|пирролидинкарбоновой кислоты
|аммонийной соли
|комплексного соединения
|продукта реакции конденсации
~Количественное определение кислоты глютаминовой по нормативной документации проводят методом … .
|Кьельдаля
|комплексонометрии
|алкалиметрии
|йодометрии
|ацидиметрии
~Лекарственным препаратом из группы аминокислот, содержащим в своей структуре атом серы является … .
|метионин
|кислота глутаминовая
|аминалон
|пирацетам
|купренил
~Лекарственным препаратом из группы аминокислот, содержащим в своей структуре атом серы является … .
|цистеин
|кислота глутаминовая
|кислота аминакапроновая
|пирацетам
|фенибут
~Реакция образования этилацетата характерна для препарата … .
|ацетилцистеин
|пирацетам
|аминалон
|цистеин
|фенибут
~Лекарственные препараты, производные аминокислот по кислотно-основным свойствам являются … .
|амфолитами
|нейтральными соединениями
|кислотами
|слабыми основаниями
|сильными кислотами
~Реакция с нингидрином является общегрупповой для лекарственных препаратов, производных … .
|аминокислот
|спиртов, эфиров
|карбоновых кислот
|циклопентанопергидрофенантрена
|альдегидов
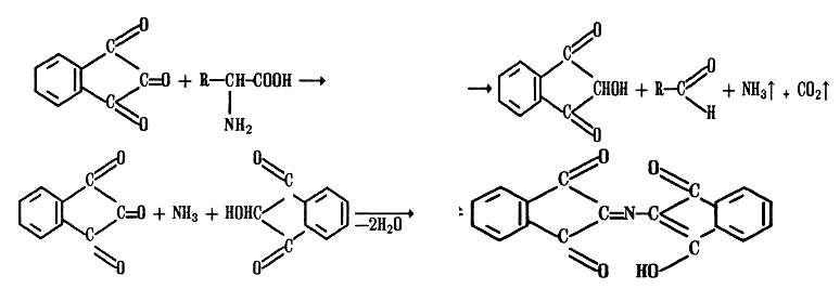
~В результате приведенной ниже реакции взаимодействия аминокислот с формальдегидом образуется … .

|N-метилиденовое производное (азометин)
|ауриновый краситель
|соль диазония
|азокраситель
|индофенол
~Для идентификации аминокислот используется приведенная ниже реакция с … .

|нингидрином
|реактивом Фелинга
|кислотой хромотроповой
|реактивом Марки
|оксиметилфурфуролом
~В результате взаимодействия аминолона с формальдегидом по приведенной ниже реакции аминалон приобретает … свойства.

|кислотные
|основные
|амфотерные
|восстановительные
|окислительные
~Приведенную ниже реакцию используют для идентификации … .

|метионина
|аминолона
|кислоты глютаминовой
|пирацетама
|пенициламина
~Количественное определение аминокислот по органически связанному атому азота проводят методом … .
|Къельдаля
|сжигания в колбе с кислородом
|сплавления с натрия гидроокисью
|Серенса
|Лассеня
~Приведенный ниже химизм протекает при количественном определении аминокислот методом … .

|Къельдаля
|сжигания в колбе с кислородом
|Фаянса
|Серенса
|Фольгарда
~При количественном определении органически связанного атома азота методом Къельдаля для связывания аммиака используют … .
|кислоту борную
|пероксид водорода
|натрия гидроокись
|воду
|глицерин
~При количественном определении лекарственных препаратов методом Къельдаля органически связанный атом азота минерализуется до … .
|гидросульфата аммония
|метабората аммония
|тетрабората аммония
|закиси азота
|двуокиси азота
~Реакцию образования этилацетата по приведенной ниже реакции используют для обнаружения … группы в ацетилцистеине.

|ацетильной
|тио-
|имидной
|карбоксильной
|метиленовой
~Образование этилацетата по приведенной ниже реакции используют в анализе … .

|ацетилцистеина
|цистеина
|метионина
|кислоты аминокапроновой
|кислоты глютаминовой
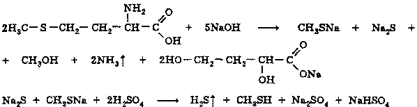
~Приведенную ниже реакцию идентификации с выделением сероводорода и меркаптана используют в анализе … .

|метионина
|цистеина
|ацетилцистеина
|аминалона
|кислоты глютаминовой
~ По приведенной ниже реакции сплавления метионина с 30% раствором щелочи обнаруживают … группу.

|тиометильную
|карбоксильную
|амино -
|метильную
|карбонильную
~… количественно определяют методом нейтрализации по приведенной ниже реакции.

|Кислоту глютаминовую
|Кислоту аминокапроновую
|цистеин
|метионин
|ацетилцистеин
~По приведенной ниже реакции цистеин при нагревании со щелочью выделяет натрия сульфид, который обнаруживают по … .

|почернению бумаги, смоченной ацетатом свинца
|помутнению известковой воды
|посинению красной лакмусовой бумаги
|побурению бумаги, смоченной дихлоридом ртути
|выпадению белого осадка
~Тио-группу в цистеине обнаруживают … .
|после минерализации по резкому запаху натрия сульфида
|по помутнению известковой воды
|по выпадению черного осадка с солями тяжелых металлов
|по побурению бумаги, смоченной дихлоридом ртути
|по выпадению белого осадка с солями цинка
~При количественном определении аминокислот методом формольного титрования … .
|аминогруппу блокируют формальдегидом
|проводят декарбоксилирование
|минерализуют препарат сплавлением с натрия гидроксидом
|проводят ацилирование
|окисляют препарат
~Количественное определение аминалона по приведенной ниже реакции проводят … .

|формольным титрованием
|нейтрализацией в неводных средах
|методом Къельдаля
|ацидиметрией
|после минерализации
~По НД количественное определение кислоты глютаминовой проводят методом … .
| алкалиметрии
| ацидиметрии
| Къельдаля
|аргентометрии
|меркуриметрии
~При количественном определении аминалона нейтрализацией в неводных средах титрантом является раствор… .
| кислоты хлорной
| натрия гидроксида
| раствор кислоты хлороводородной
|кислоты серной
|калия гидроксида
~При количественном определении аминокислот нейтрализацией в неводных средах протогенным растворителем является … .
| кислота уксусная ледяная
| натрия метилат
| кислота серная
|кислота хлорная
|кислота хлороводородная
~Количественное определение методом обратной йодометрии по приведенной ниже реакции используют в анализе …

| цистеина
| метионина
| ацетилцистеина
|пенициламина
|кислоты аминокапроновой
~Количественное определение методом обратной йодометрии по приведенной ниже реакции используют в анализе …

| метионина
| кислоты аминокапроновой
| ацетилцистеина
|пенициламина
| цистеина
~Приведенную ниже реакцию идентификации с выделением аммиака и амидной группы используют в анализе … .

| пирацетама
| цистеина
| ацетилцистеина
|пенициламина
| кислоты аминокапроновой
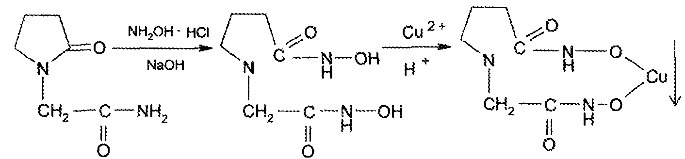
~Для идентификации пирацетама используют приведенную ниже реакцию образования … .

|меди гидроксамата
|основания Шиффа
|индофенола
|азокрасителя
|биурета
~Приведенную ниже реакцию используют в анализе кислоты глютаминовой для … .

|количественного определения
|идентификации аминогруппы
|определения чистоты
|определения стабильности
|идентификации карбоксильной группы
~Приведенную ниже реакцию используют в анализе аминалона для … .

|количественного определения
|идентификации аминогруппы
|определения чистоты
|определения стабильности
|идентификации карбоксильной группы
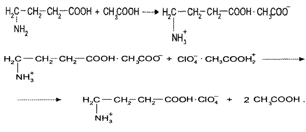
~Количественное определение аминалона по приведенной ниже реакции проводят методом … .

|нейтрализации в неводных средах
|прямой алкалиметрии
|обратной ацидиметрии
|аргентометрии по Фаянсу
|аргентометрии по Мору
~Основой химического строения препарата каптоприла является приведенная ниже структура … .

|производной аминокислоты пролина
|6-аминопенициллановой кислоты
|2-метил-пропионила
|макролида
|7-аминоцефалоспорановой кислоты
~Приведенная ниже химическая структура соответствует лекарственному препарату … .

|каптоприлу
|мелфалану
|кислоте аминокапроновой
|тетураму
|метионину
~Основой химической структуры эналаприла малеата является … .
|пролин
|6-аминопенициллановая кислота
|7-аминоцефалоспорановая кислота
|7-аминодезацетоксицефалоспорановая кислота
|м-диоксифенол
~Приведенная ниже химическая структура соответствует лекарственному препарату … .

|мелфалану
|каптоприлу
|эналаприлу
|дисульфираму
|амоксацилину
~Приведенной ниже структуре препарата мелфалана соответствует рациональное название … .

|l-б-амино-в-[n-бис(в-хлорэтил)-амино ] фенилаланин
|d, l-б-амино-в-[n-бис(в-хлорэтил)-амино ] фенилаланина гидрохлорид
|
Из за большого объема этот материал размещен на нескольких страницах:
1 2 3 4 5 6 7 8 9 10 11 12 13 14 15 |



