|кислота глютаминовая
~Рациональное название тетацина кальция … .
|динатриево-кальциевая соль этилендиаминтетрауксусной кислоты
|динатриевая соль этилендиаминтетрауксусной кислоты
|б – аминоглутаровая кислота
|L-амино-2 меркаптопропионовая кислота
|тетраэтилтиурамдисульфид
|г-лактон-2,3-дегидро-L-гулоновая кислота
~Препарат тетацин кальция применяют в медицине как … средство.
|детоксицирующие при отравлении солями тяжелых металлов
|бактерицидное
|кардиотоническое
|желчегонное
|нейролептическое
~Приведенная ниже химическая структура соответствует лекарственному препарату … .

|тетурам
|аминалон
|цистеин
|ацетилцистеин
|мелфалан
~Рациональное название «тетраэтилтиурамдисульфид» приведенной ниже химической структуры соответствует лекарственному препарату … .

|тетурам
|аминалон
|цистеин
|ацетилцистеин
|мелфалан
~Наличие диэтиламинового радикала и атомов серы в тетураме идентифицируют … .
|после минерализации с раствором свинца ацетата
|по характерному запаху
|с солями бария
|реактивом Марки
|с хромотроповой кислотой
~Приведенная ниже химическая структура соответствует лекарственному препарату … .

|аминалон
|тетурам
|кислота аминокапроновая
|ацетилцистеин
|мелфалан
~Приведенная ниже химическая структура соответствует лекарственному препарату … .

|кислота аминокапроновая
|тетурам
|аминалон
|ацетилцистеин
|мелфалан
~Приведенная ниже химическая структура соответствует лекарственному препарату … .

|кислота глютаминовая
|тетурам
|аминалон
|ацетилцистеин
|кислота аминокапроновая
~Приведенная ниже химическая структура соответствует лекарственному препарату … .

|цистеин
|кислота глютаминовая
|аминалон
|ацетилцистеин
|кислота аминокапроновая
~Приведенная ниже химическая структура соответствует лекарственному препарату … .

|ацетилцистеин
|кислота глютаминовая
|аминалон
|цистеин
|кислота аминокапроновая
~Приведенная ниже химическая структура соответствует лекарственному препарату … .

|пенициламин (купренил)
|ацетилцистеин
|аминалон
|цистеин
|кислота аминокапроновая
~Приведенная ниже химическая структура соответствует лекарственному препарату … .

|метионин
|ацетилцистеин
|аминалон
|цистеин
|кислота аминокапроновая
~Приведенная ниже реакция взаимодействия тетацина кальция с нитратом свинца используется для … .

|идентификации и количественного определения
|идентификации ионов кальция
|определения чистоты
|определения стабильности
|идентификации ЭДТА
~Тетацин кальция это - … .
|натрия кальция эдедат
|этилендиаминтетрауксусная кислота
|трилон Б
|натрия вальпроат
|кальция глюконат
~Приведенная ниже химическая структура соответствует лекарственному препарату … .

|кальция лактат
|стрептомицин
| натрия кальция эдедат
|натрия вальпроат
|кальция глюконат
~Приведенная ниже химическая структура соответствует лекарственному препарату … .

|натрия цитрат
|кальция лактат
|натрия кальция эдедат
|натрия вальпроат
|кальция глюконат
~Приведенная ниже реакция восстановления серебра используется в анализе … .

|глюкозы
|кислоты аскорбиновой
|кислоты аминокапроновой
|аминолона
|пирацетама
~При хранении диэтиловый эфир окисляется кислородом воздуха с образованием … .
|взрывоопасных пероксидов, гидропероксидов
|оксониевых солей
|воды
|углекислого газа
|двуокиси углерода
~Приведенная ниже реакция используется в анализе нитроглицерина для …
|
|
|идентификации
|количественного определения
|определения стабильности
|определения примесей неорганических нитратов
|определения примесей родственных соединений
~При анализе нитроглицерина нитрогруппу идентифицируют … .
|после щелочного гидролиза с раствором дифениламина в кислой среде
|по реакции с солями серебра
|после щелочного гидролиза с гидросульфатом калия при нагревании
|по реакции с раствором меди сульфата
|по образованию акролеина
~Приведенная ниже реакция используется для идентификации … .

|натрия цитрата
|натрия вальпроата
|аминалона
|кислоты аминокапроновой
|пирацетама
~По приведенной ниже реакции идентификации цитрат-ионов в натрия цитрате белый осадок кальция цитрата образуется только при … .

|кипячении реакционной смеси
|комнатной температуре
|охлаждении реакционной смеси
|встряхивании
|отсутствии освещения
~Приведенная ниже реакция ионообменной хроматографии с катионитом КУ-2 используют для … натрия цитрата.

| количественного определения
| идентификации ионов натрия
| идентификации цитрат - ионов
| определения чистоты
| определения стабильности
~Приведенная ниже реакция образования ацетальдегида используется при идентификации … .

| кальция лактата
| кальция глюконата
| натрия цитрата
| ацетилцистеина
| пирацетама
~При идентификации кальция лактата окисление лактат – иона калия перманганатом сопровождается образованием … .
| ацетальдегида с характерным запахом
| окрашенного осадка
| кислоты молочной
| этилацетата с яблочным запахом
| комплексных солей молочной кислоты
~Идентификацию ионов кальция в кальция лактате проводят с … .
| аммония оксалатом
| кислотой виннокаменной
| цинка уранилацетатом
| натрия кобальтинитритом
| реактивом Несслера
~Количественное определение кальция лактата проводят методом … .
| комплексонометрии в среде аммиачного буфера
| нейтрализации
| комплексонометрии в среде кислоты азотной
| перманганатометрии
| гравиметрии
~Реакцию образования солей светло-зеленого цвета с хлоридом окисного железа используют для идентификации … .
| кальция глюконата
| диэтилового эфира
| аминолона
| ацетилцистеина
| пирацетама
~При анализе кислоты аскорбиновой по приведенной ниже формуле рассчитывают значение … .

|удельного вращения
|угла вращения
|угла преломления
|удельного показателя поглощения
|оптическую плотность
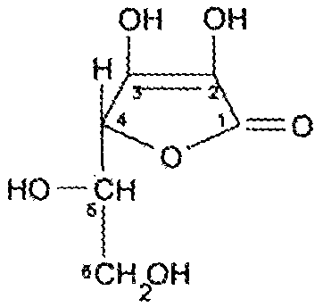
~Кислота аскорбиновая имеет ассиметрические атомы углерода при … .

|С4 и С5
| С3 и С2
| С6 и С1
| С2 и С1
| С3 и С1
~Приведенная ниже химическая структура соответствует лекарственному препарату … .

|пирацетам
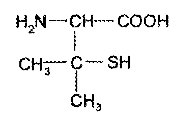
|пенициламин
|метионин
|кислота глютаминовая
|кислота аминокапроновая
~Приведенная ниже химическая структура соответствует лекарственному препарату … .

|пенициламин
|пирацетам
|метионин
|кислота глютаминовая
|кислота аминокапроновая
~Оптическую активность кислоты глютаминовой используют в идентификации для определения … .
|величины удельного вращения
|пределов кислотности и щелочности
|угла преломления
|степени флюоресценции
|пределов содержания допустимых примесей
~Приведенную ниже реакцию комплексообразования с солями Cu+2 используют для идентификации … .

|кислоты глютаминовой
|кальция лактата
|камфоры
|ампициллина
|хлоралгидрата
~Приведенную ниже реакцию используют для идентификации … .

|цистеина
|аминалона
|метионина
|ацетилцистеина
|пенициламина
~Тиометильную группу в молекуле метионина идентифицируют по реакции с … .
| нитропруссидом натрия после щелочного гидролиза
|резорцином
|кислотой серной конц.
|хлоридом окисного железа
|нингидрином
~Реакция идентификации с нингидрином характерна для … .
|кислоты глютаминовой
|кальция гдюконата
|эргокальциферола
|кальция лактата
|тестостерона пропионата
~Количественное определение кислоты глютаминовой методом формольного титрования основано на образовании … .
|N–метиленового производного
|
Из за большого объема этот материал размещен на нескольких страницах:
1 2 3 4 5 6 7 8 9 10 11 12 13 14 15 |





