|белый, меняющий цвет до желто-оранжевого
|голубой, нерастворимый в растворе калия иодида
|красный кристаллический, нерастворимый в кислоте азотной
|белый рыхлый аморфный осадок, растворимый в калия иодиде
~Препараты комплексных соединений платины «Платин» и «Цисплатин» применяют в медицине как … средства.
|противоопухолевые
|бактерицидные
|кардиотонические
|желчегонные
|нейролептические
~Приведенная ниже реакция используется для … в комплексном препарате «Платин».
![]()
|идентификации и количественного определения платины
|количественного определения азота
|анализа посторонних примесей
|определения обще-технологических примесей
|определения ионов хлора
~Комплексными препаратами гадолиния являются … .
|магневист и омнискан
|цисплатин и платин
|феррум-лек и ферроцерон
|галотан и фторотан
|леовист и глюкоза
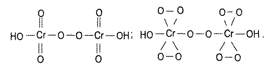
~Реакцию образования надхромовых кислот приведенного ниже состава используют при идентификации … .

|перекиси водорода
|висмута нитрата основного
|железа сульфата
|гадодиамида
|радиднуклеидных препаратов
~Приведенная ниже реакция используется для … в калия бромиде.

|идентификации ионов калия
|количественного определения бромид-иона
|анализа посторонних примесей
|определения обще-технологических примесей
|определения стабильности
~Комплексные препараты гадолиния магневист и омнискан применяют в медицине при … .
|ядерно-магнитной резонансной томографии мозга
|онкологических заболеваниях
|железидефицитной анемии
|ингаляционном наркозе
|лечении вирусных инфекций
~Описание «прозрачная, бесцветная, летучая жидкость с характерным запахом и жгучим вкусом, кипит при 78°С, легко воспламеняется, горит синеватым светящимся бездымным пламенем» соответствует препарату … .
| спирт этиловый
| эфир диэтиловый
| хлористый этил
| хлоралгидрат
| хлороформ
~Введение галогена в молекулу производных углеводородов … .
|повышает биологическую активность и токсичность препарата
|снижает биологическую активность и токсичность препарата
|повышает растворимость и снижает токсичность препарата
|снижает биологическую активность, уменьшает растворимость
|приводит к полной потере фармакологической активности препарата
~Лекарственный препарат … горит зеленым пламенем, образуя углекислоту, воду и хлористый водород.
| хлористый этил
|эфир диэтиловый
|спирт этиловый
|хлороформ
|глицерин
~В хлороформ для наркоза добавляют спирт этиловый для … .
| обезвреживания примеси фосгена в качестве консерванта
| снижения летучих свойств
| снижения токсичности
| уменьшения неприятного запаха и вкуса
| снижения воспламенения
~Примесь фурфурола определяют в лекарственном препарате … .
|спирт этиловый
|хлороформ
|фторотан
|хлористый этил
|глицерин
~Реакцию образования акролеина используют для идентификации … .
|глицерина
|йодоформа
|хлористого этила
|хлороформа
|спирта этилового
~Органические примеси в хлороформе для наркоза определяют по реакции с … .
|кислотой серной конц.
|раствором натрия нитропруссида
|бромной водой
|аммиачным раствором серебра нитрата
|реактивом Розенхейма
~Приведенная ниже химическая структура соответствует лекарственному препарату … .

|хлоралгидрат
|хлористый этил
|хлороформ
|гексаметилентетрамин
|формальдегид
~Количественное определение хлороформа по нормативной документации …
|не проводят
| проводят методом Къельдаля
| проводят рефрактометрией
| проводят гравиметрией
| проводят аргентометрией
~ Идентификацию хлороформа по нормативной документации проводят по … .
|температуре кипения и плотности
|реакции конденсации с анилином
|реакции конденсации с резорцином
|удельному вращению
|продуктам щелочного гидролиза
~Описание «мелкие, пластинчатые, блестящие кристаллы лимонно-желтого цвета с резким характерным запахом» соответствует препарату … .
|йодоформ
|кислота аскорбиновая
|натрия иодид
|калия ацетат
|калия иодид
~Приведенная ниже химическая формула соответствует лекарственному препарату … .
![]()
|хлорэтил
|фторотан
|галотан
|хлороформ
|йодоформ
~Приведенная ниже химическая формула соответствует лекарственному препарату … .
![]()
|фторотан
|хлорэтил
|эфир диэтиловый
|хлороформ
|йодоформ
~Описание «прозрачная, бесцветная, легко летучая жидкость со своеобразным запахом, температура кипения 12-13◦С» соответствует … .
|хлорэтилу
|фторотану
|эфиру
|хлороформу
|йодоформу
~Рациональное название лекарственного препарата «трихлорметан» соответствует … .
|хлороформу
|фторотану
|эфиру
|хлорэтилу
|йодоформу
~ Приведенная ниже реакция окисления хлороформа протекает при … .

|неправильных условиях хранения
|идентификации
|количественном определении
|определении примесей органических примесей
|определении примесей альдегидов
~ Приведенная ниже реакция обнаружения фосгена используется в анализе … .

|хлороформа
|фторотана
|эфира
|хлорэтила
|йодоформа
~ Примеси альдегидов в хлороформе по приведенной ниже реакции определяют с реактивом … .

|Несслера
|Марки
|Толленса
|Фелинга
|Майера
~Испытания на отсутствие органических примесей в хлороформе проводят по … .
| отсутствию пожелтения от добавления кислоты серной конц.
| пожелтению раствора от добавления кислоты серной конц.
|выпадению хлопьев от добавления реактива Несслера
|окрашиванию крахмала при добавлении калия иодида
|выпадению осадка от добавления анилина
~Примеси свободного хлора в хлороформе обнаруживают по … .
|окрашиванию крахмала в синий цвет при добавлении калия иодида
|пожелтению раствора от добавления кислоты серной конц.
|выпадению хлопьев от добавления реактива Несслера
|выделению бурого газа от добавления кислоты серной конц.
|выпадению осадка от добавления анилина
~Примеси фосгена в хлороформе обезвреживаются в присутствии спирта этилового за счет … .
|образования нетоксичного диэтилового эфира угольной кислоты
|разложения фосгена до хлороводорода и углекислого газа
|образования угольной кислоты и воды
|переведения фосгена в осадок
|разложения фосгена до газообразных продуктов
~Описание «прозрачная, бесцветная, тяжелая подвижная, легко летучая жидкость с характерным запахом, температурой кипения 59,5-62◦С, пары не воспламеняются и не взрываются» соответствует … .
|хлороформу
|фторотану
|хлоралгидрату
|хлорэтилу
|йодоформу
~Приведенные ниже рациональное название и химическая формула соответствуют лекарственному препарату … .

|фторотан
|хлороформ
|хлоралгидрат
|хлорэтил
|йодоформ
~Сущность пробы Бельштейна заключается в образовании … .
|летучих галогенидов меди при нагревании галогенсодержащих препаратов на медной проволоке
|неорганических соединений при сжигании в токе кислорода
|неорганических ионов при сплавлении галогенсодержащих препаратов с натрия карбонатом
|галогенидов меди при обработке галогенсодержащих препаратов кислотой серной конц.
|мышьяковистого водорода
~Проба Бельштейна служит для идентификации атома … в молекуле органического вещества.
|галогена
|азота
|серы
|фосфора
|щелочных металлов
~При нагревании препаратов … в сухом виде на медной проволоке пламя окрашивается в синевато-зеленый цвет.
|брома и йода
|хлора
|серы
|фтора
|форсфора
~При внесении в пламя горелки на медной проволоке препаратов, содержащих ионы … пламя окрашивается в желтый цвет.
|хлора
|брома
|йода
|фтора
|серы
~При нагревании галогенсодержащих препаратов … в сухом виде на медной проволоке пламя окрашивается для брома и йода в…цвет.
|синевато-зеленый цвет
|желтый
|красный
|бурый
|зеленый
~Образование летучих галогенидов меди при нагревании галогенсодержащих препаратов на медной проволоке используют в … .
|пробе Бельштейна
|методе Къельдаля
|методе сжигания в колбе с кислородом
|методе Зангера-Блека
|пробе Лассеня
~Рациональное название «трийодметан» соответствует лекарственному препарату … .
| йодоформ
|хлороформ
|хлоралгидрат
|хлорэтил
|фторотан
~Нагревание препарата в присутствии кислоты серной конц. с выделением фиолетовых паров используют для идентификации … .
|йодоформа
|хлороформа
|бромкамфоры
|хлорэтила
|кислоты глютаминовой
~При идентификации … нагреванием в присутствии кислоты серной конц. образуются фиолетовые пары.
|йодоформа
|хлороформа
|бромкамфоры
|хлорэтила
|кислоты глютаминовой
~Йодоформ применяют как… средство.
|антисептическое
|ингаляционное
|витаминное
|кардиотоническое
|косметическое
~Фторотан применяют в медицинской практике для … .
|ингаляционного наркоза
|кратковременного наркоза
|дезинфицирования ран
|обработки инструментов
|лечения кишечных инфекций
~Приведенная ниже химическая структура соответствует лекарственному препарату … .

|глицерин
|спирт этиловый
|
Из за большого объема этот материал размещен на нескольких страницах:
1 2 3 4 5 6 7 8 9 10 11 12 13 14 15 |



