|комплексных соединений пенальдиновой кислоты
|ауринового красителя
|азокрасителя
335 Приведенную ниже реакцию используют в анализе бензилпенициллина для … .

|количественного определения
|идентификации тиазолидинового цикла
|определения чистоты
|идентификации в-лактамного цикла
|идентификации карбоксильной группы
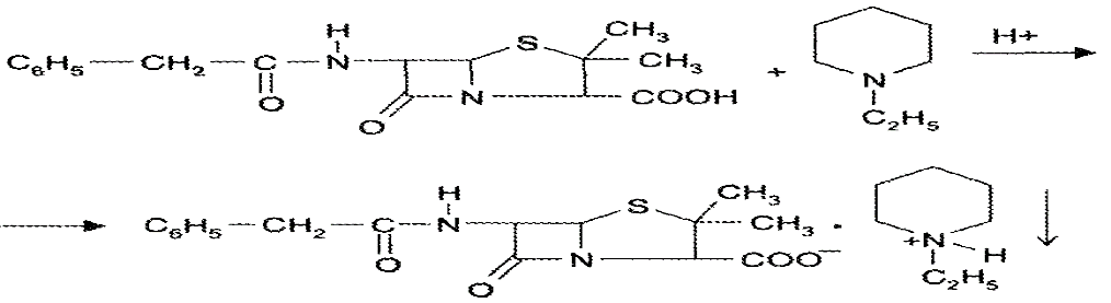
~Приведенная ниже реакция лежит в основе количественного определения бензилпенициллина в его солях … методом.

|гравиметрическим
|фотоколориметрическим
|хроматографическим
|УФ-спектрофотометрическим
|алкалиметрическим
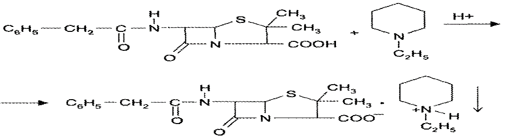
~Приведенная ниже реакция лежит в основе количественного анализа феноксиметилпенициллина методом... .

|кислотно-основного титрования в неводных средах
|фотоколориметрии
|гравиметрии
|УФ-спектрофотометрии
|нефелометрии
~Сумму пенициллинов в полусинтетических пенициллинах по НД определяют методом... после щелочного гидролиза избытком титрованного раствора натрия. гидроксида.
|алкалиметрии
|фотоколориметрии
|гравиметрии
|УФ-спектрофотометрии
|ацидиметрии
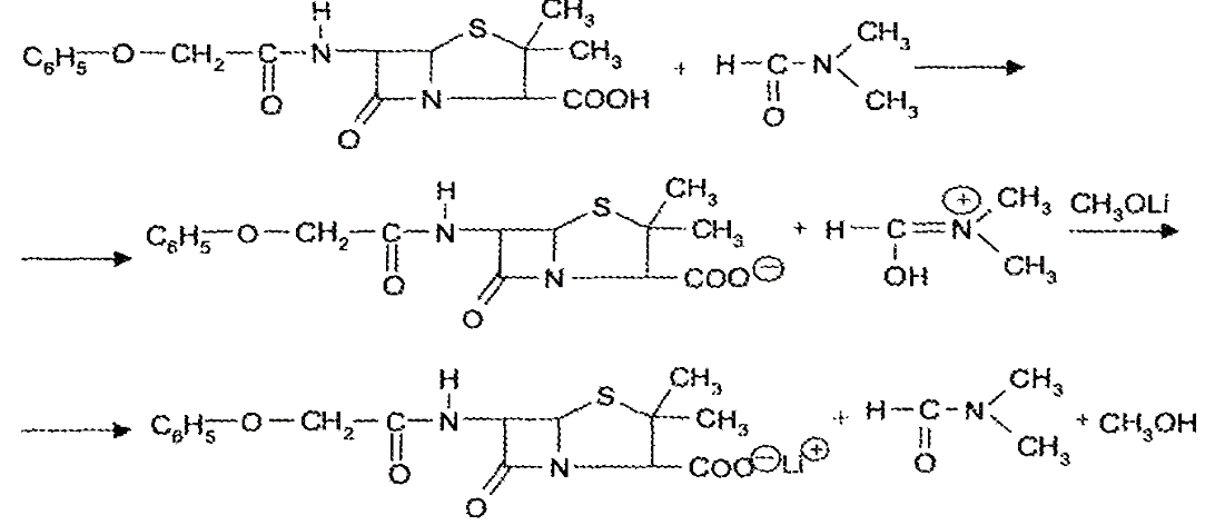
~Приведенную ниже реакцию кислотно-основного титрования в неводных средах используют в количественном определении … .

|ампициллина
|амоксациллина
|бензилпенициллина
|цефалексина
|цефалотина
~В основе строения цефалоспоринов лежит приведенная ниже структура... .

|7-аминоцефалоспорановой кислоты
|7-аминодезацетоксицефалоспорановой кислоты
|6-аминопенициллановой кислоты
|пенициллановая кислота
|пенициллоиновая кислота
~Цефалоспорины являются ацильными производными... .
|7-аминоцефалоспорановой кислоты
|цефалоспорановой кислоты
|6-аминопенициллановой кислоты
|пенициллановой кислоты
|пенициллоиновой кислоты
~Полусинтетический препарат цефалексин является производным... .
|7-аминодезацетоксицефалоспорановой кислоты
|7-аминоцефалоспорановой кислоты
|6-аминопенициллановой кислоты
|пенициллановой кислоты
|пенициллоиновой кислоты
~ Полусинтетический препарат цефалотин является производным... .
|7-аминоцефалоспорановой кислоты
|7-аминодезацетоксицефалоспорановой кислоты
|6-аминопенициллановой кислоты
|пенициллановой кислоты
|пенициллоиновой кислоты
~Препараты цефалоспоринов оптически активны за счет наличия ассиметрических атомов углерода в положениях … .

|С6 и С7
| С2 и С3
| С4 и С3
| С8 и С4
| С2 и С8
~ При анализе цефалоспоринов гидроксамовую реакцию проводят на … .
|в-лактамное кольцо
|дигидротиазиновое кольцо
|карбоксильную группу при С4
|органически связанную серу
|органически связанный азот
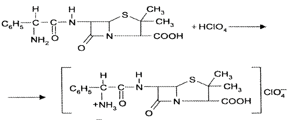
~Приведенная ниже химическая структура соответствует лекарственному препарату … .

|цефалексин
|феноксиметилпенициллин
|карбинициллин
|ампициллина тригидрат
|бензилпенициллина натриевая соль
~Приведенная ниже химическая структура соответствует лекарственному препарату … .

|цефалотин
|цефалексин
|карбинициллин
|ампициллина тригидрат
|бензилпенициллина натриевая соль
~Для идентификации цефалотина проводят реакцию образования... на β-лактамный цикл и сложно-эфирную группу при С3.
|гидроксаматов железа
|ауринового красителя
|основания Шиффа
|азокрасителя
|биурета
~Остаток алифатической аминокислоты в цефалексине идентификацируют реакцией с... .
|нингидрином
|реактивом Марки
|реактивом Несслера
|аммиачным раствором нитратат серебра
|раствором гидроксиламина
~Количественное определение цефалоспориновых антибиотиков проводят методом... .
|йодометрии после щелочного гидролиза
|перманганатометрии
|алкалиметрии
|ацидиметрии
|йодатометрии
~Количественное определение раствора камфоры в масле 20% для инъекции по нормативной документации проводят методом … .
| гравиметрии
| поляриметрии
| нейтрализации
| спектрофотометрии
| фотоэлектроколориметрии
~К бициклическим терпеноидам относится лекарственный препарат … .
| сульфокамфокаин
| терпингидрат
| ментол
| валидол
| ретинола ацетат
~ Ремантадин является производным... .
| адамантана
| сесквитерпеноидов
| бициклических терпеноидов
| тетратерпеноидов
| циклопентанпергидрофенантрена
~Отличительной для идентификации мидантана от ремантадина является реакция с … .
| 2-нитро-индандионом-1,3
| реактивом Несслера
| ванилином
| натрия нитритом
| серебра нитратом
~Количественное определение бромкамфоры по нормативной документации проводят методом … .
| аргентометрии
| гравиметрии
| спектрофотометрии
| иодометрии
| нейтрализации
~Мидантан является производным … .
| адамантана
| сесквитерпеноидов
| бициклических терпеноидов
| тетратерпеноидов
| циклопентанпергидрофенантрена
~Лекарственные препараты группы терпеноидов обладают специфическим запахом, за исключением … .
| терпингидрата
| сульфокамфокаина
| кислоты сульфокамфорной
| ментола
| камфоры
~Практически не растворим в воде препарат из группы терпеноидов… .
| камфора
| сульфокамфокаин
| терпингидрат
| кислота сульфокамфорная
| валидол
~Горячий раствор … от прибавления нескольких капель кислоты серной конц. мутнеет и приобретает ароматный запах.
| терпингидрата
| сульфокамфокаина
| кислоты сульфокамфорной
| ментола
| камфоры
~Рациональному названию ментола соответствует … .
| L-2-изопропил-5-метилциклогексанол-1
| п-ментандиол-1,8
| п-2-изопропил-5-метилгексан
| 3-изопропил-5-метилциклогексанол-1
| 5-метилциклогексанол-1
~Описание «прозрачная, бесцветная жидкость со слабым запахом камфоры» соответствует... .
| кислоте сульфокамфорной
| ретинола ацетату
| терпингидрату
| ментолу
| камфоре
~Описание «прозрачная, маслянистая бесцветная жидкость с запахом ментола» соответствует... .
| валидолу
| сульфокамфокаину
| терпингидрату
| ментолу
| камфоре
~Описание «белые кристаллические куски, или бесцветный кристаллический порошок, или прессованные плитки с кристаллическим строением, легко режущиеся ножом и слипающиеся в комки, с сильным характерным запахом и пряным горьковатым, затем охлаждающим вкусом» соответствует... .
| камфоре
| глидеринину
| терпингидрату
| ментолу
| валидолу
~Описание «бесцветные кристаллы с сильным запахом перечной мяты и холодящим вкусом» соответствует... .
| ментолу
| сульфокамфокаину
| терпингидрату
| камфоре
| глидеринину
~Описание «бесцветные кристаллы или белый кристаллический порошок камфорного запаха и вкуса» соответствует... .
| бромкамфоре
| ментолу
| терпингидрату
| глидеринину
| валидолу
~Количественное содержание ремантадина по нормативной документации определяют методом... .
| безводной нейтрализации
| иодатометрии
| нитритометрии
| броматометрии
| иодометрии
~Количественное содержание мидантана по нормативной документации определяют методом... .
| безводной нейтрализации
| иодатометрии
| нитритометрии
| броматометрии
| иодометрии
~Рациональное название «18β-дегидроглицирретовая кислота» соответствует... .
| глидеринину
| сульфокамфорной кислоте
| биосластилину
| глицираму
| глицирризиновой кислоте
~Сухим очищенным экстрактом корня солодки с содержанием основного действующего вещества – кислоты глицирризиновой не менее 80 % является … .
| биосластилин
| глидеринин
| глицирам
| валидол
| кордиамин
~Описание «порошок от светло-коричневого до темно-коричневого цвета приторно сладкого вкуса, своеобразного запаха» соответствует... .
| биосластилину
| глидеринину
| глицираму
| камфоре
| терпингидрату
~При энергичном взбалтывании с водой (или раствором аммония гидроксида) образуют обильную пену препараты группы... .
| тритерпеноидов
| моноциклических терпеноидов
| тетратерпеноидов
| сесквитерпеноидов
| бициклических терпеноидов
~Отличительной для ретинола ацетата является реакция с... .
| хлоридом сурьмы
| ванилином
| фурфуролом
| бензальдегидом
| нитратом серебра
~Отличительной для ретинола ацетата является... .
| гидроксамовая проба
| нингидриновая проба
| таллейохинная проба
| реакция Цинке
| реакция Витали-Морена
~Рациональное название «транс-9,13-диметил-7-(1,1,5-триметилциклогексен-5-ил-6)-нонатетраен-7,9,11,13-ола-15 ацетат» соответствует … .
| ретинола ацетату
| ремантадину
| мидантану
| кортизона ацетату
| терпингидрату
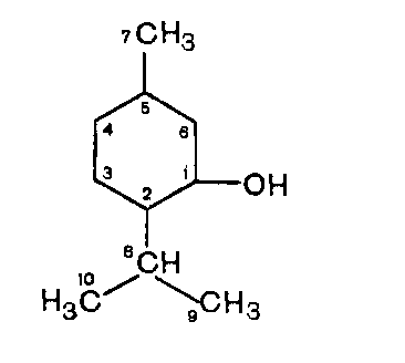
~Приведенная ниже химическая формула соответствует... .

| ментолу
| терпингидрату
| мидантану
| камфоре
| валидолу
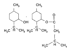
~Приведенная ниже химическая формула соответствует... .

| валидолу
| сульфокамфокаину
| кислоте сульфокамфорной
| терпингидрату
| ментолу
~Приведенная ниже химическая формула соответствует... .

| терпингидрату
| сульфокамфокаину
| кислоте сульфокамфорной
| ментолу
| валидолу
~ Приведенная ниже химическая формула соответствует... .

| сульфокамфокаину
| ментолу
|
Из за большого объема этот материал размещен на нескольких страницах:
1 2 3 4 5 6 7 8 9 10 11 12 13 14 15 |



