|титрант
|метиловый красный
|метиловый оранжевый
|фенолфталеин
|крахмал
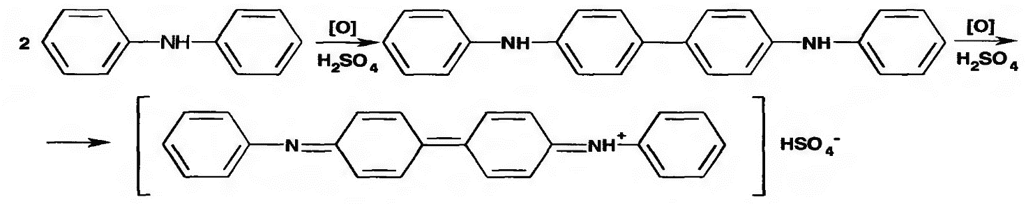
~Приведенную ниже реакцию окисления дифениламина в кислой среде используют для обнаружения в воде очищенной … .

|нитратов и нитритов
|бромидов и иодидов
|сульфатов и сульфидов
|фторидов и хлоридов
|сульфитов и броматов
~Приведенная ниже химическая структура соответствует лекарственному препарату … .

| гидроперит
| перекись водорода
| кислота глютаминовая
| меглюмин
| омнискан
~Приведенная ниже реакция образования биурета используется для идентификации … .

| гидроперита
| магния сульфата
| натрия тиосульфата
| кальция хлорида
| йода
~Приведенная ниже реакция используется в анализе магния сульфата для определения … .

| количественного содержания
| чистоты
| подлинности
| стабильности
| растворимости
~Приведенная ниже реакция используется в анализе магния сульфата для определения … .
Mg2+ + Na2HPO4 + NH4OH + 5H2O
MgNH4PO4•6H2O↓ + 2Na+
| подлинности
| чистоты
| количественного содержания
| стабильности
| растворимости
~Количественное определение цинка сульфата по нормативной документации проводят методом … .
|комплексонометрии
|прямой нейтрализации
|рефрактометрии
| аргентометрии по Фольгарду
|ацидиметрии
~Для количественного определения … используют метод прямой комплексонометрии в среде аммиачного буферного раствора (рН 9.5-10.0), индикатор эриохром черный.
|магния сульфата
|висмута нитрата основного
|меди сульфата
| алюминия гидроксида
|серебра нитрата
~Динатриевая соль этилендиаминотетрауксусной кислоты (ЭДТА) используется в качестве титранта для количественного определения кальция хлорида методом … .
|комплексонометрии
|аргентометрии
|перманганатометрии
| нейтрализции
|йодатометрии
~При количественном определении натрия тетрабората ацидиметрическим методом по приведенной реакции используют индикатор … .
Na2B4O7 + 2HCl + 5H2O → 2NaCl + 4H3BO3
|метиловый оранжевый
|метиловый красный
|фенолфталеин
|кислотный хром черный
|тропеолин 00
~Идентификацию стабилизатора - ацетанилида в растворе пероксида водорода проводят по реакции образования … .
| азокрасителя
| индофенола
| основания Шиффа
| оксима
| ауринового красителя
~Определение степени дисперсности устанавливают при контроле качества... .
| бария сульфата
| цинка сульфата
| магния сульфата
| железа сульфата
| кальция хлорида
~Натрия тиосульфат с серебра нитратом по нижеприведенной реакции образует … .
Na2S2O3 + 2AgNO3 изб.→ Ag2S2O3
Ag2S2O3 → Ag2SO3 + S
Ag2SO3 + S + H2O → Ag2S + H2SO4
| белый осадок, переходящий последовательно в желтый, бурый, черный
| желтый осадок
| черный осадок, с последующим выделением пузырьков газа
| белый аморфный осадок
| обильное выделение пузырьков газа с характерным запахом
~В своем составе не содержит кристаллизационную воду … .
| бария сульфат
| цинка сульфат
| магния сульфат
| железа сульфат
| кальция хлорид
~Количественное определение натрия тиосульфата по нормативной документации проводят методом … .
| прямой йодометрии
| комплексонометрии
| нитритометрии
| аргентометрии по Фольгарду
| обратной ацидиметрии
~Приведенная ниже реакция лежит в основе … натрия тиосульфата.
2Na2S2O3 + I2 → Na2S4O6 + 2NaI
| количественного определения
| анализа чистоты
| идентификации
| определения стабильности
| определения растворимости
~Приведенная ниже реакция лежит в основе … кальция хлорида.
Ca2+ + (NH4)2 C2O4
CaC2O4 + 2NH4+
| идентификации
| анализа чистоты
| количественного определения
| анализа стабильности
| определения растворимости
~… очень легко растворим в воде, вызывает при этом сильное охлаждение раствора, легко растворим в 95% спирте.
|кальция хлорид
|магния сульфат
|цинка сульфат
|бария сульфат
|натрия хлорид
~Образующийся в результате приведенной реакции цинка сульфид представляет собой …осадок.
Zn2+ + Na2S → ZnS↓ + 2Na+
|белый, нерастворимый в кислоте уксусной, легко растворимый в кислоте хлороводородной
|черный творожистый, легко растворимый в растворе аммиака
|ярко-желтый творожистый, нерастворимый в растворе аммиака
|черный кристаллический, нерастворимый в кислоте хлороводородной
|белый рыхлый аморфный
~Образующийся в результате приведенной реакции висмута сульфид представляет собой …осадок.
2Bi3+ + 3Na2S → Bi2S3↓ + 3K+
| коричнево-черный, растворимый в кислоте азотной конц.
| черный творожистый, легко растворимый в растворе аммиака
| белый творожистый, нерастворимый в растворе аммиака
| черный кристаллический, нерастворимый в кислоте азотной
| белый рыхлый аморфный
~Висмута нитрат основной с калия иодидом по нижеприведенной реакции образует … осадок.
Bi3+ + 3KI → BiI3↓ + 3K+
K[BiI4]
|черный, растворимый в избытке калия иодида с образованием желто-оранжевого комплекса
|белый, меняющий цвет до желто-оранжевого
|голубой, нерастворимый в растворе калия иодида
|красный кристаллический, нерастворимый в кислоте азотной
|белый рыхлый аморфный осадок, растворимый в калия иодиде
~Для количественного определения … используют метод прямой комплексонометрии при рН=2-3, индикатор пирокатехиновый фиолетовый.
|висмута нитрата основного
|цинка сульфата
|кальция хлорида
|магния сульфата
|меди сульфата
~Описание лекарственного препарата «Бесцветные прозрачные кристаллы в виде пластинок или белых цилиндрических палочек, без запаха, под действием света темнеет» соответствует … .
|серебра нитрату
|железа сульфату
|кальцию хлориду
|магнию сульфату
|меди сульфату
~Приведенная ниже реакция образования серебряного зеркала используется для … в препарате серебра нитрат.
AgNO3 + H-COH
Ag↓ + HCOONH4 + 3NH3 + H2O
|идентификации ионов серебра
|количественного определения
|анализа чистоты
|определения стабильности
|идентификации нитрат-ионов
~При анализе бария сульфата для рентгеноскопии ион бария идентифицируют по окрашиванию пламени горелки в … цвет.
| желто-зеленый
| фиолетовый
| кирпично-красный
| зеленый
| оранжевый
~При прокаливании цинка окиси с нитратом кобальта по нижеприведенной реакции образуется … .
![]()
| ярко-зеленый плав «зелени Ринмана»
| фиолетовый осадок
| кирпично-красное окрашивание
| желтый осадок
| аморфный осадок белого цвета
~При неправильном хранении … теряет кристаллизационную воду.
| цинка сульфат
| бария сульфат
| натрия сульфат
| калия хлорид
| натрия хлорид
~Идентификацию ионов алюминия в алюминия гидроксиде проводят по реакции пиролиза с кобальта нитратом по образованию … .
| синего плава (Тенаровой сини)
| желтых кристаллов
| фиолетового осадка
| кирпично-красного окрашивания
| ярко-зеленого плава «Зелени Ринмана»
~ Гипсу соответствует химическая формула … .
| 2 CaSO4▪H2O
| CaSO4
| CaCl2▪6H2O
| MgSO4▪7H2O
| ZnSO4▪7H2O
~При анализе меди сульфата ион меди идентифицируют по окрашиванию пламени горелки в … цвет в присутствии кислоты хлороводородной.
| зеленый
| желтый
| кирпично-красный
| фиолетовый
| оранжевый
~Реакцию с раствором аммиака с образованием аммиакатов темно-синего цвета, растворимых в избытке реактива используют для идентификации … .
| меди сульфата
| натрия тетрабората
| платины
| железа сульфата
| бария сульфата
~При взаимодействии сульфата меди с раствором аммиака по приведенной ниже реакции образуются … .

| аммиакаты темно-синего цвета
| кристаллы желтого цвета
| комплексные соединения черного цвета, растворимые в избытке реактива
| масляные пятна
| прозрачные кристаллы
~Для идентификации препаратов цинка используют реакцию образования цинка сульфида в виде …осадка.
![]()
| белого, легко растворимого в кислоте хлороводородной
| черного творожистого, легко растворимого в растворе аммиака (10%)
| ярко-желтого творожистого, нерастворимого в растворе аммиака (10%)
|черного кристаллического, нерастворимого в кислоте хлороводородной
| белого рыхлого аморфного
~Приведенная ниже реакция восстановления меди используется для … в препарате меди сульфата.
![]()
|идентификации ионов меди
|количественного определения
|анализа чистоты
|определения стабильности
|идентификации сульфат-ионов
~Описание лекарственного препарата «Прозрачные кристаллы светло-зеленого цвета или кристаллический бледно-зеленый порошок, выветривающийся на воздухе» соответствует … .
|железа сульфату
|натрия тиосульфату
|кальцию хлориду
|магнию сульфату
|цинку сульфату
~При взаимодействии железа сульфата с раствором гексацианоферрата (III) калия по нижеприведенной реакции образуется осадок … .
![]()
|турнбулевой сини, нерастворимый в кислотах
|
Из за большого объема этот материал размещен на нескольких страницах:
1 2 3 4 5 6 7 8 9 10 11 12 13 14 15 |



