
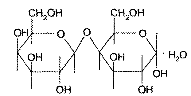
|лактоза
|глюкоза
|галактоза
|кислота аскорбиновая
|крахмал
~Приведенная ниже химическая структура соответствует лекарственному препарату … .

| крахмал
| глюкоза
|галактоза
|кислота аскорбиновая
|лактоза
~Полисахарид … состоит из амилозы и амилопектина.
|крахмал
|глюкоза
|галактоза
|кислота аскорбиновая
|лактоза
~Рациональное название «D-(+)-глюкопираноза» соответствует лекарственному препарату… .
|глюкоза
|крахмал
|мальтоза
|кислота аскорбиновая
|лактоза
~Рациональное название «б-D-глюкопиранозил-в-D-фруктофураноза» соответствует лекарственному препарату … .
|сахароза
|крахмал
|мальтоза
|кислота аскорбиновая
|глюкоза
~Реакцию образования озазонов используют для идентификации … .
|глюкозы
|кислоты аскорбиновой
|кислоты глютаминовой
|лактозы
|сахарозы
~При взаимодействии глюкозы с фенилгидразином по приведенной ниже реакции образуется … .

|осадок озазона желтого цвета с характерной температурой плавления
|ауриновый (арилметановый) краситель красного цвета
|основание Шиффа розового цвета
|индофеноловый краситель синего цвета
|диазокраситель красного цвета
~Приведенная ниже реакция преобразования глюкозы в оксиметилфурфурол протекает при … .

|неправильных условиях стерилизации и хранения
|идентификации
|количественном определении
|определении удельного вращения
|определении примеси декстрина
~Поляриметрическим методом определяют … глюкозы.
|удельное вращение
|показатель преломления
|интенсивность флюоресциенции
|удельный показатель поглощения
|оптическую плотность
~Восстановительные свойства глюкозы связаны с наличием в молекуле … .
|полуацетального гидроксила
|пиранозного цикла
|гидроксильной группы в положении С3
|гидроксильной группы в положении С4
|спиртовой группы в положении С6
~Как многоатомный спирт глюкоза взаимодействует с … .
|меди гидроксидом с образованием комплексных соединений синего цвета
|общеалкалоидными реактивами с образованием окрашенных осадков
|реактивом Толленса с образованием бурого осадка
|реактивом Марки с образованием ауринового красителя
|реактивом Фелинга с образованием Cu2 O красно-фиолетового цвета
~В окислительно-восстановительные реакции с реактивами Фелинга и Толленса глюкоза вступает за счет наличия … .
|альдегидной группы
|гидроксильных групп
|пиранозного цикла
|гидроксильной группы в положении С3
|гидроксильной группы в положении С4
~Олигосахарид … состоит из б-D-глюкопиранозы и в-D-фруктофуранозы.
|сахароза
|глюкоза
|мальтоза
|лактоза
|крахмал
~Сахароза не вступает в реакцию с реактивом …, так как не содержит полуацетальный гидроксил, переходящий в альдегидную группу.
|Фелинга
|Марки
|Майера
|Вагнера
|Драгендорфа
~Глюкоза образует озазоны с четкой температурой плавления при нагревании с … .
|фенилгидразином
|реактивом Марки
|кислотой серной конц.
|кислотой хромотроповой
|меди гидроксидом
~Олигосахарид … состоит из в-D-галактопиранозы – и (1→)-б-D-глюкопиранозы.
|лактоза
|глюкоза
|мальтоза
|сахароза
|крахмал
~Окислительно-восстановительные свойства кислоты аскорбиновой обусловлены наличием … .
|ендиольной группировки в положениях С2- С3
|лактонного цикла
|спиртовой группы в положении С6
|кето-группы в положении С1
|гидроксильной группы в положении С5
~Кислотные свойства кислоты аскорбиновой обусловлены наличием … .
|гидроксильной группы в положении С3
|гидроксильной группы в положении С2
|кето-группы в положении С1
|двойной связи в положениях С2-С3
|радикалом в положении С4
~Примеси декстрина определяют в препарате … .
|глюкоза
|формальдегид
|лактоза
|хлоралгидрат
|спирт этиловый
~Примесь параформа в формальдегиде образуется в условиях … .
|низкой температуры (ниже 9°С)
|влияния света и кислорода воздуха
|хранения в присутствии влаги
|высокой температуры (выше 20°С)
|длительного хранения
~Изменение величины угла вращения растворов глюкозы от +109,16° (свежеприготовленные растворы) до +52,3° (через два часа после приготовления) связано с реакцией … .
|мутаротации
|дисмутации
| полимеризации
|конденсации
|гидратации
~Кислота аскорбиновая по химическому строению представляет собой... .
|кислоту г-лактон-2,3-дегидро-L-гулоновую
|кислоту 2-кето-L-гулоновую
|б-амино-в-фенилмасляной кислоты гидрохлорид
|кислоту г-аминомасляную
|N-ацетил-L-цистеин
~Приведенная ниже химическая структура соответствует лекарственному препарату … .

|кислота аскорбиновая
|глюкоза
|сахароза
|кислота аминокапроновая
|леовист
~Приведенная ниже химическая структура соответствует лекарственному препарату … .

|кальция глюконат
|кальция ацетат
|кальция пангамат
|кальция пантотенат
|кальция лактат
~Приведенную ниже реакцию используют для идентификации … .

|кислоты аскорбиновой
|крахмала
|лактозы
|глюкозы
|сахарозы
~По приведенной ниже реакции кислота аскорбиновая под действием слабых окислителей окисляется до … .

|кислоты дегидроаскорбиновой
|глюкозы
|оксиметилфурфурола
|декстрозы
|фруктозы
~Поляриметрическим методом определяют … кислоты аскорбиновой.
|удельное вращение
|показатель преломления
|интенсивность флюоресциенции
|удельный показатель поглощения
|оптическую плотность
~Кислота аскорбиновая поглощает свет в УФ-области спектра за счет наличия … .
|хромофорных групп
|ассиметрических атомов углерода
|кислотно-основных свойств
|способности растворяться в воде
|оптических изомеров
~Оптические свойства кислоты аскорбиновой обусловлены наличием … .
|ассиметрических атомов углерода в положениях С4 ,С5
|гидроксильной группы в положении С2
|кето-группы в положении С1
|двойной связи в положениях С2-С3
|ассиметрических атомов углерода в положениях С4 ,С6
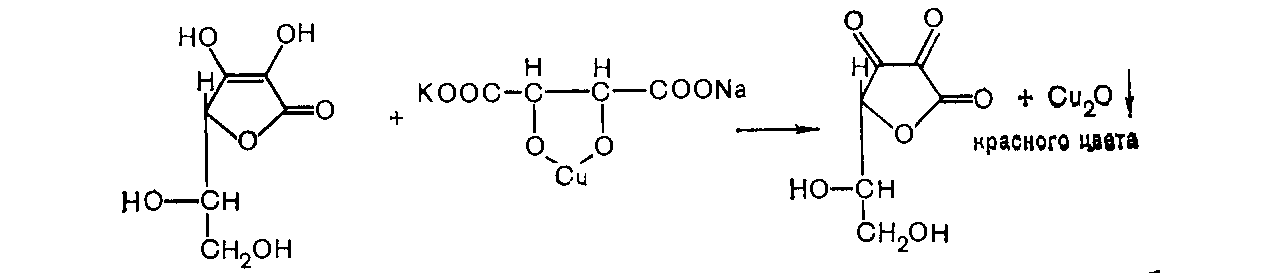
~При взаимодействии кислоты аскорбиновой с железа сульфатом по приведенной ниже реакции образуется … .

|соль фиолетового цвета
|индофеноловый краситель синего цвета
|основание Шиффа розового цвета
|ауриновый (арилметановый) краситель красного цвета
|диазокраситель красного цвета
~Образование аскорбината железа фиолетового цвета по приведенной ниже реакции основано на наличии… кислоты аскорбиновой.

|кислотных свойств
|гидроксильной группы в положении С2
|кето-группы в положении С1
|двойной связи в положениях С2-С3
|ассиметрических атомов углерода в положениях С4 ,С5
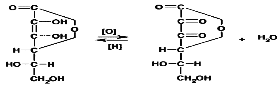
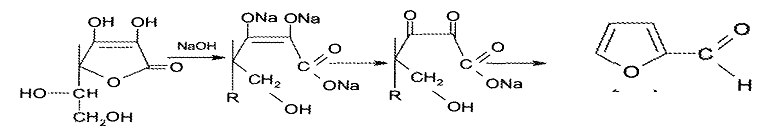
~При действии сильных окислителей по приведенной ниже реакции лактонное кольцо кислоты аскорбиновой гидролизуется с образованием … .

|фурфурола
|глюкофуранозы
|кислоты дегидроаскорбиновой
|декстрозы
|галактофуранозы
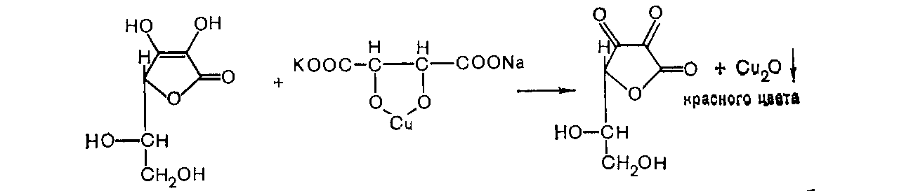
~Для идентификации кислоты аскорбиновой используют приведенную ниже реакцию взаимодействия с реактивом … .

|Фелинга
|Толленса
|Марки
|кислоты хромотроповой
|Несслера
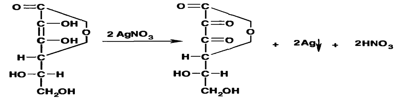
~Приведенная ниже реакция восстановления серебра используется для … кислоты аскорбиновой.

|идентификации
|количественного определения
|определения примеси оксиметилфурфурола
|определения стабильности
|определения примеси фурфурола
~Для идентификации кислоты аскорбиновой используют реакцию взаимодействия с окрашенным в синий цвет раствором 2,6-дихлорфенолиндофенола по образованию … .

|бесцветного лейкооснования+
|черного творожистого осадка
|основания Шиффа розового цвета
|арилметанового красителя красного цвета
|диазокрасителя красного цвета
~Количественное содержание кислоты аскорбиновой проводят в соответствии с приведенной ниже химической реакцией методом … .

|йодатометрии, прямым титрованием
|йодометрии, прямым титрованием
|йодатометрии, обратным титрованием
|Мора, прямым титрованием в шелочной среде
|Мора, прямым титрованием в нейтральной среде
~Количественное содержание кислоты аскорбиновой проводят в соответствии с приведенной ниже химической реакцией методом … .

|алкалиметрии, прямым титрованием
|алкалиметрии, обратным титрованием
|Фольгарда, обратным титрованием
|Мора, прямым титрованием в шелочной среде
|Мора, прямым титрованием в нейтральной среде
~Приведенная ниже химическая структура соответствует лекарственному препарату … .

|динатриево-кальциевая соль этилендиаминтетрауксусной кислоты
|динатриевая соль этилендиаминтетрауксусной кислоты
|кальция глюконат
|аминалон
|кислота оксикапроновая
|
Из за большого объема этот материал размещен на нескольких страницах:
1 2 3 4 5 6 7 8 9 10 11 12 13 14 15 |



