Статьи пассива баланса группируются по степени нарастания срочного погашения обязательств. В первом разделе пассивов отражаются капитал и резервы: уставный и добавочный капитал, нераспределенная прибыль. Во втором разделе «Краткосрочные пассивы» выделяют краткосрочные кредиты и займы, кредиторская задолженность.
В приложение к балансу составляется финансовая отчетность:
- отчет о прибылях и убытках;
- отчет об изменениях капитала;
- отчет о движении денежных средств;
- отчет о целевом использовании полученных средств;
Бухгалтерский баланс составляется на начало квартала, года. Баланс – основа отчетности, анализа. Он сдается в налоговую инспекцию. Бухгалтерский учет ведется на основе первичной информации: путевых листов, накладных, приходных и расходных ордеров, платежных требований и др.
Статистическая отчетность отражает результаты деятельности предприятий в виде набора форм обязательных для заполнения и совокупности важнейших показателей обобщающих хозяйственную деятельность субъектов управления страны и регионов. Отчетность дается по представлению ЦСУ.
Тест по теме: «Финансовые взаимоотношения в строительстве»
1. В настоящее время финансы какого уровня реально существуют?
а) государства;
б) отраслей;
в) предприятий.
2. Посредством каких органов должны осуществляться финансовые взаимоотношения между предприятиями?
а) через центральный банк;
б) через коммерческие банки;
в) расчетами наличными деньгами.
3.Куда направляются денежные средства в случае строительства объекта за счет средств бюджета?
а) на счет финансирования заказчика;
б) на счет финансирования подрядчика;
в) на расчетный счет заказчика.
4. Какая форма взаиморасчетов между заказчиком и подрядчиком является лучшей?
а) за готовый объект;
б) за завершенные конструктивные элементы;
в) за выполненные объемы работ в течение месяца.
5. Когда применяется аккредитивная форма расчетов?
а) за выполненные работы;
б) за оказанные услуги;
в) за приобретение материальных ценностей.
6. На основе каких документов осуществляется оплата за выполненные работы?
а) платежных требований подрядчика;
б) платежных требований подрядчика;
в) платежных поручений заказчика.
7. Какими органами устанавливаются и изменяются налоговые ставки?
а) налоговой инспекцией;
б) Государственной думой федерального уровня;
в) областной думой.
8. Как распределяются налоговые поступления по бюджетам разных уровней?
а) на основе целевого распределения налогов и его долей;
б) на основе перераспределения сверху (с федерального уровня);
в) на основе перераспределения снизу.
9. Взыскание недоимок с физических лиц осуществляется:
а) в бессрочном порядке;
б) в судебном порядке;
в) с обращением на полученные доходы.
10. Когда выплачиваются налоги?
а) ежемесячно;
б) ежеквартально;
в) по мере накопления средств и задолженностей.
11. Каковы полномочия налоговой инспекции?
б) ходатайство о запрещении занятия предпринимательской деятельности;
в) приостановление расчетных операций в банке.
12. На основе каких источников информации осуществляется оперативно-технический учет?
а) первичной документации отчетности;
в) статистического отчета.
13. Какая последовательность размещения активов бухгалтерского баланса?
а) по убыванию степени ликвидности;
б) по возрастанию степени ликвидности;
в) без учета уровней ликвидности.
14. ТРАДИЦИОННЫЕ И СОВРЕМЕННЫЕ МЕТОДЫ
АНАЛИЗА ПРОИЗВОДСТВЕННО-ХОЗЯЙСТВЕННОЙ
ДЕЯТЕЛЬНОСТИ СТРОИТЕЛЬНЫХ ОРГАНИЗАЦИЙ
14.1. Комплексный анализ хозяйственной деятельности
строительной организации
Анализ хозяйственной деятельности строительных организаций – комплексное исследование развития внешней и внутренней обстановки с оценкой эффективности использования собственных и привлеченных ресурсов в процессе выпуска продукции. В процессе анализа изучаются факторы, причинно-следственные связи; выявляются резервы, предназначенные для использования в управлении деятельностью предприятия. Анализ производится на основе данных планирования и нормирования, оперативно-технического учета, статистической отчетности, а также финансового отчета.
Комплексный анализ деятельности строительной организации следует разделить на три направления:
- стратегический анализ развития ситуации;
- анализ производственно-хозяйственной деятельности;
- финансовый анализ (анализ финансового состояния предприятия);
Стратегический анализ предусматривает изучение развития внешней рыночной ситуации в регионе и рассмотрение возможностей предприятия в новых изменяющихся условиях. Проводится институциональный анализ с прогнозом политической, правовой и демографической обстановки. Исследуются вопросы конкурентоспособности предприятий в сопоставлении с аналогичными, развития потенциала, возможностей ресурсов, ориентации на инновации, возникновения рисков. На основе анализа вырабатывается стратегия перспективного развития предприятия.
Анализ производственно-хозяйственной деятельности строительной организации – комплексное исследование развития внешней и внутренней обстановки с оценкой эффективности использования собственных и привлеченных ресурсов в процессе выпуска и реализации продукции. В процессе анализа изучаются факторы, причинно-следственные связи, выявляются резервы, предназначенные для использования в управленческой деятельности предприятия. Анализ проводится на основе данных планирования и нормирования оперативно-технического учета, статистической отчетности и финансового отчета. Анализ производственно-хозяйственной деятельности предусматривает разделы: анализ выполнения производственной программы, анализ плана технического развития, анализ планов по труду, механизации и материально-технического снабжения, анализ плана себестоимости и прибыли. Анализ финансового плана следует выделить в отдельный блок.
При рассмотрении показателей выполнения плана строительного производства (производственной программы) оценивается выполнение запланированных объемов работ по объектам, определяются коэффициент фактического использования производственной мощности и ее резервы, устанавливаются характеристики выполнения плана ввода объектов в действие, рассчитывается показатель ритмичности выпуска продукции. Исследуется плановая и фактическая структура стоимостных объемов по заказчикам и субподрядчикам. Оценивается наличие задела и обеспечение ввода объектов в эксплуатацию на последующие периоды. Определяется степень выполнения физических объемов работ. Выявленные резервы в процессе анализа позволяют разработать мероприятия по интенсификации основного производства.
Изучение фактического выполнения ресурсных планов по труду, механизации и материально-техническому снабжению позволяет оценить эффективность использования ресурсов на основе сопоставления показателей плана и факта, расчета потребности ресурсов и нормативного их расходования. В процессе анализа плана механизации следует рассчитывать частные показатели эффективности использования технических средств: коэффициент сменности, показатели использования машин по времени и выполнения норм выработки, коэффициенты выхода механизмов на линию. Рассматривается рациональность структуры парка машин по мощности. На основе анализа ресурсных планов разрабатываются мероприятия по оптимизации запасов ресурсов, поиску дополнительных источников привлечения ресурсов, обеспечивается выбор надежных поставщиков, оптимизируется структура технических средств. Предусматривается повышение уровня механизации производства и рост производительности труда.
При анализе плана технического развития предприятия оцениваются результаты организационно-технических мероприятий, направленных на повышение производительности труда и снижение себестоимости СМР. Корректируется инновационная политика предприятия.
Анализ себестоимости СМР позволяет определить направления и факторы перерасхода по отдельным статьям (элементам) затрат в части превышения расхода ресурсов в натуральном выражении относительно нормативного уровня и завышения цен на ресурсы в сравнении с предыдущем уровнем. Выявление факторов позволяет выработать мероприятия по сокращению издержек производства и реализации продукции. Оцениваются показатели прибыли в сравнении с предшествующим уровнем и плановым заданием. Проводится факторный анализ прибыли. На перспективу определяются дополнительные источники получения прибыли или предусматривается уменьшение убытков в отдельных сферах деятельности строительных организаций.
14.2. Анализ финансового состояния строительной организации
Финансовое состояние характеризуется системой показателей, отражающих наличие, структуру и динамику имущества (активов) строительной организации, финансовую устойчивость, ликвидность и платежеспособность. Финансовое состояние строительной организации интересует внешних исполнителей (кредиторов, поставщиков и других деловых партнеров), внутренних пользователей (акционеров, собственников средств). Внутренние пользователи выявляют влияние на финансовое состояние факторов производственно-хозяйственной деятельности.
Рекомендуются следующие направления финансового анализа:
- анализ финансовых результатов деятельности предприятия;
- анализ финансового состояния предприятия;
- анализ деловой активности и эффективности предприятия;
- комплексный анализ и оценка финансовой деятельности предприятия;
Порядок аналитических исследований следующий:
- устанавливаются показатели характеризующие состояние проблемы, решаемых задач;
- выявляются источники информации для анализа (данные оперативного, бухгалтерского, статистического учета);
- осуществляется отбор и проверка информации для анализа;
- проводится аналитическая обработка информации и устанавливается факторная связь между показателями;
- выявляются резервы, намечаются мероприятия по улучшению состояния;
- обобщаются и оформляются результаты анализа в форме пояснительной записки с расчетами.
Основным задачами анализа финансовых результатов деятельности предприятия являются: оценка динамики показателей прибыли, обоснованности образования и распределения их фактической величины, анализ влияния факторов на прибыль, выявление резервов дальнейшего роста прибыли на основе оптимизации объемов производства и себестоимости выпускаемой продукции.
Финансовое состояние предприятия характеризуется размещением и использованием средств (активов) и источниками их формирования (пассивов) на основе информации баланса предприятия.
Данные баланса служат для оценки объема и динамики имущества в распоряжении строительной организации, а также для оценки структуры активов с выделением оборотных (мобильных) активов и внеоборотных активов. Рост стоимости имущества обусловлен причинами: расширением производственной деятельности, инфляционными процессами, влиянием переоценки основных фондов и т. д. Уменьшение активов может явиться следствием сокращения объемов производства с учетом конъюктуры рынка, снижения платежеспособности потребителей, сложностей в поставке сырьевых материалов. Увеличение объемов основных фондов положительно, если рост этих средств сопровождается повышением производительности труда, увеличением объемов СМР. Уменьшение объемов основных фондов положительно в случае высвобождения от излишних средств.
Рост объема и увеличения доли оборотных средств чаще положительно, так как это повышает мобильность, маневренность имущества. Но рост объема оборотных средств следствие замедления их оборота. Увеличение удельного веса производственных запасов свидетельствует о стремлении строительной организации защитить денежные активы от обесценивания при инфляции или увеличить надежность производства. В этом случае большая часть активов иммобилизуется в запасах, что ухудшает финансовое состояние предприятия.
Повышение дебиторской задолженности чаще ухудшает финансовое состояние предприятия из-за ограничения оборотных средств. В отдельных случаях это свидетельствует об использовании стратегии ссуд для потребителей продукции. Дебиторскую задолженность следует расшифровать по каждой статье, по каждому задолжнику, по причинам возникновения и срокам. Для оценки источников покрытия имущества рассматривается динамика роста капитала, а также структура статей пассива баланса. Увеличение средств за счет любого источника ведет к изменению финансового состояния предприятия. Величина уставного капитала не должна быть ниже зарегистрированной суммы и уменьшаться в анализируемом периоде. Наличие нераспределенной прибыли позволяет пополнить собственные оборотные средства и погасить краткосрочную задолженность.
Оцениваются тенденции динамики и структуры заемных средств. Рост долгосрочных кредитов дает возможность прогнозировать получение доходности на капитал в перспективе. Привлечение краткосрочных кредитов приводит к увеличению затрат и уменьшению притока денежных средств. Использование этих заемных средств целесообразно, если доходность от их применения превышают плату процентов за их возврат.
Анализ структуры пассивов баланса позволяет оценить альтернативы тактики предприятия по критериям доходности, степени риска и цены источников финансирования.
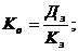
Финансовая устойчивость предприятия – надежность предприятия с точки зрения платежеспособности, которая характеризуется обеспеченностью строительной организации собственными средствами. Наибольшая финансовая устойчивость – без привлечения заемных средств. Но наличие заемных средств – ускоритель развития строительной организации, хотя и повышение риска. Финансовую устойчивость характеризуют ряд показателей. Для оценки финансовой устойчивости определяют коэффициент соотношения собственных и заемных средств.
| (14.1) |
где
,
- долгосрочные и краткосрочные кредиты.
- собственные средства;
,
- убытки прошлого и отчетного периодов.
Чем выше коэффициент, тем ниже финансовая устойчивость.
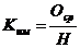
Коэффициент автономии характеризует независимость предприятия от заемных источников средств:
| (14.2) |
где Н – стоимость имущества строительной организации.
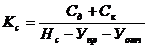
По значению этого показателя оценивается устойчивость и уровень кредитного риска, т. е. защищенность от потерь в период кризиса и возможности привлечения заемных средств. Коэффициент иммобилизации характеризует эффективность использования средств строительной организации с позиции предпринимательской деятельности:
| (14.3) |
где
- остаточная стоимость основных средств.
Значение коэффициента зависит от наличия у организации собственного парка машин и степени удовлетворения его услугами.
Устойчивость финансового состояния строительной организации оценивается и по источникам формирования запасов и затрат.
Если эта часть активов (имущества) обеспечена собственными средствами, то в строительной организации абсолютная финансовая устойчивость. При нормальной финансовой устойчивости запасы и затраты обеспечиваются собственными средствами условно, в состав источников включены дополнительные кредиты погашение которых не в анализируемом году. Неустойчивое финансовое состояние характеризуется покрытием этой части имущества также и краткосрочными кредитами. Кризисное состояние характеризуется покрытием затрат и запасов путем привлечения средств кредиторской задолженности.
Устойчивость финансового состояния характеризуется коэффициентом отношения дебиторской задолженности к кредиторской:
| (14.4) |
При
условия благоприятные для устойчивости предприятия. Финансовое состояние строительной организации определяется ликвидностью ее имущества, т. е. скоростью превращения в денежные средства. Имущество делится на группы: 1) высоколиквидные средства (денежные средства и краткосрочные финансовые вложения); 2) быстрореализуемые средства (дебиторская задолженность); 3) низколиквидные средства (запасы и затраты); 4) неликвидные средства (основные средства и внеоборотные активы). При анализе определяется величина средств и ее изменение за анализируемый период по каждой группе и структуре активов. Выявляется причина изменений и дается им оценка.
Для оценки платежеспособности строительной организации ликвидные активы сопоставляются с суммарной величиной краткосрочной и кредиторской задолженности. Этот показатель характеризует способность предприятия рассчитываться с бюджетом, кредиторами. Текущую платежеспособность характеризует показатель абсолютной ликвидности
, определяемый отношением суммы быстроликвидных средств к величине краткосрочной и кредиторской задолженности. Учитываются сроки ее погашения. При отсутствии средств для оплаты организация становится неплатежеспособной.
Коэффициенты промежуточной и общей ликвидности
,
отличаются от предыдущего
значениями числителей.
имеет числитель – значения денежных и приравненных к ним средств, включая дебиторскую задолженность. Для показателя
числитель увеличивается на величину низколиквидных средств. Если
, то платежеспособность не обеспечена. Ожидаемая платежеспособность учитывает ожидаемые поступления.
Анализ ликвидности баланса позволяет оценить кредитоспособность предприятия, т. е. способность рассчитываться по своим обязательствам. Ликвидность определяется покрытием обязательств предприятия его активами, срок погашения которых в деньги соответствует сроку погашения обязательств. Наиболее ликвидные активы (денежные средства и ценные бумаги предприятия) должны быть больше или равны наиболее срочным обязательствам (кредиторской задолженности); быстро реализуемые активы (дебиторская задолженность и прочие активы) – больше или равны наиболее срочным обязательствам (кредиторской задолженности); быстро реализуемые активы (дебиторская задолженность и прочие активы) – больше или равны краткосрочным пассивам (краткосрочным кредитам и заемным средствам); медленно реализуемые активы (запасы и затраты за исключением расходов будущих периодов) – больше или равны долгосрочным пассивам; трудно реализуемые активы – меньше или равны постоянным пассивам (источникам собственных средств). При выполнении этих условий баланс считается абсолютно ликвидным. При перевыполнении отдельных условий ликвидность баланса не полная.
Анализ деловой активности и эффективности деятельности предприятия отражает результативность работы предприятия на основе интенсивного использования ресурсов. Для оценки эффективности хозяйственной деятельности используются показатели рентабельности – доходности капитала, ресурсов или продукции. Деловая активность предприятия проявляется в скорости оборота его средств. Анализ деловой активности и рентабельности заключается в исследовании уровней и динамики финансовых коэффициентов, которые являются относительными показателями финансовых результатов предприятия.
По результатам анализа хозяйственной деятельности предприятия вырабатывается стратегия и тактика поведения субъекта для эффективного функционирования строительной организации. Для повышения эффективности возможен выбор вариантов стратегии: 1) защитная линия поведения с сокращением внутренних потерь, использовании внутренних резервов, закреплении дисциплины отсрочки оплаты кредитов; 2) наступательная линия поведения по активизации действий, привлечение новых заказчиков, повышение договорных цен, применение инновационных технологий, привлечение заемных средств.
14.3. SWOT-анализ деятельности строительных предприятий
Любое сегментирование начинается со всестороннего изучения рыночной ситуации, в которой работает строительная компания, и оценки типов возможностей и угроз, с которыми она может столкнуться. Отправной точкой для подобного обзора служит SWOT-анализ, один из самых распространенных видов анализа в условиях рынка. Проще говоря, SWOT-анализ позволяет выявить и структурировать сильные и слабые стороны строительной фирмы, а также потенциальные возможности и угрозы. Достигается это за счет того, что менеджеры должны сравнивать внутренние силы и слабости своей строительной компании с возможностями, которые дает им рынок. Исходя из качества соответствия делается вывод о том, в каком направлении строительная организация должна развивать свой бизнес и в конечном итоге определяется распределение ресурсов по сегментам[62].
В этом параграфе рассматриваются сильные и слабые стороны, возможности и угрозы по отношению к изучаемым сегментам или рынкам. Для определения относительной важности каждой из перечисленных составляющих SWOT необходим обширный ряд входных данных. Изучив этот параграф, можно построить SWOT-анализ для каждого сегмента.
Объекты в рамках каждого элемента (например, сильные стороны) ранжируются по значимости: первой будет идти самая важная сила, затем вторая и так далее.
Простейшая форма представления результатов SWOT-анализа приведена на рис. 14.1: перечисляются сильные и слабые стороны, возможности и угрозы.
Благодаря своей концептуальной простоте SWOT стал легко применимым для менеджеров и столь же подверженным неправильному применению. Для его проведения не требуются ни обширные базы данных, ни формальная подготовка. Любой, кто хоть немного знаком со строительной компанией и имеет представление о рынке строительных услуг, может составить простой SWOT. С другой стороны, присущая анализу простота может привести к поспешным и бессмысленным выводам, полным таких неопределенных и двусмысленных понятий, как «эксплуатационная характеристика продукта», «современное оборудование», «цены». Вдобавок, пользователи иногда забывают об объективности и полагаются на устаревшую или ненадежную информацию.

Рис. 14.1. SWOT-анализ
Правила проведения SWOT-анализа
Правило 1. Тщательно определите сферу каждого SWOT-анализа. Строительные компании часто проводят общий анализ, охватывающий весь их бизнес. Скорее всего, он будет слишком обобщенным и бесполезным для менеджеров, которых интересуют возможности на конкретных рынках или сегментах. Фокусирование SWOT-анализа, например на конкретном сегменте, обеспечивает выявление наиболее важных для него сильных и слабых сторон, возможностей и угроз.
Правило 2. Поймите различия между элементами SWOT: силами, слабостями, возможностями и угрозами. Сильные и слабые стороны — это внутренние черты компании, следовательно, ей подконтрольные. Возможности и угрозы связаны с характеристиками рыночной среды и неподвластны влиянию строительной организации.
Правило 3. Сильные и слабые стороны могут считаться таковыми лишь в том случае, если так их воспринимают покупатели. Нужно включать в анализ только наиболее относящиеся к делу преимущества и слабости. Помните, что они должны определяться в свете предложений конкурентов. Сильная сторона будет сильной только тогда, когда таковой ее видит рынок. Например, качество продукта будет силой, только если он работает лучше, чем продукты конкурентов. И наконец, таких сильных и слабых сторон может набраться очень много, так что и не поймешь, какие из них главные. Во избежание этого преимущества и слабости должны быть проранжированы в соответствии с их важностью в глазах покупателей.
Правило 4. Будьте объективны и используйте разностороннюю входную информацию. Конечно, не всегда удается проводить анализ по результатам обширных маркетинговых исследований, но, с другой стороны, нельзя поручать его одному человеку, поскольку он не будет столь точен и глубок, как анализ, проведенный в виде групповой дискуссии и обмена идеями. Важно понимать, что SWOT-анализ — это не просто перечисление подозрений менеджеров. Он должен в как можно большей степени основываться на объективных фактах и данных исследований.
Правило 5. Избегайте пространных и двусмысленных заявлений. Слишком часто SWOT-анализ ослабляется именно из-за того, что в него включают подобные утверждения, которые, скорее всего, ничего не значат для большинства покупателей. Чем точнее формулировки, тем полезнее будет анализ. Подтверждением тому служит рис. 14.2. К примеру часть покупателей воспримет как плохо определенное, лишенное смысла заявление. Этот элемент нужно разбить на несколько более значимых с точки зрения покупателя составляющих: современное оборудование
Аналогичным образом можно проанализировать и другие заявления из рис. 14.2.

Рис. 14.2. Пример плохого SWOT-анализа
Некоторые из полученных составляющих будут иметь отношение к покупателям, некоторые нет. Суть в том, что включать нужно только те из них, что воспринимаются рынком и покупателями как важные.
Элементы внутренней среды: сильные и слабые стороны
Под сильными и слабыми сторонами могут скрываться самые разнообразные аспекты деятельности строительной компании. Ниже приводятся категории, наиболее часто включаемые в анализ. Каждый SWOT уникален и может включать одну или две из них, а то и все сразу. Каждый элемент в зависимости от восприятия покупателей может оказаться как силой, так и слабостью.
Маркетинг.
Продукт.
Ценообразование.
Продвижение.
Маркетинговая информация/разведка.
Сервис/персонал.
Распределение/дистрибьюторы.
Торговые марки и позиционирование.
Инжиниринг и разработка новых продуктов. Чем теснее становится связь маркетинга и технического отдела, тем важнее будут данные элементы. Например, прочная взаимосвязь между командой разработки нового продукта и отделом маркетинга позволяет напрямую использовать обратную связь от покупателей в проектировании новых изделий.
Оперативная деятельность.
Производство/инжиниринг.
Сбыт и маркетинг.
Обработка заказов/сделки.
Персонал.
Исследования и разработки.
Дистрибьюторы.
Маркетинг.
Сбыт.
Послепродажное обслуживание/сервис.
Обслуживание/сервис покупателей.
Сюда входят навыки, заработная плата и премии, обучение и развитие, мотивация, условия труда людей, текучесть кадров. Все эти элементы имеют центральное значение для успешного внедрения ориентированной на покупателя философии маркетинга и маркетинговой стратегии.
Менеджмент. Чувствительные и зачастую спорные, но иногда требующие изменений структуры управления напрямую определяют успех внедрения маркетинговой стратегии. Подобные аспекты должны быть отражены в анализе.
Ресурсы строительной компании. Ресурсы определяют наличие людей и финансов, и тем самым сказываются на способности компании извлечь выгоду из конкретных возможностей.
Элементы внешней среды: возможности и угрозы
Возможности и угрозы находятся вне зоны контроля организации. Таким образом, они могут рассматриваться как внешние, относящиеся к элементам рыночной среды. Анализ среды, который к данному моменту уже должен быть проведен, может послужить отличной отправной точкой для этой части SWOT-анализа. Основные элементы, которые нужно рассмотреть, включают в себя:
законодательные/регулирующие/политические силы. Действия властей в виде исполнения политики, а также требования законодательного и регулирующего характера, которым должны подчиняться компании;
общественные силы (культура). Напрямую затрагивают компанию, когда недовольные покупатели оказывают давление на организации, чья деятельность воспринимается как недопустимая;
технологические силы. Технологические способности, помогающие компании достигать своих целей, влияют на продукты, которые предлагаются покупателям, и на их ответную реакцию;
экономическая ситуация. Влияние общего состояния экономики, под воздействием которого формируются покупательский спрос и манеры тратить деньги;
конкуренция. Природа и масштаб конкурентной угрозы. Особого внимания заслуживают следующие моменты:
Интенсивность конкуренции.
Угроза появления новых конкурентов.
Потребности покупателей на рынке.
Рыночная власть покупателей, дистрибьюторов, поставщиков.
Конкурентоспособность.
Давление со стороны товаров-заменителей.
Регистрация данных для SWOT-анализа
Для каждого из рассматриваемых рынков или сегментов нужно перечислить наиболее важные (имеющие наибольшее отношение/влияющие на бизнес) элементы по всем четырем категориям: силы, слабости, возможности и угрозы (см. табл. 14.1). В каждой из них формулировки должны быть упорядочены по значимости: сначала идет угроза номер один и так далее. SWOT должен быть как можно более сфокусированным: например, если нужно, то для каждого нового рынка или группы покупателей стройте отдельную таблицу. Нет смысла перечислять все возможное и невозможное: ограничьтесь лишь теми элементами, что оказывают наибольшее влияние на вашу строительную компанию. Будьте объективны. Сможете ли вы подкрепить свои заявления доказательствами (цитатами, письмами, статистикой по отрасли, отчетами в прессе, правительственными публикациями, сведениями от дилеров, комментариями покупателей)? Помните, что анализ должен быть ориентирован на покупателя, а не внутрь строительной организации. Рассматривая очередное заявление, полезно задать себе следующие вопросы.
Уверены ли мы, что это на самом деле так?
Насколько мы уверены?
Откуда мы знаем?
Возможно ли, что вскоре это изменится?
Имеет ли это заявление отношение/значение/смысл для наших покупателей?
Рассмотрели ли мы эту позицию по отношению к конкурентам?
На практике SWOT-анализ часто составляется для каждого ведущего конкурента и для отдельных рынков. Это раскрывает относительные силы и слабости строительной компании, ее способности по борьбе с угрозами и использованию возможностей. Это упражнение полезно при определении привлекательности имеющихся возможностей и оценке способностей фирмы по их преследованию.
Таблица 14.1
SWOT-анализ
Сильные стороны | Слабые стороны |
Возможности | Угрозы |
Что нужно сделать:
Проранжировать заявления в порядке возможности.
Включить только основные заявления/аспекты.
Иметь доказательства в их поддержку.
Сильные и слабые стороны должны рассматриваться по отношению к конкурентам.
Сильные и слабые стороны — это внутренние аспекты.
Возможности и угрозы — это внешние аспекты рыночной среды.
Какие основные выводы можно сделать из этого?
Контрольный список: сильные и слабые стороны, возможности и угрозы
Рекомендуется прочесть и заполнить следующий контрольный список.
1. Что вы должны узнать
Необходимо составить SWOT-анализ для каждого рынка. Для этого следует изучить внутренние сильные и слабые стороны строительной компании и определить возможности и угрозы, существующие в ее внешней рыночной среде. Элементы каждой из четырех категорий должны быть проранжированы. Результатом анализа должны стать выводы для строительной компании. Если строительная компания обслуживает более чем один рынок, необходимо заполнить соответствующие формы для каждого из них.
Если вы еще не собрали необходимую для этого информацию, мы настойчиво советуем вернуться к этому параграфу при первой же возможности и уж точно до того, как выбирать целевые сегменты и составлять стратегии позиционирования.
2. Должна быть заполнена таблица (табл. 14.2)
Отметьте свой прогресс: заполнили ли вы таблицу?
Таблица 14.2
Состояние анализа |
Полностью заполнена | Частично заполнена | Не заполнена |
Будьте готовы к тому, что к таблице придется вернуться, если/когда появится дополнительная информация.
|
Из за большого объема этот материал размещен на нескольких страницах:
1 2 3 4 5 6 7 8 9 10 11 12 13 14 15 16 17 18 19 20 21 22 |



