|диэтиловый эфир
|нитроглицерин
|формалин
~Описание «прозрачная, бесцветная, сиропообразная жидкость без запаха, сладкого вкуса, нейтральной реакции, гигроскопична» соответствует … .
| глицерину
|фторотану
|хлоралгидрату
|хлорэтилу
|формалин
~При взаимодействии спирта этилового с кислотой уксусной по приведенной ниже реакции образуется … .

|этилацетат с приятным фруктовым запахом
|желтый осадок с характерным запахом
|ацетальдегид
|белый осадок, растворимый в избытке реактива
|акролеин с неприятным запахом
~При взаимодействии спирта этилового с йодом в щелочной среде по нижеприведенной реакции образуется … .
![]()
| желтый осадок с характерным неприятным запахом
| белая опалесценция
| осадок черного цвета, пузырьки газа
| аморфный осадок белого цвета
| осадок синего цвета
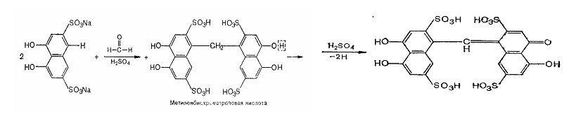
~При взаимодействии глицерина с водоотнимающими средствами по нижеприведенной реакции образуется … .

| акролеин с неприятным запахом
| этилацетат с приятным фруктовым запахом
| ацетальдегид с характерным запахом
| аморфный осадок белого цвета
| осадок бурого цвета
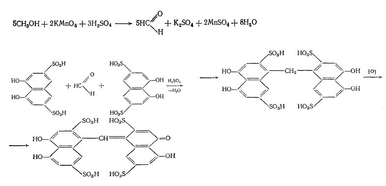
~Приведенная ниже реакция образования глицерата меди используется для … глицерина.

|идентификации
|количественного определения
|определения примесей сивушных масел
|определения стабильности
|определения чистоты
~Приведенную ниже реакцию используют для обнаружения примеси... в спирте этиловом.

|фурфурола
|сивушных масел
|дубильных веществ
|альдегидов
|органических веществ
~Приведенная ниже химическая структура соответствует лекарственному препарату … .

|нитроглицерин
|спирт этиловый
|диэтиловый эфир
|глицерин
|формалин
~При взаимодействии спирта этилового с бихроматом калия по приведенной ниже реакции образуется … .

|ацетальдегид с запахом свежих яблок
|желтый осадок с характерным запахом
|этилацетат с приятным фруктовым запахом
|бурый осадок, растворимый в избытке реактива
|акролеин с неприятным запахом
~ Примесь спирта метилового в этаноле определяют по реакции с … .
|кислотой хромотроповой
|аммония оксалатом
| натрия сульфидом
|меди сульфатом
|кислотой серной
~Приведенную ниже реакцию используют для обнаружения примеси … в анализе чистоты спирта этилового.

|метилового спирта
|альдегидов
|органических веществ
|дубильных веществ
|сивушных масел
~ Идентификацию формалина по приведенной ниже реакции восстановления меди (II) до меди (I) проводят с реактивом …
|Фелинга
|Марки
|Толленса
|Несслера
|Майера
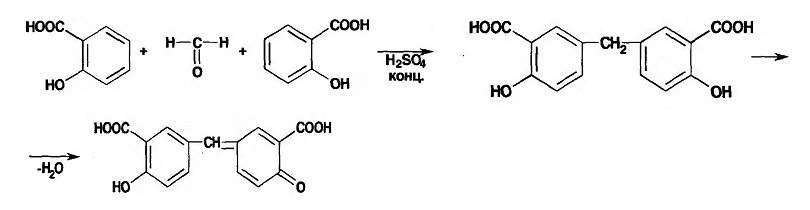
~ При взаимодействии формалина с хромотроповой кислотой по нижеприведенной ниже реакции образуется … .

|ауриновый краситель красного цвета
|основание Шиффа розового цвета
|индофеноловый краситель синего цвета
|диазокраситель красного цвета
|изонитрил с неприятным запахом
~ При анализе чистоты фторотана летучие примеси определяют методом … .
|газожидкостной хроматографии
|тонкослойной хроматографии
|перманганатометрии
|спектрофотометрии
|фотоколориметрии
~ При взаимодействии формалина с кислотой салициловой по приведенной ниже реакции образуется … .

|ауриновый (арилметановый) краситель красного цвета
|основание Шиффа розового цвета
|индофеноловый краситель синего цвета
|диазокраситель красного цвета
|изонитрил с неприятным запахом
~ Приведенная ниже реакция используется для … хлоралгидрата.
![]()
|идентификации
|количественного определения
|определения примеси хлоралалкоголята
|определения стабильности
|определения примеси параформа
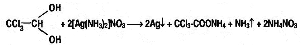
~Приведенная ниже реакция восстановления серебра используется для … хлоралгидрата

|идентификации
|количественного определения
|определения примеси кислоты муравьиной
|определения стабильности
|определения примеси хлоралалкоголята
~При окислении формальдегида образуется специфическая примесь … .
|кислоты муравьиной
|хлоралалкоголята
|параформа
|хлораля
|формальдегида
~ При температуре ниже 9◦С формальдегид полимеризуется с образованием … .
|параформа
|хлоралалкоголята
|кислоты муравьиной
|хлораля
|трихлорметана
~Приведенная ниже химическая структура соответствует лекарственному препарату … .

| гексаметилентетрамин
|хлористый этил
|хлороформ
|хлоралгидрат
|формальдегид
~Приведенная ниже реакция гидролиза используется для … гексаметилентетрамина.

|идентификации и количественного содержания
|определения органических примесей
|определения примесей солей аммония
|исследования стабильности
|лпределения примеси параформа
~При количественном определении гексаметилентетрамина алкалиметрическим методом по приведенной ниже реакции используют индикатор … .
![]()
|метиловый красный
|метиловый оранжевый
|фенолфталеин
|кислотный хром черный
|тропеолин 00
~Количественное содержание йодоформа проводят в соответствии с приведенной ниже химической реакцией методом аргентометрии по … .
CHI3 + 3AgNO3(изб.) + H2O
3AgI↓ + CO + 3HNO3
изб. AgNO3 + NH4SCN
AgSCN↓ + NH4NO3
3NH4SCN + FeNH4(SO4)2
Fe(SCN)3↓ + 2(NH4)2SO4
| Фольгарду, обратным титрованием
| Фольгарду, прямым титрованием
| Фаянсу
| Мору, прямым титрованием в кислой среде
| Мору, прямым титрованием в нейтральной среде
~Количественное содержание формальдегида проводят в соответствии с приведенной ниже химической реакцией методом … .
I2 + 2NaOH → NaIO + NaI + H2O
HCHO + NaIO + NaOH → HCOONa + NaI + H2O
NaI + NaIO + H2SO4 → I2 + Na2SO4 + H2O
I2 + Na2S2O3 → 2NaI + Na2S4O6
|йодометрии, обратным титрованием
|йодометрии, прямым титрованием
|йодатометрии, обратным титрованием
|Мора, прямым титрованием в шелочной среде
|Мора, прямым титрованием в нейтральной среде
~При количественном определении хлоралгидрата методом обратной алкалиметрией используют индикатор … .
Cl3C-CH(OH)2 + NaOH изб → CHCl3 + HCOONa
NaOH изб+HCl→NaCl+H2O
|фенолфталеин
|натрия эозинат
|бромтимоловый синий
|кислотный хром черный
|тропеолин 00
~Гексаметилентетрамин образует цветные осадки с … за счет содержания в структуре третичного атома азота.
|общеалкалоидными осадительными реактивами
|кислотами
|щелочами
|галогенами щелочных металлов
|солями кальция
~Гексаметилентетрамин образует желтый осадок с пикриновой кислотой за счет содержания в структуре … .
|третичного атома азота
|метиленовых групп
|аминных групп
|аминной группы в С1
|метиленовой группы в С2
~Приведенная ниже реакция используется в анализе хлоралгидрата для … .

|обнаружения специфической примеси хлоралалкоголята
|идентификации
|количественного определения
|исследования стабильности
|обнаружения общетехнологических примесей
~Окислительно-восстановительная реакция с калия перманганатом лежит в основе количественного определения препарата … .
|кальция лактат
|кальция глюконат
|кальция хлорид
|калия ацетат
|тетацина кальция
~При определении примесей декстрина в глюкозе добавлением … .
| спирта этилового не должно быть помутнения
| щелочи не должно быть сине-фиолетового окрашивания
| аммония гидроксида не должно быть осадка
| реактива Несслера не должно быть желтого окрашивания
| кислоты серной конц. не должно быть побурения
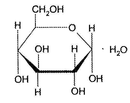
~Приведенная ниже химическая структура соответствует лекарственному препарату … .

|глюкоза
|кислота аскорбиновая
|сахароза
|кислота оксикапроновая
|леовист
~Приведенная ниже химическая структура соответствует лекарственному препарату … .

|галактоза
|кислота аскорбиновая
|сахароза
|глюкоза
|крахмал
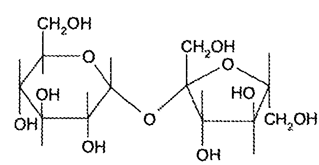
~Приведенная ниже химическая структура соответствует лекарственному препарату … .

|сахароза
|кислота аскорбиновая
|галактоза
|глюкоза
|крахмал
~Приведенная ниже химическая структура соответствует лекарственному препарату … .
|
Из за большого объема этот материал размещен на нескольких страницах:
1 2 3 4 5 6 7 8 9 10 11 12 13 14 15 |



