| тестостерона пропионат
| преднизолон
| кортизона ацетат
| этинилэстрадиол
| дексаметазон
~Для препаратов эстрогенных гормонов характерно наличие … .
| ароматического цикла А
| спиртового гидроксила в положении С17
| α-кетольной группы в положении С17
| кетогруппы в положении С3
| ангулярной метильной группы в положении С19
~Преднизон отличают от кортизона по … .
| Δ1,4-3-кетогруппе
| Δ4-3-кетогруппе
| 17α-кетольной группе
| циклу А
| ангулярным метильным группам
~Преднизолон отличают от гидрокортизона по … .
| Δ1,4-3-кетогруппе
| Δ4-3-кетогруппе
| 17α-кетольной группе
| циклу А
| ангулярным метильным группам
~Из препаратов, производных глюкокортикоидов очень легко растворим в воде … .
| преднизолона гемисукцинат
| кортизона ацетат
| преднизолон
| дексаметазон
| флуцинолона ацетонид
~Из препаратов, производных глюкокортикоидов очень легко растворим в воде … .
| гидрокортизона гемисукцинат
| флуцинолона ацетонид
| преднизолон
| дексаметазон
| гидрокортизон
~Местранол отличают от других структурных аналогов – эстрогенных лекарственных препаратов по … .
| 3-метокси-группе
| Δ4-3-кетогруппе
| 17α-кетольной группе
| Δ1,4-3-кетогруппе
| ангулярным метильным группам
~Эстрадиола дипропионат отличают от других структурных аналогов эстрогенов по реакции … .
| гидроксамовой пробы
| образования азокрасителя
| с хлоридом железа
| индофенольной пробы
| электрофильного замещения
~Норколут отличают от других структурных аналогов – анаболических лекарственных препаратов по … .
| отсутствию С19 метильной группы
| Δ4-3-кетогруппе
| С17 гидроксильной группе
| Δ1,4-3-кетогруппе
| С3 метокси-группе
~Основным методом количественного определения стероидных гормонопрепаратов по нормативной документации является ….
| спектрофотометрия
| хроматография
| броматометрия
| иодатометрия
| нефелометрия
~Выраженная противовоспалительная активность дексаметазона обусловлена
наличием … .
| атома фтора
| Δ4-3-кетогруппы
| 17α-кетольной группы
| стероидного цикла
| ангулярными метильными группами
~Кортизон отличают от гидрокортизона по … .
| 11-кетогруппе
| Δ4-3-кетогруппе
| 17α-кетольной группе
| Δ1,4-3-кетогруппе
| ангулярным метильным группам
~Преднизолон отличают от преднизона по … .
| 11-гидроксигруппе
| Δ4-3-кетогруппе
| 17α-кетольной группе
| Δ1,4-3-кетогруппе
| ангулярным метильным группам
~Приведенная ниже химическая формула соответствует лекарственному препарату … .

| прегнин
| преднизолон
| кортизон
| гидрокортизон
| норколут
~Приведенная ниже химическая формула соответствует лекарственному препарату … .

| преднизолон
| преднизон
| кортизон
| гидрокортизон
| норколут
~Для идентификации прегнина используют приведенную ниже реакцию образования … .

| оксима
| гидроксамовой кислоты
| гидразона
| семикарбазона
| фенилгидразона
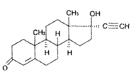
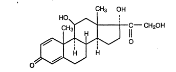
~Приведенная ниже химическая структура соответствует лекарственному препарату … .

| преднизолон
| преднизон
| кортизон
| гидрокортизон
| норколут
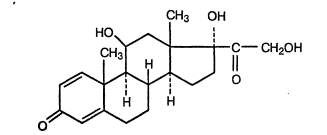
~Приведенная ниже химическая структура соответствует лекарственному препарату … .

| кортизона ацетат
| преднизолон
| преднизон
| гидрокортизона ацетат
| норколут
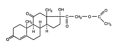
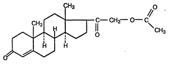
~Приведенная ниже химическая структура соответствует лекарственному препарату … .

| гидрокортизона ацетат
| преднизолон
| кортизона ацетат
| преднизон
| норколут
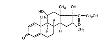
~Приведенная ниже химическая структура соответствует лекарственному препарату … .

| дексаметазон
| преднизолон
| кортизон
| гидрокортизон
| норколут
~Приведенная ниже химическая структура соответствует лекарственному препарату … .

| дезоксикортикостерона ацетат
| флуцинолона ацетонид
| кортизона ацетат
| гидрокортизона ацетат
| преднизолона гемисукцинат
~К фторсодержащим лекарственным препаратам производным глюкокортикоидов относится … .
| дексаметазон
| преднизолон
| кортизон
| гидрокортизон
| норколут
~К фторсодержащим лекарственным препаратам производным глюкокортикоидов относится … .
| флуцинолона ацетонид
| преднизолон
| кортизон
| гидрокортизон
| преднизон
~К фторсодержащим лекарственным препаратам производным глюкокортикоидов относится … .
| синалар
| преднизолон
| кортизон
| гидрокортизон
| преднизон
~Рациональное название «прегнен-4-трион-3,11,20-диола-17α,21-ацетат» соответствует лекарственному препарату … .
| кортизон
| преднизолон
| кортизон
| гидрокортизон
| преднизон
~Рациональное название «11-дезоксипрегнен-4-дион-3,20-ола-21-ацетат» соответствует лекарственному препарату … .
| дезоксикортикостерона ацетат
| флуцинолона ацетонид
| кортизона ацетат
| гидрокортизона ацетат
| преднизолона гемисукцинат
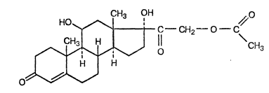
~Приведенная ниже химическая структура соответствует лекарственному препарату … .

| эстрадиола дипропионат
| флуцинолона ацетонид
| кортизона ацетат
| гидрокортизона ацетат
| преднизолона гемисукцинат
~Приведенная ниже химическая структура соответствует лекарственному препарату … .

| этинилэстрадиол
| прегнин
| преднизолон
| преднизон
| кортизон
~Кортизона ацетат от кортизона отличают по реакции… .
| гидроксамовой пробы
| с кислотой серной конц.
| Либермана-Бурхарда
| образования оксима
| образования «серебряного зеркала»
~Гидрокортизона ацетат от гидрокортизона отличают по реакции… .
| гидроксамовой пробы
| с кислотой серной конц.
| Либермана-Бурхарда
| образования оксима
| образования «серебряного зеркала»
~Нормативная документация для количественного определения лекарственных средств стероидных гормонов рекомендует метод … .
| спектрофотометрии
| нитритометрии
| нефелометрии
| нейтрализации
| комплексонометрии
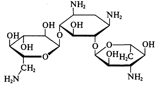
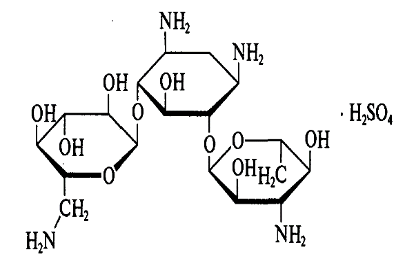
~Приведенная ниже химическая структура является основой лекарственного препарата … .

| канамицина
| гентамицина
| амикацина
| преднизона
| кортизона
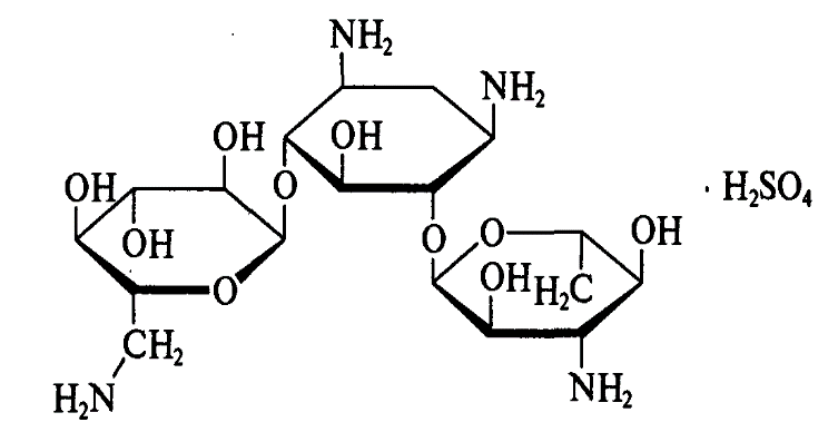
~Приведенная ниже химическая структура соответствует лекарственному препарату … .

| канамицина сульфат
| гентамицина сульфат
| амикацин
| карбенициллин
| амоксациллин
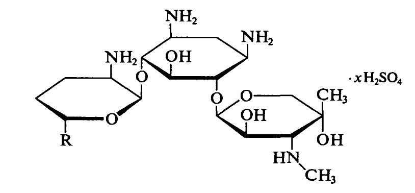
~Приведенная ниже химическая структура соответствует лекарственному препарату … .

| гентамицина сульфат
| канамицина сульфат
| амикацин
| цефалексин
| цефалотин
~Гликозидная часть молекулы канамицина сульфата состоит из … .
|6-глюкозамина, 3- глюкозамина
|гарамицина, пурпурозамина
|дигитоксозы, рамнозы
|L-глюкозамина, L - стрептозы
|цимарозы, олеандрозы
~Агликоном канамицина моносульфата в представленной ниже структуре является …

|1,3-диамино-4,5,6-тригидроксициклогексан
|6-дезокси-6-амино-D-глюкоза
|3-дезокси-3-амино-D-глюкоза
|4-амино-2-гидроксимасляная кислота
|6-глюкозамин
~Оптическую активность препаратов аминогликозидов используют для идентификации по … .
|величине удельного вращения
|пределу кислотности и щелочности
|углу преломления
|степени флюоресценции
|пределу содержания допустимых примесей
~Приведенная ниже химическая структура является общей формулой препаратов … .

|аминогликозидов
|пенициллинов
|тетрациклинов
|цефалоспоринов
|азалидов
~Аминогликозиды … с образованием окрашенных и нерастворимых продуктов, поэтому НД регламентирует определение прозрачности и цветности растворов препаратов.
|окисляются
|изомеризуются
|конденсируются
|выпадают в осадок
|кристаллизуются
~Аминогликозиды легко … , поэтому НД регламентирует определение рН растворов препаратов.
|гидролизуются
|изомеризуются
|конденсируются
|выпадают в осадок
|кристаллизуются
~Канамицина моносульфат при кипячении в кислой среде … с полной потерей активности.
|гидролизуется
|изомеризуется
|конденсируется
|выпадает в осадок
|кристаллизуется
~При взаимодействии сахарного компонента канамицина 6-глюкозамина с кислотой хлороводородной конц. образуется … , который идентифицируют орцином в присутствии железа окисного хлорида.
|5-аминофурфурол
|озазон
|оксим
|гидразон
|глюкоза
~Идентификацию гентамицина сульфата, являющимся смесью сульфатов гентамицина С1, С2 С1а проводят методом … .
|тонкослойной хроматографии
|йодометрии
|фотоколориметрии
|гравиметрии
|йодатометрии
~Аминогликозиды … , поэтому НД нормирует потерю массы при высушивании.
|
Из за большого объема этот материал размещен на нескольких страницах:
1 2 3 4 5 6 7 8 9 10 11 12 13 14 15 |



