На правах рукописи
ОГАЙ МАРИНА АЛЕКСЕЕВНА
ЭКСПЕРИМЕНТАЛЬНО-ТЕОРЕТИЧЕСКОЕ ОБОСНОВАНИЕ СОСТАВА И ТЕХНОЛОГИИ ОРИГИНАЛЬНЫХ ЛЕКАРСТВЕННЫХ ФОРМ ДЛЯ КОРРЕКЦИИ САХАРНОГО ДИАБЕТА И ЕГО ОСЛОЖНЕНИЙ ПРИ МЕТАБОЛИЧЕСКОМ СИНДРОМЕ
14.04.01 – технология получения лекарств
АВТОРЕФЕРАТ
диссертации на соискание ученой степени доктора фармацевтических наук
Пятигорск - 2012
Диссертационная работа выполнена в Государственном бюджетном образовательном учреждении высшего профессионального образования «Пятигорская государственная фармацевтическая академия» Министерства здравоохранения и социального развития Российской Федерации, Государственном бюджетном образовательном учреждении высшего профессионального образования «Уральская государственная медицинская академия» Министерства здравоохранения и социального развития Российской Федерации, Государственном бюджетном образовательном учреждении высшего профессионального образования «Омская государственная медицинская академия» Министерства здравоохранения и социального развития Российской Федерации
Научный консультант: | доктор фармацевтических наук, профессор
|
Официальные оппоненты: | доктор фармацевтических наук, доцент
доктор фармацевтических наук, профессор
доктор медицинских наук, профессор, Заслуженный деятель науки
|
Ведущая организация: |
ГБОУ ВПО Казанский государственный медицинский университет Минздравсоцразвития России |
Защита состоится «____»_________ 2012 года в ____ часов на заседании Диссертационного совета Д 208.069.01 при ГБОУ ВПО Пятигорская ГФА Минздравсоцразвития России ( Ставропольский край, г. Пятигорск, пр. Калинина, 11)
С диссертацией можно ознакомиться в библиотеке ГБОУ ВПО Пятигорская ГФА Минздравсоцразвития России ( Ставропольский край, г. Пятигорск, пр. Калинина, 11)
Автореферат разослан « ____» __________ 2011 г.
Учёный секретарь диссертационного совета
Общая характеристика работы
Актуальность проблемы. Одной из актуальных проблем здравоохранения является лечение сахарного диабета. Сахарный диабет – сложное системное заболевание с комплексом гормонально-метаболических (обменных) изменений, которые в конечном итоге могут привести к поздним диабетическим осложнениям: развитию инфаркта миокарда, инсульта, тяжелым поражениям сосудов сетчатки глаза, конечностей, почек и других систем. Это ставит диабет в ранг острейших медико-социальных проблем, требующих неотложного решения.
Число больных сахарным диабетом во всех экономически развитых странах неуклонно растет. По данным различных авторов, им больны от 1 до 6% населения развитых стран. Количество вновь диагностированных случаев каждый год составляет 6 - 10% от общего числа диабетиков. Подавляющее большинство больных (около 85%) страдает инсулиннезависимым (II тип) сахарным диабетом.
Однако гормонально-метаболические изменения, вызванные сахарным диабетом, являются ещё более сложными. Эти последствия объединяются общим названием – метаболический синдром (МС), который включает резистентность к инсулину, абдоминальное ожирение, артериальную гипертензию, дислипидемию, ишемическую болезнь сердца и служат проявлением патологического состояния - «синдрома Х» или «смертельного квартета».
Это подтверждается работами ряда исследователей, в частности G. Reaven, который показал тесную связь абдоминального ожирения с инсулинорезистентностью, другими гормональными и метаболическими нарушениями, являющимися в большинстве своем факторами риска развития сахарного диабета II типа и атеросклеротических заболеваний, а также установил, что сахарный диабет является выраженным признаком метаболического синдрома.
В связи с этим существует актуальная проблема комплексного лечения метаболического синдрома.
На наш взгляд, такой комплексный подход требует разработки лекарственных форм, прежде всего, влияющих на гипергликемию, липидный обмен и «диабетическую стопу». Возможность создания таких лекарственных препаратов не всегда реализуется из-за отсутствия рациональных и эффективных технологий.
Так, несомненно, требуется разработка новой лекарственной формы инсулина, не требующей инъекционного введения.
Для снижения содержания глюкозы в крови эффективным и комфортным, на наш взгляд, является суббукальное введение инсулина. В настоящее время этот путь введения используется сравнительно редко, а соответствующие лекарственные формы практически отсутствуют на отечественном фармацевтическом рынке. Поэтому создание оптимальной суббукальной лекарственной формы инсулина является своевременным.
Существует также выраженная необходимость дозированного и постоянного введения лекарственных средств, активно влияющих на уровень содержания липидов в крови.
Лечение МС не может быть успешным при отсутствии средств, влияющих на синдром «диабетическая стопа».
До настоящего времени такая терапия не проводилась и не рассматривалась из-за отсутствия комплексного подхода к лечению, и отсутствия отработанных технологических схем производства лекарственных препаратов.
В то время как для решения этих вопросов имеются предпосылки.
В частности, для лечения диабетической стопы, возможно создание фитогелей с определенной направленностью действия.
Для постоянного непрерывного регулирования уровня липидов, целесообразно использовать трансдермальные терапевтические системы (ТТС) с таким лекарственным средством как таурин, который зарекомендовал себя как метаболический, регенерирующий, кардиотонический компонент, играющий значительную роль в липидном обмене. Его присутствие в организме способствует нормализации функции клеточных мембран, оптимизации энергетических и обменных процессов, сохранению электролитного состава цитоплазмы.
Разработка указанных лекарственных форм требует решения специфических технологических вопросов: так, для создания фитогеля предназначенного для лечения «диабетической стопы», необходимо подобрать действующие компоненты, обладающие ранозаживляющими, противомикробными, противовоспалительными свойствами, а также комплекс оптимальных вспомогательных веществ, обеспечивающих необходимые биофармацевтические характеристики данного состава.
Своего технологического решения требует создание оптимальной суббукальной формы инсулина. Несмотря на определенные наработки в этой области, в частности создание липосомальной формы инсулина, этот вопрос пока не решен, требуются новые технологические подходы.
Возможность создания ТТС с таурином до настоящего времени также не рассматривалась, в то время как технология ТТС требует изучения таких вопросов, как подбор состава трансдермальной основы, совместимой с таурином и обеспечивающей определенную, и постоянную скорость его поступления в системный кровоток, и сохраняющую стабильность основного компонента.
Решение этих вопросов в комплексе общей проблемы лечения и профилактики СД позволит в определенной степени обеспечить больных современными лекарственными препаратами, что является актуальной проблемой для фармацевтической науки и практики.
Цель работы. Проведение комплексных научно-обоснованных экспериментальных и теоретических исследований для создания оригинальных эффективных и безопасных лекарственных препаратов для коррекции МС и конкретно СД, разработка методологической схемы их исследования и производства.
Для достижения поставленной цели предусматривалось решение следующих задач:
· Разработать трансдермальную терапевтическую систему (ТТС) с таурином, обосновать её состав, технологию и основные валидационные характеристики процесса; провести биофармацевтические исследования in vitro и in vivo.
· Провести исследования по созданию суббукального липосомального геля с инсулином, предложить его технологическую схему; провести биофармацевтические исследования in vitro и in vivo.
· Разработать технологию лечебно-профилактических гелей, содержащих природные компоненты и индивидуальный лекарственный препарат (таурин), основные валидационные характеристики процесса, провести фармакологические исследования по определению специфической активности предложенных гелей.
· Установить нормы качества для ТТС с таурином: проверить органолептически, провести качественный и количественный анализ, определить плотность таурина в разработанной лекарственной форме, водородный показатель, количество пластырной массы г/м2, сопротивление отслаивания Н/см, скорость трансдермальной подачи через модель биологической мембраны мг/ч·см2, микробиологическую стабильность и сроки годности.
· Разработать нормы качества для суббукального липосомального геля в виде следующих показателей – органолептический контроль, водородный показатель, термо - и коллоидная стабильность, провести его качественный и количественный анализ на содержание инсулина, а также установить показатели микробиологической чистоты и срок годности.
· Провести стандартизацию предложенных гелей, содержащих фитокомпозиции, провести качественный и количественный анализ, установить показатели микробиологической чистоты и срок годности.
· Выполнить фармакологические исследования по изучению гипогликемической и гиполипидемической активности разработанного трансдермального пластыря с таурином, гипогликемической активности суббукального липосомального геля с инсулином, а также изучить ранозаживляющее действие разработанных фитогелей на модели кожной линейной раны, термического ожога в асептических условиях, условиях инфицирования ран золотистым стафилококком, кожной линейной раны на животных, с экспериментальным сахарным диабетом (аллоксановым и стрептозотоциновым), провести тензинометрические и гистологические исследования.
· Обобщить полученные экспериментальные результаты и сформировать методологическую схему создания, исследования и производства лекарственных форм и парафармацевтических средств противодиабетического действия.
· Сформировать подход к обоснованию состава и технологии систем доставки лекарственных средств при лечении СД - одного из признаков МС.
· Составить и апробировать нормативные документы на разработанные лекарственные формы (Лабораторный регламент, ФСП, ТУ и ТИ).
Научная новизна и теоретическая значимость. Проведены исследования по созданию оригинальных лекарственных форм для комплексного лечения метаболического синдрома, и прежде всего сахарного диабета.
Теоретически обоснована необходимость комплексного подхода к лечению в рамках одновременного снижения содержания глюкозы, регулирования уровня липидов и лечения диабетической стопы, для чего найдены новые технологические решения. Обоснован состав и разработана технология суббукального липосомального геля с инсулином. Доказана принципиальная возможность суббукального применения инсулина, обеспечивающего достоверное снижение уровня сахара в крови.
Сконструированы различные варианты трансдермальных терапевтических систем для таурина: изучены биофармацевтические характеристики, которые позволили подтвердить состав и экспериментально доказать возможность и целесообразность предложенной технологии получения. В итоге разработана оптимальная технология ТТС с таурином, установлены валидационные характеристики, предложено рациональное аналитическое сопровождение технологического процесса и впервые установлены нормы качества для ТТС с таурином – количество пластырной массы, сопротивление отслаивания, плотность в лекарственной форме. Показано, что разработанная и полученная по предложенной технологии ТТС обеспечивает непрерывное регулирование содержания липидов в крови.
Проведено изучение ранозаживляющей активности разработанных фитогелей на асептических ранах, на фоне инфицирования стафилококком и аллоксанового, и стрептозотоцинового диабета.
На основе выполненных экспериментов была сконструирована подробная методологическая схема исследований и производства, основными блоками которой являются технологические и критериальные результаты, а также внедренческие материалы. Настоящая схема может быть использована для новых систем доставки лекарственных средств при метаболических нарушениях.
Практическая значимость и внедрение результатов исследований в практику.
На основании выполненных комплексных экспериментальных и теоретических исследований разработана технология новых лекарственных форм, внедрение которых в производство качественно улучшит жизнь больных сахарным диабетом, одного из признаков МС.
Расширен спектр лекарственных форм для профилактики и лечения СД за счет суббукального липосомального геля с инсулином, ТТС с таурином и фитогелей. Показана их фармакологическая эффективность, технологическая целесообразность и перспективность для производства. Подготовлен проект ФСП на производство ТТС с таурином, согласованный с химико-фармацевтический завод» (г. Ирбит). Получен акт апробации технологической схемы производства ТТС с таурином («15» марта 2011г.) в условиях завода на базе химико-фармацевтический завод» (г. Ирбит). Результаты исследований являются предпосылкой для расширения ассортимента отечественных гипогликемических и гиполипидемических средств и включены в перспективный план развития производства. Разработан Лабораторный регламент на производство ТТС с таурином («03» февраля 2011 г.)
Разработаны ТУ и ТИ на получение фитогелей двух составов, получены акты о внедрении на г. Москва («10» февраля 2011 г.).
Составлены информационные письма для последующего внедрения настоящих материалов в учебный процесс. Технологические схемы получения суббукального липосомального геля с инсулином, ТТС с таурином, фитогелей, способы контроля качества, апробированы на кафедре фармацевтической технологии с курсом биотехнологии Башкирского государственного медицинского университета («24» февраля 2011 г.), на кафедре фармацевтической технологии и биотехнологии Волгоградского государственного медицинского университета («10» марта» 2011 г.), на кафедре фармацевтической технологии Саратовского государственного медицинского университета им. («25» марта» 2011 г.), на кафедре фармации Кубанского государственного медицинского университета («15» апреля 2011 г.), на кафедре фармацевтической технологии Смоленской государственной медицинской академии («19» мая» 2011).
Публикации. Основное содержание диссертации представлено в 40 публикациях, из них 15 статей в изданиях, рекомендованных ВАК.
Конкретное участие автора в получении научных результатов. Основная часть исследований (85% общего объема) выполнена лично автором диссертационной работы. В ГБОУ ВПО «Уральская государственная медицинская академия» проведены фармакологические исследования по изучению специфической активности разработанных лекарственных форм (д. м.н., профессор ). Совместно с ГОУ ВПО «Воронежская технологическая академия» проведены реологические исследования фитогелей, ТТС с таурином и суббукального липосомального геля (к. техн. н., доц. каф. процессы и аппараты химических и пищевых производств ). Совместно с ГУ Воронежский региональный центр судебной экспертизы проведены исследования методом ВЭЖХ суббукального липосомального геля (старший эксперт ). В центре коллективного пользования научным оборудованием ГБОУ ВПО «Воронежский государственный университет» проведены исследования ИК-спектров на приборе Vertex-70 фитогеля, ТТС с таурином (ведущий научный сотрудник к. ф.-м. н. ). Изучение липосом было проведено с помощью электронного сканирующего микроскопа JSM – 6380 LV (к. ф.-м. н. ).
Апробация работы. Основные положения диссертационной работы представлены на научных конференциях Пятигорской государственной фармацевтической академии (г. Пятигорск 2007 г., 2011 г.); в секциях «Технология лекарственных препаратов и БАД: поиски и решения» и «Технологическая платформа в современной косметологии» (г. Пятигорск, 2008 г.); на межрегиональной научной конференции «Актуальные вопросы фармации» (г. Владикавказ, 2007 г.); на научной сессии Воронежского государственного университета (г. Воронеж, 2010 г., 2011 г.); на 4-й Всероссийской с международным участием научно-методической конференции «Фармобразование 2010» (г. Воронеж, 2010 г.); на Международной научно-практической конференции «Фитодизайн в современных условиях» (г. Белгород, 2010 г.); на Всероссийской научно-практической интернет-конференции «Современные аспекты разработки и совершенствования состава и технологии лекарственных форм (г. Курск, 2011 г.); на Международной научно-практической конференции «Современный взгляд на болезни внутренних органов и полиморбидность» (г. Белгород, 2011).
Соответствие диссертации паспорту научной специальности. Научные положения диссертации соответствуют формуле специальности 14.04.01 ‑ технология получения лекарств. Результаты проведенного исследования соответствуют области исследования специальности, конкретно пунктам 1, 3, 6 паспорта специальности - технология получения лекарств.
Связь задач исследования с проблемным планом фармацевтических наук. Работа выполнена в соответствии с планом НИР Государственного бюджетного образовательного учреждения высшего профессионального образования «Уральская государственная медицинская академия» Министерства здравоохранения и социального развития Российской Федерации (№ государственной регистрации ).
Положения, выносимые на защиту:
- Результаты создания оригинальных лекарственных форм для коррекции сахарного диабета и его осложнений при метаболическом синдроме: ТТС с таурином, суббукального липосомального геля с инсулином, ранозаживляющих фитогелей.
- Результаты разработки норм качества созданных ТТС с таурином, суббукального липосомального геля с инсулином, ранозаживляющих фитогелей, полученные с использованием технологических, физико-химических, реологических и микробиологических исследований.
- Результаты фармакологических исследований разработанных лекарственных форм: их специфической активности и возможных побочных эффектов.
- Результаты обоснования подхода к выбору новых систем доставки лекарственных средств при СД и его осложнениях.
- Создание общей методологической блок-схемы разработки предложенных лекарственных форм и их производство.
- Итоги внедрения результатов исследований в фармацевтическую практику.
Объем и структура диссертации. Диссертация состоит из введения, 6 глав и заключения. Изложена на 360 стр. машинописного текста, содержит 99 таблиц и 84 рисунка. Список литературы содержит 245 наименований, из них 46 на иностранном языке.
ОСНОВНОЕ СОДЕРЖАНИЕ РАБОТЫ
Разработка состава ТТС, биологические и фармакологические исследования. Разработка норм качества
Для создания трансдермального пластыря с таурином был проведен выбор композиции вспомогательных веществ, для чего были составлены модели ТТС с различными составами матриц (Таблица 1).
Таблица 1 - Составы исследуемых матриц трансдермального пластыря
Компонент, ч | Матрица, № | ||||||||
1 | 2 | 3 | 4 | 5 | 6 | 7 | 8 | ||
ЛС | Таурин | 1,0 | 1,0 | 1,0 | 1,0 | 1,0 | 1,0 | 1,0 | 1,0 |
Пластифи-каторы | Полиэтиленгликоль – 400 (ПЭГ-400) | 1,5 | 1,5 | ||||||
Глицерин | 1,0 | 1,0 | |||||||
Олеиновая кислота | 1,0 | 1,0 |
Продолжение таблицы 1
Пене- тратор | Пропиленгликоль 1,2 | 0,25 | 0,25 | ||||||
Пролон-гатор | Поливинилпирролидон среднемолекулярный К-30 (ПВП К-30) | 2,0 | 2,0 | 2,0 | 2,0 | 2,0 | 2,0 | 2,0 | 2,0 |
Растворитель | Спирт этиловый 95 % | 10,0 | 10,0 | 10,0 | 10,0 | ||||
Вода очищенная + натрия бензоат 0,5% от общей массы | 10,0 | 10,0 | 10,0 | 10,0 |
Анализ по внешнему виду, адгезивным свойствам позволил нам сделать выбор в пользу составов № 1, № 4, № 5, которые и были использованы в дальнейших биофармацевтических исследованиях. Биофармацевтические исследования in vitro выделили матрицу № 1 как наиболее перспективную для дальнейших исследований. Однако вопрос о повышении степени высвобождения таурина из предложенной композиции не был полностью решен. Поэтому нами были продолжены биофармацевтические исследования in vitro на предмет использования пенетратора. Составы исследуемых матриц трансдермального пластыря представлены в таблице 2.
Таблица 2 - Составы исследуемых матриц трансдермального пластыря с пенетратором пропиленгликоль 1,2
Компонент, ч | Матрица, № | ||
9 | 10 | 11 | |
Таурин | 1,0 | 1,0 | 1,0 |
Полиэтиленгликоль – 400 (ПЭГ-400) | 1,5 | 1,5 | 1,5 |
Пропиленгликоль 1,2 | 0,35 | 0,25 | 0,15 |
Поливинилпирролидон среднемолекулярный К-30 (ПВП К-30) | 2,00 | 2,00 | 2,00 |
Спирт этиловый (95 %) | 10,00 | 10,0 | 10,0 |
Для выбора оптимального количества пенетратора были проведены биофармацевтические исследования in vitro путем диализа через модель биологической мембраны. Оказалось, что скорость трансдермальной подачи таурина из матрицы № 9 равна 0,498 – 0,518 мг/ч·см2, из матрицы № 10 – 0,648 – 0,664 мг/ч·см2, из матрицы № 11 – 0,478 – 0,494 мг/ч·см2 соответственно. Степень высвобождения таурина к 48 часу из матрицы № 9 составила 83,3%, из матрицы № 10 – 83,1%, из матрицы № 11 – 71,5% соответственно. Коэффициент использования ЛП в матрице № 9 - 34,3%, в матрице № 10 – 63,9%, в матрице № 11 – 40,1% соответственно. Таким образом, оптимальной оказалась матрица № 10. Аналогичные биофармацевтические исследования были проведены в отношении включения в состав пластыря с таурином пластификатора. В итоге комплексного биофармацевтического исследования in vitro был сформирован окончательный состав трансдермального пластыря с таурином в частях: таурина – 1,0 ч., ПЭГ-400 – 1,5 ч., пропиленгликоля 1, 2 – 0,25 ч., ПВП К-30 – 2,0 ч., спирта этилового 95% - 10,0 ч., для которого была сконструирована технологическая схема производства (рис. 1).
Представленный на рисунке 1 технологический процесс был валидирован на 3-х сериях готового продукта. В качестве критических стадий и параметров производства были взяты: суспендирование таурина в спирте этиловом 95%; растворение ПЭГ-400 и пропиленгликоля 1,2 в спиртовом растворе; растворение ПВП К-30; гомогенизация, сушка после нанесения пластырной массы на пленку-подложку. Что касается контрольных точек технологического процесса, то они определяются по выбранным критериям оценки для ВР-2 – подготовка сырья, для получения пластырной массы (ТП-3), получение ТТС (ТП-4).


Кт, Кх, Км – контроль технологический, химический и микробиологический соответственно
Рисунок 1 – Технологическая схема получения ТТС с таурином
Качественный анализ таурина в лекарственной форме проводили с помощью инфракрасной спектроскопии в области от 4000 до 400 см-1 на аппарате Vertex-70. Обнаружены характерные полосы поглощения аминогруппы, сульфогруппы алифатических углеводородов, позволившие идентифицировать таурин в соответствии с рисунком 2, таблицей 3).


1 – таурин; 2 – ТТС с таурином.
Рисунок 2 – ИК-спектры таурина и ТТС с таурином
В таблице 3 представлено отнесение характеристических полос поглощения таурина.
Таблица 3 - Отнесение характеристических полос поглощения для субстанции таурина
Полоса, см-1 | Интенсивность | Функциональная группа |
1614 | сильная | -NH2 |
1581 | ||
1214 | средняя | |
1175 | ||
1098 | ||
1033 | ||
845 | средняя | -SO2 |
733 | ||
2920 | сильная | алканы |
2850 | ||
1465 | средняя |
Отнесение характеристических полос поглощения для субстанции таурина, позволило подтвердить его наличие в лекарственной форме.
Количественное определение проводили алкалиметрическим методом.
Оказалось, что содержание таурина в изготовленных ТТС составляет 0,,007 г. Полученные результаты хорошо воспроизводимы, и методика может быть рекомендована для количественного определения таурина в трансдермальном пластыре.
Изучение структурно-механических свойств ТТС проводили на вискозиметре «Реотест-2», результаты определения представлены на рисунке 3.

Рисунок 3 – Кривая зависимости динамической вязкости пластырной массы ТТС с таурином от скорости сдвига
При этом механическая стабильность составила 1,36, что свидетельствует о возможности восстановления структуры пластыря.
Сопротивление отслаивания пластыря на разрывной машине РМИ-5 составило 0,88 - 1,16 Н/см (при скорости отрыва 50 мм/мин) и 1,37 – 1,51 Н/см (при скорости 100 мм/мин), что укладывается в оптимальный интервал 0,35-1,75 Н/см для аппликационных лекарственных форм.
Определение величины поверхностного натяжения трансдермальной матрицы с таурином позволило заключить, что технология гетерогенных систем влияет на количественные показатели: использование ультразвука усиливает солюбилизирующий эффект ПЭГ-400 (коэффициент поверхностного натяжения δ снижается на 7,23%).
Проведенные микробиологические исследования подтвердили соответствие разработанного пластыря данным нормативных документов. По показателю микробиологической чистоты разработанная ТТС относится ко 2 категории.
Полученная трансдермальная терапевтическая система с таурином представляла собой полоску пленки-подложки с равномерным слоем пластырной массы прозрачного, слегка с беловатым оттенком цвета, покрытая защитным слоем, с размерами: шириной 4,8 - 5,2 см и длиной 4,8 - 5,2 см. Впервые была измерена плотность таурина в трансдермальном пластыре - 0,04 - 0,06 г/см3. Водородный показатель составил 5,5 - 5,7. Количество пластырной массы - 2120,,1 г/м2. К основным показателям качества трансдермального пластыря отнесен специфический показатель «Скорость трансдермальной подачи через модель биологической мембраны, мг/ч·см2», являющийся главной характеристикой ТТС. Данный показатель составил 0,,664 мг/ч·см2. Установлено, что оптимальное время аппликации одного пластыря составляет 2 суток. Срок годности – 24 месяца.
Биологические исследования проводили на морских свинках в отношении местнораздражающего действия ТТС с таурином, гиперчувствительности кожи к аппликациям, раздражающего действия с помощью теста на хориоаллатоисной оболочке куриного эмбриона (ХЕТ-КАМ тест). Установлено, что местнораздражающее при однократной и многократных аппликациях, а также, раздражающее действие на слизистые оболочки разработанной ТТС отсутствуют.
При гистологической экспертизе срезов кожи морских свинок из 2-х групп животных было обнаружено соответствие норме: сверху кожу покрывают многослойный плоский ороговевающий эпителий.
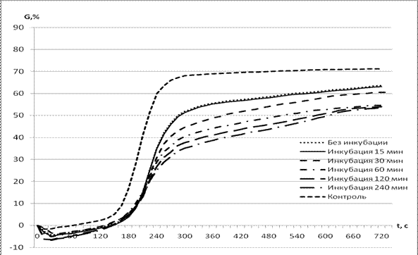
Затем изучили влияние таурина на структурно-функциональные свойства мембран эритроцитов. На основании данных, полученных в эксперименте, был построен график зависимости величины гемолиза эритроцитов от времени инкубации при использовании таурина в концентрации 2,88·10-3 моль/л (Рисунок 4). Установлено, что эритрограмма кислотного гемолиза эритроцитов, модифицированных таурином, имеет классический вид. То есть отчётливо зарегистрирована стадия сферуляции, соответственно имеется латентный период гемолиза, гемолиз основной среднестойкой популяции эритроцитов и выход кривой на плато, характеризующий вовлечение в процесс более стойкой популяции эритроцитов.

Рисунок 4 – Интегральная кривая кислотного гемолиза эритроцитов, модифицированных таурином
Из графика следует, что таурин в концентрации равной 2,88·10-3 моль/л обладает мембраностабилизирующей активностью, которая может быть связана с модификацией последним белковых структур мембран модельных клеток.
Далее проводили изучение специфической активности ТТС с таурином: модель аллоксанового диабета была создана путём внутрибрюшинного введения аллоксана гидрата экспериментальным животным – крысам, в дозе 170 мг/кг. Диабет развился на 4-е сутки после введения препарата. Измерение глюкозы проводили с помощью портативного биохимического анализатора крови модели CardioChek, используя тест – полоски (Таблица 4).
Таблица 4 - Влияние трансдермального пластыря с таурином на содержание глюкозы в крови крыс с экспериментальным аллоксановым диабетом, ммоль/л
| Содержание глюкозы в крови, ммоль/л | |||
Исследуемый объект (n=6) | исходный | на 4 день | на 12 день | на 20 день |
Контроль | 5,93±0,20 | 20,72±0,53 | 19,20±0,50 | 17,20±0,57 |
Таурин рer os 0,025 г. | 5,32±0,34 | 19,68±0,57 p≤0,05* | 17,50±0,58 p≤0,05* | 12,50±0,59 р≤0,05* |
Таурин В ТТС 0,025 г. | 6,25±0,25 | 20,30±0,28 p≥0,05 p1≥0,05 | 17,60±0,48 p≤0,05 p1≥0,05 | 10,90±0,36 p≤0,05* р1≤0,05* |
Примечание: р – достоверность различий по отношению к контролю;
р1 – достоверность различий по отношению к препарату сравнения – таурин;
* - различия статистически значимые
Статистическая обработка результатов исследований проводилась на ПЭВМ типа ВМ РС/АТ Ре с использованием пакета прикладных программ. Проверка гипотезы о нормальности распределения вариационных рядов полученных данных осуществлялась при помощи критерия хи-квадрат (c2) Пирсона на уровне значимости a=0,05.
В контрольной группе животных к 20 дню эксперимента наблюдали незначительное снижение уровня глюкозы в крови по сравнению с 4 днем, что связано с процессом самовосстановления организма животных.
Разработанная лекарственная форма – ТТС с таурином способствует снижению уровня глюкозы в крови экспериментальных животных с аллоксановым сахарным диабетом, оптимальна по реологическим свойствам пластырной массы, степени высвобождения действующего вещества и пролонгированности.
Таким образом, можно считать, что методология разработки лекарственного средства сводится к комплексному подходу при отборе самой действующей композиции, лекарственной формы и вспомогательных веществ, технологических особенностей производства.
Разработка состава липосом, биологические и фармакологические исследования. Разработка норм качества
Для создания основного целевого продукта – суббукального липосомального геля инсулина необходимо было получить соответствующую липосомальную эмульсию. Для этого, прежде всего, проведен выбор оптимального метода получения липосом.
Липосомы получали различными методами (Таблица 5), определяли размеры везикул и уровень включения инсулина в последние с целью выбора оптимального способа получения.
Таблица 5 - Оценка уровня включения инсулина и электронно-микроскопическая характеристик липосом полученных различными методами
Метод получения липосом | Уровень включения, % (М±m) | Характер везикул | Размер липосом, мкм |
Обращение фаз и озвучивания | 67,7±0,5 | БМВ (80%) МЛВ (20%) | 0,15-0,95 0,10-0,75 |
Инжекция | 8,8±0,2 | БМВ | 0,10-0,80 |
Ручное встряхивание | 20±0,5 | МЛВ | 0,25-1,90 |
Примечание: БМВ - большие моноламмелярные везикулы;
МЛВ - мультиламмелярные везикулы.
Основными критериями оценки того или иного метода получения липосом служили: величина липосом, простота и доступность метода. Характеристика липосом, полученных различными методами (при инструментальном увеличении в раз) представлена также в таблице 5.
Полученные результаты показали, что диаметр везикул с иммобилизированным инсулином находился в пределах, стандартных для липосом, полученных методом обращения фаз, и составлял для больших моноламеллярных липосом 0,15-0,95 мкм, а для мультиламеллярных липосом 0,10-0,75 мкм.

БМВ - большие моноламмелярные МЛВ - мультиламмелярные везикулы(0,10-0,75 мкм) везикулы (0,15-0,95 мкм)
Рисунок 5 - Липосомы с инсулином, полученные методом обращения фаз (х80000)
На рисунке 5 представлена микрофотография липосом, полученных методом обращения фаз. В результате окрашивания гидрофобной части Суданом III на микрофотографии четко прослеживаются контуры полученных липосом. Средний размер частиц БМВ 0,15-0,95 и МЛВ 0,10-0,75 мкм.
Для определения количества фиксированного в липосомах инсулина, липосомальные везикулы освобождали от не включившегося материала используя ультрацентрифугирование. По количеству исходного, не включившегося и иммобилизованного в липосомы препарата рассчитывают процент его фиксации в бислойные липидные везикулы методом ВЭЖХ (Рисунок 8). Был рассчитан уровень включения инсулина в полость липосом. Уровень включения составил 67,7%.
В качестве стандарта использовали субстанцию инсулина фирмы «Диосинт » (Рисунок 6, 7).

Рисунок 6 - Типичная хроматограмма стандартного раствора инсулина

Рисунок 7 - Хроматограмма испытуемого раствора инсулина

Рисунок 8 - Степень включения инсулина в липосомы, полученные методом обращения фаз - 67,7% (калибровочный график)
Получение «липосомального молочка» осуществляли в асептических условиях. В производстве липосомального инсулина в качестве антиоксидантов использовали a-токоферола ацетат (из расчета 0,5 мг на 1 г липидов) и включение в состав готового продукта консерванта - натрия бензоата, способствовало длительному сохранению его стабильности.
Таким образом, в результате описанных стадий нами была получена эмульсия липосом, стабилизированная антиоксидантами a-токоферола ацетатом и полиэтиленгликолем. Степень перекисного окисления липидов (ПОЛ) липосом оценивали по содержанию малонового диальдегида (МДА) в тесте с тиобарбитуровой кислотой. На основании проведенного анализа содержание МДА в готовом продукте должно находиться в интервале 5,89 - 6,25 нмоль/л, что показало соответствие их НД.
Дальнейшие исследования заключались в подборе веществ, которые обеспечивали бы высокую степень высвобождения инсулина, способствовали улучшению структурно-механических свойств геля: аэросил, крахмал модифицированный, карбопол-940. Были составлены 3 гелевых композиции (на основе аэросила, крахмала модифицированного, карбопола-940) (Таблица 6).
Таблица 6 - Состав гелевых композиций с липосомальным инсулином
Компоненты геля | Вид основы, в % | ||
Аэросил | Крахмал | Карбопол-940 | |
Липосомальный инсулин | 70,0 | 70,0 | 70,0 |
Пропиленгликоль | 10,0 | 10,0 | 15,0 |
Натрия гидроксид | - | - | 0,3 |
Консервант (натрия бензоат) | 0,3 | 0,3 | 0,3 |
Аэросил | 10,0 | - | - |
Крахмал модифицированный | - | 10,0 | - |
Карбопол-940 | - | - | 10,0 |
Воды очищенной | 9,7 | 9,7 | 4,4 |
На диаграмме представлена степень высвобождения инсулина из различных основ (Рисунок 9).

Рисунок 9 – Диаграмма степени высвобождения действующих веществ из гелей на разных гелевых основах
Наиболее перспективным оказался гель с карбополом-940, редкосшитым сополимером акриловой кислоты и аллиловых эфиров пентаэритрита – практически не всасывающемся через слизистую при суббукальном приеме.
Содержание инсулина в геле проводили методом ВЭЖХ. Для определения количества включенного в липосомы инсулина был построен градуировочный график зависимости по оси Х – содержание инсулина в % (С, %) и по оси Y - площади пика (mAU·s), с содержанием инсулина 10, 15, 20, 25, 35, 50, 75 и 100%.
Технологическая схема производства суббукального липосомального инсулина представлена на рисунке 10.
Центральными технологическими операциями в настоящей схеме являются приготовление эмульсии и стерилизация липосомального комплекса.
Согласно требованиям ГФ-XII микробиологические показатели липосом и приготовленного на их основе суббукального геля относятся к 3 А группе средств.

Кт, Кх – контроль технологический и химический соответственно
Рисунок 10 - Технологическая схема производства суббукального липосомального инсулина
Оценку качества разработанного геля проводили в соответствии с требованиями СанПиН 1.2.681-97.
Были проверены органолептеческие свойства: внешний вид, цвет, запах; водородный показатель составил 5,5 – 6,7, термостабильность и коллоидная стабильность удовлетворяли требованиям, микробиологическая чистота соответствовала категории 3.А. С помощью ВЭЖХ было определено количество инсулина в суббукальном геле сразу после получения (67,7%) и после шести (27,6%), двенадцати (12,5%) месяцев хранения (ГСО инсулина 100 МЕ/мл). Срок годности составил 12 месяцев.
Исследование раздражающего действия суббукального липосомального геля с инсулином при 10-дневной аппликации на слизистую десны, показало, что видимых отличий слизистой десны животных опытной и контрольной группы не отмечено, не выявлено покраснения, отека слизистой и других изменений, указывающих на раздражающее действие.
Фармакологические исследования на фоне экспериментального аллоксанового сахарного диабета (фоновый уровень глюкозы в крови крыс составлял 20,88 – 22,26 ммоль/л) показали, что суббукальное введение инсулина, с помощью шприца-дозатора, или липосом без инсулина не оказывало такого действия на уровень гликемии, как введение геля с липосомальным инсулином.
После суббукального введения липосомального инсулина состояние животных постепенно улучшалось, снижение уровня гликемии отмечалось уже через I ч после применения разработанной лекарственной формы (14,04 – 14,80 ммоль/л) и достигало максимума к 4 ч. (7,85 - 8,21 ммоль/л).
Экспериментальное обоснование технологии фитогелей для профилактики и лечения осложнений метаболического синдрома
Для получения фитогелей, предлагаемых к исследованию для профилактики и лечения диабетической стопы, была сконструирована блок-схема их исследования. Были изучены составы (таблица 7). Комплексные экстракты получали традиционно: в качестве экстрагента использовали 40% этиловый спирт, метод – ремацерации. Коэффициент поглощения для сырья при комплексной экстракции состава 1 равен 1,8, состава 2 – 2,0.
Таблица 7 - Разработанные составы 1 и 2
Состав 1 | Состав 2 |
Спиртоводное извлечение зверобоя: Облепиховое масло: Настойка прополиса (5:3:2) | Таурин: Спиртоводное извлечение донника: Спиртоводное извлечение лавра: Спиртоводное извлечение эхинацеи: Экстракт солодки густой: Сок алоэ (2:2:3:1:1:1) |
Примечание: Компоненты состава 1: лекарственное растительное сырьё из состава 1 (ЛРС - 1) – трава зверобоя продырявленного; прополис и облепиховое масло. Компоненты состава 2: лекарственное растительное сырьё из состава 2 (ЛРС - 2) – трава донника лекарственного, листья лавра благородного, трава эхинацеи пурпурной, густой экстракт солодки голой, сок алоэ, таурин.
В качестве носителей для разрабатываемых гелей двух составов изучали гидрофильные, гидрофобные, гидрофильно-гидрофобные основы.
Полученные в равноценных условиях и по существующим правилам приготовления мазевые композиции с извлечениями по качеству соответствовали требованиям ГФ СССР XI изд. (вып. 2. с. 145).
Извлечения вводили из расчета 10 ч на 100 ч получаемого конечного продукта.
Были составлены 18 гелевых композиций с включением основ, как гидрофильных, так и гидрофобных, а также гидрофильно-гидрофобных. Наиболее значимыми оказались композиции 1, 2, 18, в том числе и по степени высвобождения фенольных соединений и флавоноидов (биофармацевтические исследования).
В результате было установлено, что наибольшую степень высвобождения фенольных соединений и флавоноидов обеспечивают гелевая композиция № 1, 2 и 18.
Для выбора оптимального состава была определена также антимикробная активность всех приготовленных фитогелей. На этом этапе исследования были использованы Staphylococcus aureus, Staphylococcus epidermidis, Shigella sonnei. Установили, что наибольшая активность извлечения 1 и 2 проявляется в случае включения их в состав № 2.
Таким образом, на основании всех проведенных исследований выбрали состав мазевой композиции (основы) № 2.
Следующим этапом наших исследований было определение концентрации извлечений, включенных в оптимальную основу. Определение проводили методом диффузии в агаровый гель. Готовили гели с разной концентрацией извлечений.
Результаты приведены на рисунке 11.

Рисунок 11 – Высвобождаемость фенольных соединений из фитогеля 1 и 2 в агаровый гель
Из графика видно, что оптимальная концентрация составов 1 и 2 в гелях составляет 10%, в то время как мази с концентрацией 15% и 20% незначительно выше по степени фармацевтической доступности.
С целью подтверждения правильности выбора концентрации введенного в гели экстракта по результатам биофармацевтических исследований in vitro были проведены соответствующие микробиологические исследования. Оказалось, что 10% фитогели подавляли рост микроорганизмов аналогично гелям с большей концентрацией. Последующее увеличение концентрации извлечений до 20% в гелях не влияло на степень ингибирования роста микроорганизмов. Таким образом, оптимальной концентрацией является 10% гель.
Следующим этапом было определение реологических параметров гелей, которое проводили на вискозиметре ‘‘Реотест-2’’. Зависимость динамической вязкости от скорости сдвига представлена на рисунках 12 и 13.

Рисунок 12 – Кривая зависимости динамической вязкости от скорости сдвига фитогеля 1

Рисунок 13 – Кривая зависимости динамической вязкости от скорости сдвига фитогеля 2
Механическая стабильность для фитогеля 1 составила 1,36, для фитогеля 2 – 2,21, что свидетельствует о том, что структура фитогелей после разрушения быстро восстанавливается. Картина реограммы течения фитогелей характерна для гелевых основ, обладающих высокой стабильностью при хранении и комфортностью в применении.
Была разработана общая технологическая схема производства гелей (Рисунок 14).
Валидацию проводили на 3-х сериях готового продукта. Вид валидации – перспективная. Выявленные критические стадии и параметры процесса: приготовление основы и сплавление компонентов, гомогенизация при введении в основу комплексных композиций.
Далее определяли микробиологические показатели геля. Оказалось, что разработанные фитогели по показателю микробиологическая чистота соответствует требованиям ГФ-XII и их можно отнести ко 2 категории.
Дальнейшие исследования были посвящены анализу разработанных фитогелей, как качественному, так и количественному.
При проведении качественных реакций на основные группы действующих веществ хроматографически подтверждено присутствие в гелях флавоноидов.
Для подтверждения содержания таурина в разработанном фитогеле 2 использовали инфракрасную спектроскопию (ИК) на оборудовании Vertex 70. Количественное определение суммы флавоноидов в пересчете на рутин проводили спектрофотометрически. Срок годности составил 18 месяцев.

Кт, Кх, Км - контроль технологический, химический и микробиологический соответственно
Рисунок 14 - Технологическая схема производства фитогеля 1 и 2
Изучение ранозаживляющей активности разработанных фитогелей проводили на моделях линейной кожной (таблица 8) и ожоговой ран в различных условиях.
Таблица 8 – Влияние разработанных фитогелей 1 и 2 на время заживления линейной кожной раны у крыс, с экспериментальным аллоксановым диабетом, мм
| Средний линейный размер раны, мм (М±m) | |||||
Иссле- дуемый объект | исходный | на 5 день | на 10 день | на 15 день | на 20 день | на 25 день |
Контроль n=6 | 26,17±1,47 | 19,0±1,41 | 7,67±0,82 | 3,67±0,41 | 3,00±0,32 | 1,30±0,23 |
Левомеколь, n=6 | 24,50±1,05 | 17,83±0,75 р≥0,05 | 6,50±0,84 р≤0,05* | 3,41±0,38 р≥0,05 | 2,08±0,49 р≤0,05* | 0 |
Фитогель 1, n=6 | 25,50±0,45 | 18,50±0,45 р≥0,05 р1≥0,05 | 7,50±0,45 р≥0,05 р1≤0,05* | 1,60±0,09 р≤0,05* р1≤0,05* | 1,25±0,22 р≤0,05* р1≥0,05 | 0 |
Фитогель 2, n=6 | 24,50±0,45 | 19,50±0,45 р≥0,05 р1≤0,05* | 8,50±0,45 р≥0,05 р1≤0,05* | 1,75 ±0,22 р≤0,05* р1≤0,05* | 1,55±0,05 р≤0,05* р1≤0,05* | 0 |
Примечание: р – достоверность различий по отношению к контролю; р1 – достоверность различий по отношению к препарату сравнения – левомеколь; *- различия статистически значимые.
Полное заживление линейных кожных ран наблюдали во всех трех экспериментальных группах к двадцать пятому дню эксперимента, за исключением контрольной группы, где размер раны составил в среднем 1,30 мм даже к 25 дню эксперимента. Тензинометрические и гистологические исследования подтвердили прочность и зрелость образовавшихся рубцов.
Обобщенные результаты всех выше перечисленных исследований нашли свое отражение в методологических схемах (Рисунок 15, 16).


Таким образом, на основании полученных результатов и разработанных алгоритмов был создан информационный модуль исследований по созданию лекарственной формы (Рисунок 15), а также общая методологическая схема создания, исследования и производства оригинальных лекарственных форм для коррекции последствий МС (Рисунок 16).
ВЫВОДЫ
1. Впервые разработаны инновационные лекарственные формы для лечения и профилактики СД: ТТС с таурином и липосомальный суббукальный гель, содержащий инсулин, а также композитные фитогели лечебно-профилактического действия.
2. Для ТТС с таурином выбрана матриксная форма пластыря. Проведены подробные биофармацевтические исследования in vitro по выбору оптимальной композиции вспомогательных веществ и показано, что наиболее рациональной является матрица, содержащая ПЭГ-400 (1,5 ч), пропиленгликоль 1,2 (0,25 ч), ПВП К-30 (2,0 ч), спирт этиловый 95% (10 ч), обеспечивающая пролонгированное высвобождение. Выбран пенетратор для усиления биологической доступности разработанного пластыря – пропиленгликоль 1,2. Установлен состав трансдермального пластыря с таурином, сконструирована его технологическая схема.
3. Определены нормы качества для характеристики трансдермального пластыря: с помощью ИК-спектроскопии и титриметрически. Выявлены характерные для таурина «полосы поглощения» и «полосы поглощения» подтверждающие наличие аминогруппы, сульфогруппы и углеводородной группы в молекуле таурина.
4. Изучены структурно-механические свойства трансдермального пластыря с таурином и показано, что с увеличением градиента скорости сдвига от 3 до 437, 4 с -1 динамическая вязкость структуры снижается с 1,615 до 0,513 Па·с. Определена механическая стабильность пластырной массы, которая составила 1,36. Определены адгезивные свойства пластыря: сопротивление отслаивания трансдермального пластыря с таурином составило 0,88-1,16 Н/см при скорости отрыва 50 мм/мин и 1,37 - 1,51 Н/см при скорости 100 мм/мин. Проведено определение микробиологической чистоты, установлено, что разработанный ТТС с таурином относится ко 2 группе.
5. Выполнены критериальные фармакологические исследования и установлено, что трансдермальный пластырь не вызывает возникновения эритемы, отека кожи животных и, по классификации и , относится к нулевому классу выраженности раздражающих свойств.
Изучена специфическая активность разработанного ТТС с таурином. Доказано, что разработанная лекарственная форма способствует снижению уровня глюкозы в крови экспериментальных животных с аллоксановым диабетом с 20,02 20,58 до 10,54 – 11,26 ммоль/л.
6. Разработан состав суббукального липосомального геля с инсулином. Липосомальная эмульсия получена методом обращения фаз. Выполнены для него необходимые сравнительные технологические и биофармацевтические исследования по выбору композиции: установлены оптимальные стабилизатор-антиоксидант a-токоферола ацетат и полиэтиленгликоль и консервант натрия бензоат. Составлена технологическая схема производства с акцентом на получение липосомальной эмульсии, содержащей лецитин. Доказана оптимальность технологии по методу обращения фаз с ультразвуковой интенсификацией. Методом ВЭЖХ подтверждена целесообразность данного способа.
7. Изучено влияние вспомогательных веществ на структурно-механические свойства суббукального липосомального геля.
Проведено определение микробиологической чистоты, установлено, что разработанный суббукальный липосомальный гель с инсулином относится к 3 А группе средств.
Выполнены фармакологические исследования и установлено, что при 10-дневной аппликации на слизистую десны животных отсутствует раздражающее действие. Изучена специфическая активность разработанной лекарственной формы и показано, что суббукальный гель с липосомальным инсулином снижает уровень глюкозы в крови крыс с экспериментальным аллоксановым диабетом с 20,88 – 22,26 до 7,85 – 8,21 ммоль/л к четвертому часу эксперимента.
8. Разработаны гели двух составов, предназначенные для лечения и профилактики последствий метаболического синдрома – диабетической стопы. Установлены оптимальные технологические условия для получения соответствующих фитокомпозиций. Выбран экстрагент и способ экстракции – ремацерация. Рассчитан коэффициент поглощения сырья для комплексной экстракции: 1,8 – для извлечения 1 и 2,0 – для извлечения 2.
9. Проведены биофармацевтические исследования гелей in vitro в отношении влияния вспомогательных веществ на высвобождение полифенольных соединений. Установлено, что оптимальным является сплав ПЭГ-400 и ПЭО-1500 (1:1). Определены реологические показатели для предложенных гелей.
10. Разработаны нормы качества для оценки фитогелей. Оценены их органолептические свойства. Содержание флавоноидов подтверждено спектрофотометрически, содержание таурина – с помощью ИК-спектроскопии. Проведено определение микробиологической чистоты и, установлено, что разработанные фитогели относятся к 2 категории микробиологической чистоты.
Выполнены фармакологические исследования фитогелей. Определена ранозаживляющая активность разработанных составов, а также проведены тензинометрические и гистологические исследования.
11. Сконструирована общая методологическая блок-схема исследований оригинальных лекарственных форм для лечения и профилактики СД, а также показаны возможные направления их производства. Разработаны проекты ФСП, лабораторный регламент, ТУ и ТИ на созданные лекарственные формы.
12. Обоснован комплексный подход к выбору новых систем доставки лекарственных средств при лечении СД. Данный подход подтвержден экспериментальными исследованиями с помощью известных и оригинальных методик – технологических (определения технологических свойств, конструирование схем производства), аналитических (ВЭЖХ, ИК-спектроскопии), фармакологических (на модели линейной, ожоговой раны в асептических условиях, инфицирования стафилококком, на фоне снижения иммунитета, аллоксанового, стрептозотоцинового сахарного диабета). Разработанный методологический подход позволяет прогнозировать выбор новых систем доставки лекарственных средств и может быть использован в аналогичных исследованиях и производстве.
Список работ, опубликованных по теме диссертации
1. Работы, опубликованные в изданиях из Перечня ВАК РФ
1. Огай, М. А. Разработка и исследование гелей с фитокомпозициями для предупреждения последствий сахарного диабета / , // Известия высш. уч. заведений Сев.-Кавк. регион. – 2007. Спецвып.: Проблемы фармации, фармакологии и рациональной терапии. - С. 99-100.
2. Фармакотехнологические исследования наружных лекарственных препаратов – фитогелей на основе лекарственного растительного сырья для предупреждения последствий сахарного диабета / [и др.] // Человек и его здоровье№ 1. - С.123-126.
3. Определение адгезивных свойств трансдермального пластыря с таурином / [и др.] // Человек и его здоровье, № 3. - С.153-155.
4. Технологические исследования мягких лекарственных форм с таурином и растительными экстрактами / [и др.] // Вестн. Воронеж. гос. ун-та (ВГУ). Сер.: химия, биология, фармация. - 2010. - № 1. - С. 156-160.
5. Огай, М. А. Разработка и технологические исследования лекарственного препарата инсулин в липосомальной форме / , // Науч. ведомости Белгород. гос. ун-та. Сер.: медицина, фармация№– С. 79-84.
6. Идентификация и количественная оценка флавоноидов в комплексных фитопрепаратах / [и др.] // Науч. ведомости Белгород. гос. ун-та. Сер.: медицина, фармация№– С. 85-88.
7. Использование полимерных основ в мазях для лечения и профилактики патологии «диабетическая стопа» (обзор) / [и др.] // Науч. ведомости Белгород. гос. ун-та. Сер.: медицина, фармация№– С. 5-9.
8. Огай, М. А. Разработка и исследование суббукального липосомального геля с инсулином / , , // Науч. ведомости Белгород. гос. ун-та. Сер.: медицина, фармация№– С. 36-40.
9. Фармакологические исследования разработанной трансдермальной терапевтической системы с таурином для коррекции метаболического синдрома / [и др.] // Кубан. науч. мед. вестн. - 2010. - № С. 148-151.
10. Реологические исследования пластырной массы с мексидолом / , , // Науч. ведомости Белгород. гос. ун-та. Сер.: медицина, фармация№ 4 (99). – С. 187-189.
11. Технологические аспекты получения и фармакологические исследования фитогелей для коррекции последствий метаболического синдрома / [и др.] // Науч. ведомости Белгород. гос. ун-та. Сер.: медицина, фармация№ 4 (99). – С. 97-103.
12. Огай, лецитина в мягких лекарственных формах / , , // Научные ведомости Белгород. гос. ун-та. Сер.: медицина, фармация№ 4 (99). – С. 95-102.
13.Антиоксидантный и мембраностабилизирующий эффект таурина / [и др.] // Вестн. Воронеж. гос. ун-та. Сер.: химия, биология, фармация. – 2011. № 1. - С. 186-191.
14. Определение величины поверхностного натяжения трансдермальной матрицы с таурином / [и др.] // Фундаментальные исследования. – 2011. - № 10 (часть 3). – С. 611-614.
15. Огай, М. А. Биофармацевтические исследования разработанного трансдермального пластыря с таурином in vitro и ИК-спектроскопия / , , // Фундаментальные исследования. – 2011. - № 11 (часть 1). – С. 208-211.
2. Работы опубликованные в центральной печати
16. Огай, комплексного растительного препарата и его таблетированных и корригированных лекарственных форм для профилактики и лечения сахарного диабета у больных пожилого возраста / , // Тез. докл. 1 Рос. Съезда геронтологов и гериатров 20-23 июня 1999 г. – Самара: Изд-во «Самарский Дом печати», 1999. – С. 265.
17. Экологически обусловленные заболевания и пути их профилактики через биодобавки к пище / [и др.] // Питание ХХI века: медико-биологические аспекты, пути оптимизации: тез. докл. Междунар. симпоз. 7-9 октября 1999 г. – Владивосток: Изд-во «Дальнаука», 1999. – С. 128-129.
18. Обоснование необходимости корригирования био-добавок к пище и разработка для них оценочных тестов / [и др.] // Парентеральное и энтеральное питание: тез. докл. 3 Междунар. конгр. 18-20 октября 1999 г. - М., 1999. - С. 26.
19. Огай, гипогликемического фитопрепарата / , , // Химия в технологии и медицине: материалы Всерос. науч.-практ. конф. - Махачкала, 2001. - С. 25-26.
20. Разработка корригированных растительных препаратов для профилактики и лечения сахарного диабета / [и др.] // Актуальные проблемы создания новых лекарственных препаратов природного происхождения: материалы 6 междунар. съезда 4-6 июля 2002 г. - СПб, 2002.- С. 114-116.
21. Огай, и исследование адаптогенного фитопрепарата / // Медико-экологические проблемы лиц экстремальных профессий: работоспособность, здоровье, реабилитация и экспертиза профессиональной пригодности: материалы 4 Междунар. науч. практ. конгр. 18-22 окт. 2004 г. - М., 2004. - С. 371.
22. Новый не инсулиновый препарат для внутреннего приема / , , [и др.] // Междунар. журн. приклад. и фундамен. исследования№3. - С. 38-41.
23. Экспресс-анализ биологической активности фитопрепаратов / [и др.] // Пути и формы совершенствования фармацевтического образования. Поиск новых физиологически активных веществ: материалы 4-й Всерос. с междунар. участием науч. – метод. конф. «Фармобразование-2010»: 20-22 апр. 2010 г. в 2 ч. - Воронеж, 2010. - Ч. 2. – С. 277-280.
24. Гистологические исследования линейных кожных ран / [и др.] // Пути и формы совершенствования фармацевтического образования. Поиск новых физиологически активных веществ: материалы 4-й Всерос. с междунар. участием науч. – метод. конф. «Фармобразование-2010»: 20-22 апр. 2010 г. в 2 ч. - Воронеж, 2010. - Ч. 2. – С. 281-284.
25. Огай, влияния трансдермальной формы таурина на уровень глюкозы в крови крыс при экспериментальном аллоксановом диабете / , , // Актуальные вопросы полиморбидной патологии в клинике внутренних болезней: материалы междунар. науч.-практ. конф. 20 мая 2010 г. – Белгород, 2010. – С. 64-65.
26. Фитопрепараты для профилактики и лечения некоторых осложнений сахарного диабета / [и др.] // Фитодизайн в современных условиях: материалы Междунар. науч.-практ. конф. 14-17 июня 2010 г. - Белгород, 2010. – С. 329-331.
27. Огай, и исследование ранозаживляющей активности фитогелей на животных с экспериментальным стрептозотоциновым сахарным диабетом / , , // Фитодизайн в современных условиях: материалы Междунар. науч.-практ. конф. 14-17 июня 2010 г. - Белгород, 2010. – С. 422-425.
28. Огай, аспект разработки гипогликемической и гиполипидемической лекарственной формы / , // Проблемы здоровьесбережения дошкольников, учащихся и студентов. Новые здоровьесберегающие тенденции в фармации и медицине: материалы Всерос. с междунар. участием науч. - практ. конф. 26-27 апр. 2011 г. – Воронеж, 2011. – С. 406-409.
29. Огай, лекарственных форм для комплексного лечения метаболического синдрома / , , // Проблемы здоровьесбережения дошкольников, учащихся и студентов. Новые здоровьесберегающие тенденции в фармации и медицине: материалы Всерос. с междунар. участием науч. - практ. конф. 26-27 апр. 2011 г. – Воронеж, 2011. – С. 409-413.
30. Биофармацевтические исследования мягких наружных лекарственных форм: фитогелей и трансдермального пластыря с таурином / [и др.] // Современные аспекты разработки и совершенствования состава и технологии лекарственных форм: материалы Всерос. науч.-практ. Интернет-конф. с междунар. участием 27 апр. 2011 г. – Курск, 2011. – С. 152-154.
31. Огай, липосомальный гель с инсулином / , // Современный взгляд на болезни внутренних органов и полиморбидность: материалы Междунар. науч.-практ. конф. 19-20 мая 2011 г. – Белгород, 2011. – С. 138-140.
3. Работы опубликованные на региональном уровне
32. Огай, оригинальных фитокомпозиций, содержащих корень женьшеня и траву гиностеммы в качестве противодиабетических лечебно-профилактических средств / // Молодые ученые Поволжья и Северного Кавказа: тез. науч. конф. 15-17 февр. 2000 г. – Н. Новгород, 2000. – С. 153-155.
33. Огай, технологии, методов стандартизации гипогликемического фитосиропа / , // Регион. конф. по фармации, фармакологии и подготовке кадров (57; 2002; Пятигорск): материалы... - Пятигорск: Пятигорская ГФА, 2002. - С. 62-63.
34. Огай, состава и исследование гелей с фитокомпозициями для предупреждения последствий сахарного диабета / , // Актуальные проблемы фармации: сб. ст. межрегион. науч. конф. – Владикавказ, 2007. – С. 61.
35. Разработка технологии и фармакологическое исследование гелей с фитокомпозициями для предупреждения последствий сахарного диабета / [и др.] // Фармация и общественное здоровье: материалы науч. конф. 19 февр. 2008 г. – Екатеринбург, 2008. – С. 238-240.
36. Огай, и исследование трансдермального пластыря с таурином для коррекции последствий сахарного диабета / // Вестн. Воронеж. гос. ун-та (ВГУ). Сер.: химия, биология, фармация. - 2009. - №1. - С. 117-119.
37. Фармакологические исследования и технология фитогелей для коррекции последствий сахарного диабета / [и др.] // Вестн. Воронеж. гос. ун-та (ВГУ). Сер.: химия, биология, фармация. - 2009. - №2. - С. 171-173.
38. Особенности технологии липосомального инсулина – основы суббукального геля / [и др.] // Актуальные проблемы фармации: материалы I Межрегион. конф. - Владикавказ, 2010. – С. 48-53.
39. Использование ИК-спектроскопии для идентификации таурина в разработанной лекарственной форме – фитогеле / [и др.] // Актуальные проблемы фармации: материалы I Межрегион. конф. - Владикавказ, 2010. – С. 54-56.
40. Фитохимический анализ гелей ранозаживляющего действия / [и др.] // Вестн. Урал. гос. мед. Акад. - 2010. - Вып. 22. - С. 44-48.
ЭКСПЕРИМЕНТАЛЬНО-ТЕОРЕТИЧЕСКОЕ ОБОСНОВАНИЕ СОСТАВА И ТЕХНОЛОГИИ ОРИГИНАЛЬНЫХ ЛЕКАРСТВЕННЫХ ФОРМ ДЛЯ КОРРЕКЦИИ САХАРНОГО ДИАБЕТА И ЕГО ОСЛОЖНЕНИЙ ПРИ МЕТАБОЛИЧЕСКОМ СИНДРОМЕ
14.04.01 – Технология получения лекарств
АВТОРЕФЕРАТ
диссертации на соискание ученой степени
доктора фармацевтических наук
Подписано к печати ___________ 20 __ г. Формат бумаги 60х84 1/16.
Бумага книжно-журнальная.
Печать ротапринтная.
Усл. печ. л. 2,0.
Тираж 100 экз. Заказ №
Государственное бюджетное образовательное учреждение высшего профессионального образования «Пятигорская государственная фармацевтическая академия» Министерства здравоохранения и социального развития Российской Федерации ( г. Пятигорск, пр. Калинина, 11)



