Роль среды в катионной полимеризации можно проиллюстрировать следующим примером. При взаимодействии трифторуксусной кислоты со стиролом процесс может протекать по двум направлениям.
При введении CF3COOH в жидкий стирол (малополярное вещество – направление 1) , противоион сразу же присоединяется к карбкатиону, образуя сложноэфирный аддукт. При медленном введении стирола в жидкую CF3COOH (высокополярное вещество – направление 2), ионная пара сольватирована и карбкатион «успевает» присоединить n молекул стирола с образованием полимера.

Реакция протекает по направлению 1, когда взаимодействие между катионом и анионом сильное.
Кислоты Льюиса
Рассмотрим реакцию на примере получения полиизобутилена.
Мономером является изобутилен:
![]()
Рост цепи протекает следующим образом:

Ониевые соли
Ониевые соли R3O+X-, R4N+X - являются активными центрами полимеризации гетероциклических мономеров и могут использоваться как инициаторы их полимеризации. Соли арилиодония R2I+X - могут служить инициаторами катионной фотополимеризации, генерируя в процессе фотораспада сильную протонную кислоту:
полимеризация
9.3.2. Реакция обрыва цепи в катионной полимеризации
В радикальной полимеризации имеет место бимолекулярный обрыв, в ионной полимеризации происходит чаще всего мономолекулярный обрыв:

Обрыв может происходить из-за взаимодействия карбкатиона с противоионом:


Такие реакции приводят к выделению исходного катализатора (кислоты Льюиса). При наличии в системе сокатализатора каталитический комплекс восстанавливается, и процесс катионной полимеризации продолжается.
Роль сокатализатора могут играть концевые группы полимера. Рост той же цепи возобновиться и реакция может идти по механизму «живых цепей».
1. «обрыв» цепи

рост цепи
2. Реакции передачи цепи, также как и реакции роста, происходят по механизму электрофильной атаки:

В ряду ароматических растворителей активными в реакциях передачи цепи будут соединения с электронодонорными заместителями (толуол, ксилол) и не активны соединения с электроноакцепторными заместителями (нитробензол).
Для реакций катионной полимеризации, в которых образуются макромолекулы, содержащие гетероатомы в цепях (O, S, N), т. е. при полимеризации кратных связей C=O, C=S и гетероциклов имеет место передача цепи на макромолекулы (передача цепи с разрывом).

При этом происходит химическое «перемешивание» макромолекул, приводящее к изменению как молекулярных масс, так и состава.
Кроме того, протекают реакции передачи цепи на растворитель и на мономер.
9.3.3. Кинетика катионной полимеризации
Скорость инициирования зависит от концентрации инициатора:
(9.3.3.1)
Скорость роста цепи пропорциональна концентрации активного карбкатиона и мономера:
(9.3.3.2)
Обрыв цепи описывается уравнением мономолекулярной реакции по отношению к концентрации активных центров:
(9.3.3.3)
В стационарном режиме полимеризации скорость обрыва можно принять равной скорости инициирования, т. е. v0=vи.
Выражение для скорости полимеризации будет иметь следующий вид:
(9.3.3.4)
Выражение для степени полимеризации принимает следующий вид:
(9.3.3.5)
Или, преобразуя, получим:
(9.3.3.6)
Получаем, что степень полимеризации, в отличие от процесса радикальной полимеризации, не зависит от концентрации инициатора.
Энергия активации зависит от энергий активации стадий процесса:
Еакт=Еи+Ер- Е0 (9.3.3.7)
Е0 в процессе ионной полимеризации значительно выше, чем в процессе радикальной полимеризации, из-за этого энергия активации в целом может иметь отрицательное значение, поэтому для таких реакций может быть характерен отрицательный температурный коэффициент.
9.3.4. Влияние природы среды
Чем больше полярность среды, тем выше степень разделения ионов и выше скорость процесса.
В таблице 9.3.4.1. отражено влияние различных сред на скорость протекания полимеризации α-метилстирола под действием системы SnCl4•H2O:
Таблица 9.3.4.1.
Влияние различных сред на скорость протекания полимеризации α-метилстирола под действием SnCl4•H2O
Растворитель | Диэлектрическая проницаемость среды, ε | Относительная скорость полимеризации |
Циклогексан | 1,9 | 1 |
Дихлорэтан | 10 | 2,6 |
Нитроэтан | 28 | 16,3 |
Нитробензол | 36 | 120 |
Таким образом, среда является эффективным регулятором процесса ионной полимеризации.
Среди важнейших полимеров, получаемых с помощью катионной полимеризации, можно выделить полиизобутилен (благодаря плохой газопроницаемости этого полимера, его часто применяют в производстве различных камер) и бутилкаучук, а также сополимеры триоксана и этиленоксида, поливинилизобутиловый эфир.
Вопросы для самостоятельной проработки:
1. Дайте определение ионной полимеризации. Назовите ее общие черты с радикальной полимеризацией.
2. Какие особенности характерны для процессов ионной полимеризации по сравнению с радикальной полимеризацией?
3. Назовите мономеры, которые полимеризуются по катионному механизму.
4. Перечислите типы инициаторов (катализаторов) катионной полимеризации. Приведите примеры соответствующих реакций.
5. От чего зависит степень полимеризации при катионной полимеризации?
6. Как влияет природа среды на скорость катионной полимеризации?
Задачи для самостоятельного решения
3. Методы получения и структура основных типов полимеров
3.1. Виды полимеризации. Инициирование и ингибирование полимеризации
Вопросы 1406 – 1407, 1316 – 1319
Раздел № 10. Анионная полимеризация
Анионной полимеризацией называется процесс ионной полимеризации, в которой инициатором является анион.
Общую схему активации мономера анионом можно представить в виде:

или

А - - различные нуклеофилы (чаще всего - основания с различной силой).
10.1. Мономеры, вступающие в процесс анионной полимеризации
Это соединения с кратной связью, имеющие при ней электроноакцепторные заместители:

заместителями могут быть различные группы:


Другие двойные связи также способны раскрываться под действием аниона:



По анионному механизму полимеризуется также ряд циклических мономеров:
1. Циклические оксиды
![]()
2. Лактоны

3. Лактамы



4. N-карбоксиангидриды α-аминокислот

место атаки мономера

|

Заметим, что в случае (3) и (4) отрицательный заряд локализован не на конце растущей цепи, а на депротонированных молекулах мономера (лактама, N-карбоксиангидрида), которые следует определять как «активированные мономеры». В случае (4) после присоединения мономера с раскрытием цикла происходит отщепление молекулы CO2, вследствие чего состав образующегося полимера (полипептида) не соответствует составу исходного мономера. Тем не менее, эту реакцию рассматривают как полимеризацию по цепному механизму.
5. Циклосилоксаны

10.2. Инициаторы анионной полимеризации
1. Слабые основания
H2O, NH3, NR2H
Эти инициаторы способны активизировать ограниченное количество мономеров, способных вступать в реакции анионной полимеризации (например, цианакрилаты).
2. Основания средней силы
К этой группе относятся соединения, имеющие карбоксильную группу, аминогруппу (-NH2), алкоголяты щелочных металлов, гидроксиды щелочных металлов.
Эти инициаторы способны вступать в реакции анионной полимеризации со стиролом, метакрилатами, акрилонитрилом.
3. Сильные основания
Алкилы щелочных или щелочноземельных металлов.
Эти инициаторы способны вступать в реакцию анионной полимеризации даже с изопреном.
Остановимся подробнее на сильных основаниях.
Противоионами могут выступать ионы Li, Na, K, Rb, Cs, Са, Mg, Zn или Al.
Металлорганические соединения этих элементов довольно устойчивы, способны диссоциировать, давая свободные ионы или образуя ионные пары К+Х-:
![]()
В отсутствие ингибиторов (см. ниже) реакции гибели нуклеофильных активных центров не происходит, поэтому подобные инициаторы приводят к образованию т. н. "живых цепей".
Часто в качестве инициатора анионной полимеризации используют бутиллитий - С4H9Li.
Возможно использовать в качестве возбудителей щелочные и щелочно-земельные металлы. Такая возможность обусловлена тем, что атомы металлов легко отщепляют электроны, образуя стабильные частицы (ионы):
![]()
В качестве акцептора электрона могут выступать аммиак, ароматические соединения, а также непосредственно мономеры. Например, натрий в бескислородном растворителе с нафталином образует натрийнафталиновый комплекс с голубой окраской:

Этот комплекс легко отдает электрон мономеру, давая соответствующий анион-радикал M∙-, последние быстро рекомбинируют, образуя дианионы:
2М∙- → - ММ-
При участии дианионов цепь растет в оба конца.
В случае бутадиена реакцию можно записать следующим образом:

Видно, что при инициировании щелочными металлами образование металлорганических соединений происходит непосредственно в реакционной системе и при этом образуются дианионы, способные вести дальнейшее присоединение молекул мономера в обоих направлениях.
Можно использовать также для полимеризации трианионы, тетраанионы, полианионы, при этом образуются звездообразные макромолекулы с тремя, четырьмя и более лучами.
При замене ионы металла на ионы водорода, т. е. при реакции с соединениями, содержащими подвижный протон, образуется ковалентная связь С–Н и реакция прекращается.
Существуют основания, не имеющие заряда, но при их реакции с мономером заряд образуется. Примером может являться реакция образования бетаинов при инициировании триалкилфосфином:

Рассмотрим влияние инициаторов анионной полимеризации на различные циклические мономеры.

- этиленоксид легко полимеризуется с большинством инициаторов анионной полимеризации (RO-, HO-, R-, -COO-, и т. д.), по механизму «живых цепей» образуя полимер с достаточно узким ММР (
), степень полимеризации определяется как отношение концентрации мономера в системе к концентрации инициатора:
(10.2.1)
Также хорошо вступает в реакцию пропиленоксид. Можно получать этим методом двух и трехблочные сополимеры полиоксиэтилена и полиоксипропилена с различными значениями ГЛБ (ГЛБ определяет состав полученного сополимера).
Этим методом можно получать полиэтиленсульфид, полипропиленсульфид.
Легко идет реакция с лактоном пропионовой кислоты:

Хорошо также полимеризуются лактид молочной кислоты (лактон), гексаметилсилоксан.
При реакции с участием N-карбоксиангидридов α-аминокислот можно получать полипептиды:

10.3. Реакции роста цепи
Реакция роста цепи может протекать с участием всех форм существования активных центров (ассоциаты металлорганических соединений (МОС) ↔ мономерная форма МОС ↔ контактные ионные пары ↔ сольватно-разделенные ионные пары ↔ свободные ионы). Отсутствие гибели активных центров позволяет определить вклад каждой из форм активного центра в суммарную скорость роста цепи. Так при полимеризации стирола константа скорости роста с участием свободного иона составляет примерно 104-105 л•моль/с (для сравнения константа скорости на ионных парах и в радикальной полимеризации составляет примерно 102 л•моль/с, т. е. свободный ион значительно активнее, чем ионная пара или свободный радикал). Поэтому даже при низких концентрациях свободных ионов их вклад в реакцию роста может быть значительным.
10.4. Реакции обрыва и передачи цепи
Противоионами в анионной полимеризации являются химически стабильные катионы металлов. Поэтому характерные реакции обрыва и передачи цепи связаны с реакциями анионов роста цепи с какими-либо соединениями (растворителями, примесями, функциональными группами в мономере, например,
,
,
и т. д.).



Образующиеся анионы гораздо менее активны по сравнению с карбанионами, полимеризация останавливается. Также эти процессы можно использовать для введения в макромолекулы определенных концевых групп.
В некоторых случаях, например, при полимеризации акриламида может происходить изомеризация мономера (благодаря подвижному атому водорода при атоме азота):

Вопросы для самостоятельной проработки:
1. Приведите примеры мономеров, которые полимеризуются по анионному механизму.
2. Какие инициаторы применяются в анионной полимеризации?
3. Как определяется степень полимеризации при анионном механизме полимеризации по механизму «живых» цепей?
4. Охарактеризуйте реакцию роста цепи при анионной полимеризации
5. Каким образом протекают реакции обрыва и передачи цепи при анионной полимеризации?
Задачи для самостоятельного решения
3. Методы получения и структура основных типов полимеров
3.1. Виды полимеризации. Инициирование и ингибирование полимеризации
Вопрос 1319
Раздел №11. Координационно-ионная полимеризация. Стереорегулирование.
Существует ряд элементоорганических соединений, которые трудно однозначно классифицировать как возбудителей катионной или анионной полимеризации. К таким соединениям относят вещества, являющиеся производными переходных металлов, в том числе и тех, которые относят к кислотам Льюиса.
В качестве примера можно привести такие соединения, как тригалогениды алюминия (трихлорид, трибромид алюминия), триалкилалюминиевые соединения, алкилированные или галогенпроизводные титана, цинка и некоторых других элементов. При последовательном замещении галоида на алкильную группу мы переходим от классических катионных к анионным возбудителям.
Все указанные соединения в принципе могут инициировать полимеризацию:
![]()
Еще более сложной оказывается картина в случае соединений тяжелых переходных металлов.
На самом деле полимеризация проходит в 2 этапа:
· На первой стадии протекает координация мономера с противоионом, когда и происходит активация мономера
· Затем происходит присоединение мономера:

Таким образом, катионные и анионные процессы как бы объединяются в координационно-ионном процессе. Некоторые мономеры в присутствии координационно-ионных катализаторов способны вступать в реакции полимеризации, тогда как в процессах обычной катионной или анионной полимеризации они не полимеризуются. В этих случаях часто реализуется стереорегулирование в процессе полимеризации.
Стереорегулированием называется процесс направленного синтеза полимеров определенного пространственного строения.
Рассмотрим возможные продукты полимеризации 2-метил-1,4-бутадиена (изопрена).
При полимеризации изопрена (и бутадиена) возможно образование ряда структур:
· т. к. присоединение молекул мономера может происходить при раскрытии двойной связи между атомами углерода 1 и 2, при раскрытии между атомами 3 и 4 или же при раскрытии обеих двойных связей с образованием одной новой двойной связи между атомами 2 и 3 молекулы, то могут образовываться продукты 1,2-, 3,4- и 1,4-присоединения соответственно;
· в зависимости от типа соединения ("голова-хвост-голова-хвост" или "голова-голова-хвост-хвост") будет образовываться ряд различных продуктов реакции из одного и того же мономера;
· если присоединение проходит по типу 1,4-раскрытия связей, то будет иметь место еще и "цис-транс» - изомерия;
· в соответствии с возможными различными расположениями заместителей возможно образование изо-, синдио - и атактических структур.
Таким образом, возникает проблема направленного синтеза структур с определенным пространственным строением.
Синтез полимера с определенным стереостроением является отдельной задачей для каждого полимера. Т. е. для каждого вида синтезируемого полимера из данного мономера (или нескольких сомономеров) можно лишь примерно наметить пути его возможных синтезов. Часто методы синтезов полимера с тем или иным стереостроением определяются эмпирически. Для хорошо изученных полимеров ряд методов уже разработан. На основании базы разработанных методов синтезов различных полимеров и теоретических соображений можно выделить лишь общие рекомендации, которые могут пригодиться при синтезе нового полимера.
Приведем примеры, иллюстрирующие влияние различных факторов при получении конкретных полимеров.
Так, использование эффектов комплексообразования с противоионами позволяет получать регулярные структуры из-за образования определенного пространственного расположения мономеров вокруг противоиона:
Влияние комплексообразующей способности противоиона на стереоспецифичность реакции роста можно проиллюстрировать данными по микроструктуре полимеров изопрена, полученными при полимеризации в присутствии ряда щелочных металлов.
Таблица 11.1.
Микроструктура полимеров изопрена, полученных в различных условиях.

Приведенные данные показывают, что стереоспецифический эффект наблюдается только при полимеризации изопрена в углеводородной среде на литиевом катализаторе. Этот эффект связан с относительно высокой склонностью иона лития к образованию координационных связей, что отличает его от ионов Na, K и Rb.
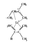
Переходный комплекс в реакции роста может быть представлен следующей схемой:

При проведении реакции в растворителях, способных образовывать более прочные комплексы с литием, чем мономер, предварительная координация присоединяющегося мономера оказывается невозможной и стереоспецифический эффект пропадает. Природа растворителя оказывает существенное влияние на структуру получаемых полимеров и в случае других координационно-ионных процессов.
Если проводим анионную полимеризацию в полярном растворителе (например, тетрагидрофуране) с помощью алкилов лития или натрия, то получим атактические структуры в основном с 1,2-присоединением. Проведение этой же полимеризации в неполярном растворителе приводит к образованию полибутадиена с 1,4-присоединением. При полимеризации изопрена в тех же условиях получаются 1,4-цис-полиизопрен. Возможность стереорегулирования объясняется тем, что во втором случае существует ионный ассоциат, не сольватированный неполярным растворителем, димеры или более сложные n-меры (тетрамеры, гексамеры, и т. д.):

Для выяснения деталей механизма стереорегулирования в качестве мономера был выбран эфир сорбиновой кислоты.
Для введения хиральности используют асимметрические лиганды (R*Li). Асимметрический лиганд R* инициатора не должен влиять на процесс присоединения следующих мономеров по мере роста цепи:


Однако, в результате полимеризации образуется не только стереорегулярные 1,4-цис полимеры, но и оптически активные полимеры. Это указывает на наличие хиральной индукции от противоиона R*Li. Последнее можно объяснять влиянием противоиона в ионном ассоциате на стереохимию присоединения молекул мономера к концу растущей цепи. Активный R*Li индуцирует присоединяющиеся к растущей цепи мономеры определенным образом и создает оптическую активность у получаемого полимера.
Так, варьируя природу алкильной группы в R*Li можно получать 1,4-изотактические структуры, рацемат или один из оптических изомеров.
Методом полимеризации можно также осуществлять разделение рацематов, т. к. при наличии оптически активного сокатализатора в реакцию вступает лишь один из мономеров.
(например,
, R или S стереоизомер).
Катализаторы Циглера-Натта
Для стереорегулирования наиболее эффективными оказались катализаторы, названные катализаторами Циглера-Натта (по именам открывших и исследовавших их ученых).
Эти катализаторы представляют собой смеси ряда металлоорганических соединений (алюминийсодержащих, магнийсодержащих, цинксодержащих и некоторых других) с хлоридами некоторых переходных элементов (используются соединения d-элементов).
Наиболее известной системой является AlR3·TiCl3, где на поверхности кристалла TiCl3 образуется его комплекс (соединение) с AlR3, который является активным центром полимеризации. В случае пропилена (наиболее практически важный случай) можно получить изотактический полипропилен. Механизм процесса можно представить схемой: 
Пропилен полимеризуется с высокими скоростями с образованием изотактического полипропилена. По такому же механизму образуется линейный высокомолекулярный полиэтилен низкого давления.
Было обнаружено, что катализаторы Циглера-Натта позволяют получать целый ряд стереорегулярных полимеров. Один и тот же мономер в присутствии разных катализаторов полимеризуется с образованием различных продуктов. Например, при использовании разных катализаторов при полимеризации бутадиена можно наблюдать следующую картину:
Таблица 11.2
Строение бутадиена при использовании различных катализаторов
Катализатор | Содержание изомеров, % масс. | |||
Цис- | Транс- | 1,2- | 3,4- | |
AlR3-TiCl4 | 96 | - | 0 | 4 |
AlR3-Ti(OR)4 | 0 | 100 | 0 | 0 |
AlR3-V(AсAс)3 (ацетилацетонат) | 0 | 0 | 0 | ~100 |
Т. е. варьируя структуру катализатора, можно получать полибутадиен различного строения.
Найдены и другие координационно-ионные катализаторы, позволяющие получать стереорегулярные полимеры. Примером могут быть соединения Ni, образующие π-комплексы с двойными связями диена и концом растущей цепи (π-аллильные комплексы).

Специальным видом координационно-ионной полимеризации следует считать реакции, катализируемые соединениями вольфрама и некоторых других элементов. Эти соединения оказались активными в реакциях метатезиса олефинов. В случае циклоолефинов они вызывают полимеризацию с образованием полимеров, сохраняющих степень ненасыщенности исходных циклических мономеров. Это означает, что под действием катализатора рвутся сразу две связи
.

Предполагается, что активными центрами являются стабилизированные комплексообразованием карбены.

Вопросы для самостоятельной проработки:
1. Какие соединения являются возбудителями координационно-ионной полимеризации?
2. Возможно ли получение структур с определенным пространственным строением методом координационно-ионной полимеризации?
3. Какие катализаторы относятся к катализаторам Циглера-Натта? В чем их особенность?
Задачи для самостоятельного решения
|
Из за большого объема этот материал размещен на нескольких страницах:
1 2 3 4 5 6 7 8 9 10 |



