам представляет собой... .
| аммонийную соль глицирризиновой кислоты
| 3-амино-глицирризиновую кислоту
| аммонийную соль глицирретовой кислоты
| аммонийную соль 18-дегидроглицирретовой кислоты
| 3-амино-18-дегидроглицирретовую кислоту
~В структуру агликона сердечных гликозидов входит … .
| стероид и лактон
| стероид и углевод
| лактон и углевод
| стероид
| лактон
~Дезоксисахара в молекуле сердечных гликозидов идентифицируют по реакции … .
| Келлера-Килиани
| Раймонда
| Марки
| Эрдмана
| Балье
~Токсичность сердечных гликозидов снижается введением в структуру … .
| углевода
| лактона
| ангулярных метильных групп
| С3-гидроксильной группы
| С3-кетонной группы
~В основе химической структуры стероида лежит … .
| циклопентанпергидрофенантрен
| фенантрен
| морфинан
| циклогексан
| пергидрофенантрен
~Буфодиенолиды идентифицируют по реакции … .
| с хлоридом сурьмы
| Келлера-Килиани
| Раймонда
| Балье
| с ксантгидролом
~Гликозидом по строению является … .
| строфантин
| эргокальциферол
| ретинол
| неодикумарин
| норколут
~ В основе химической структуры имеют стероидный цикл … .
| витамины группы D
| витамины группы Е
| витамины группы В1
| витамин А
| витамин РР
~Стероидный цикл идентифицируют по реакции … .
| Либермана Бурхарда
| Кедде
| Либермана
| с натрия нитропруссидом
| Балье
~Фармакологическая активность сердечных гликозидов определяется наличием … .
| агликона
| лактонного цикла
| радикала в С14
| циклопентанпергидрофенантрена
| дезоксисахаров
~Для карденолидов характерно наличие в 17-β положении … .
| пятичленного лактонного кольца
| фуранозы
| рибофуранозы
| шестичленного лактонного кольца
| α-кетольной группы
~Для буфодиенолидов характерно наличие в 17-β положении … .
| шестичленного лактонного кольца пятичленного лактонного кольца
| рибофуранозы
| фуранозы
| α-кетольной группы
~Отличительной для витаминов группы D от других стероидных соединений является реакция с... .
| хлоридом сурьмы
| ванилином
| гидроксиламином
| гидразином
| нитратом серебра
~Структурной особенностью сердечных гликозидов группы строфанта является наличие … .
| С10 альдегидной группы
| С10 карбоксильной группы
| С17 альдегидной группы
| С17 гидроксильной группы
| С17 лактонного кольца
~Примеси других гликозидов в дигитоксине определяют методом … .
| тонкослойной хроматографии
| спектрофотометрии
| поляриметрии
| алкалиметрии
| ацидиметрии
~ К циклогексанолэтиленгидриндановым соединениям относится … .
| эргокальциферол
| ретинола ацетат
| строфантин
| дигитоксин
| адонизид
~К циклогексанолэтиленгидриндановым соединениям относится … .
| холекальциферол
| ретинола ацетат
| строфантин
| дигитоксин
| дигоксин
~Эргокальциферол (Витамин D2) от холекальциферола (Витамина D3) отличают по … .
| радикалу в положении С17
| остатку этиленгидриндана
| радикалу в положении С3
| радикалу в положении С14
| циклу А
~Приведенная ниже химическая формула соответствует... .

| эргокальциферолу
| ретинола ацетату
| кислоте аскорбиновой
| глицираму
| глидеринину
~Приведенная ниже химическая формула соответствует... .

| строфантину
| эргокальциферолу
| дигитоксину
| глицираму
| глидеринину
~Приведенная ниже химическая формула соответствует... .

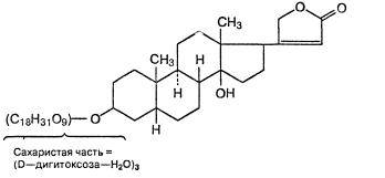
| дигитоксину
| эргокальциферолу
| строфантину
| глицираму
| глидеринину
~ Приведенная ниже химическая формула соответствует... .

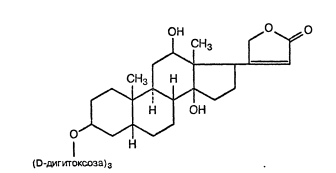
| дигоксину
| эргокальциферолу
| строфантину
| глицираму
| глидеринину
~Гидрокортизона ацетат от гидрокортизона отличают по реакции … .
| образования этилацетата после гидролиза
| Либермана-Бурхарда
| образования оксима
| с кислотой серной конц.
| образования «серебряного зеркала»
~Специфичной для идентификации эстрогенных гормонов является реакция образования … .
| азокрасителя
| оксима
| «серебряного зеркала»
| мурексида
| гидразона
~ По реакции образования гидроксамата железа идентифицируют… .
| тестостерона пропионат
| дексаметазон
| преднизолон
| метандростенолон
| метиландростендиол
~Для кортикостероидов характерно наличие … .
| 17-α-кетольной группы
| 3-фенольного гидроксила
| 3-кетогруппы
| 10-альдегидной группы
| 19-метильной группы
~Прегнин отличают от его структурных аналогов по реакции на … .
| этинильную группу
| стероидный цикл
| гидроксильную группу
| метильную группу
| циклопентан
~Общим в строении этинилэстрадиола и прегнина является наличие … .
| этинильной группы
| гидроксильных групп
| 17α-кетольной группы
| кетогруппы
| ароматического цикла А
~Производным андростана является … .
|
Из за большого объема этот материал размещен на нескольких страницах:
1 2 3 4 5 6 7 8 9 10 11 12 13 14 15 |



