Согласно общепринятым правилам предусматривается заблаговременное уведомление (в письменной форме) заказчика подрядчиком о готовности объекта или его части к той или иной стадии приёмки. Для предварительной приёмки внутри страны заказчик уведомляется за 5 дней до начала приёмки, согласно международной практике – за 10 – 15 дней. Уведомление о заключительной приёмке по объектам производственного назначения направляются заказчику за 2 месяца, по объектам жилищно-гражданского назначения – за 30 дней, согласно международной практике – не менее 10 дней до начала сдачи.
В случае, когда приёмо-сдаточные испытания требуют тщательного координирования действий заказчика и подрядчика, а также когда заказчик заинтересован в предварительном ознакомлении с содержанием такого испытания, в договоре следует предусмотреть разработку подрядчиком программы испытаний оборудования и заблаговременную (например, за 2 месяца до начала испытаний) передачу её заказчику для согласования. В пусковом периоде обязанности по обеспечению условий для сдачи объекта в эксплуатацию распределяются между сторонами в зависимости от условий составления договора.
III. Поручительства и гарантии. Санкции. Конфликтные ситуации.
Поручительство служит для обеспечения финансовых гарантий выполнения работы. Если участники сочтут необходимым наличие гарантов-поручителей, то последний должен быть как у подрядчика, так и у заказчика.
В договоре и в приложениях к нему должны быть предусмотрены гарантии по выполненным работам и оговорены условия вступления гарантий в силу. Подрядчик отвечает за правильное выполнение работ в соответствии с договором.
Санкции есть мера экономического воздействия на нарушителей договора. К санкции относятся: неустойка (штраф, пеня), отказ от акцепта предъявленных к платежу документов, расторжение договора. Стороны могут предусмотреть в договоре дополнительные санкции, отражающие особенности предмета договора, а также значимость принимаемых договорных обязательств.
Договорная неустойка – это денежная сумма, которую виновная сторона обязана уплатить другой стороне. Размер неустойки определяется договором.
Пеня – вид неустойки, исчисляемый в процентах от суммы невыполненного или некачественно выполненного договорного обязательства за каждый день просрочки выполнения против установленного срока. Размер пени определяется соглашением сторон. Платёж пени за невыполнение одного или нескольких обязательств не исключает права на получение неустойки при невыполнении договора в целом, а также права требовать возмещения ущерба.
Если подрядчик не выполняет надлежащим образом своих обязательств в сроки, предусмотренные договором, по причинам, за которые заказчик не несёт ответственности, то подрядчик (по предварительному согласованию сторон), к примеру, обязан уплатить заказчику штраф в размере 0,1% от стоимости (договорной цены) договора за каждую полную неделю просрочки в течение первых четырёх недель и 0,2% - за каждую последующую полную неделю. Общая сумма штрафа, однако, не должна превышать 5% от общей стоимости предмета договора. Оплата или удержание штрафа не освобождают подрядчика от его обязательств по договору.
В качестве конфликтных ситуаций рассматриваются такие, в связи с которыми одна из сторон не в состоянии выполнять свои обязательства по договору по причинам, от неё не зависящим. В связи с этим данная сторона может поставить вопрос, как минимум, о приостановке работ, а в худшем случае – о расторжении договора.
Если расторжение договора происходит по вине подрядчика, окончательный расчёт с ним может быть предусмотрен после сдачи объекта в эксплуатацию.
Если расторжение происходит по вине заказчика или в связи с обстоятельствами форс-мажора, расчёты следует предусмотреть в возможно более короткие сроки после процедуры расторжения договора.
В договоре регламентируется также ряд имущественных отношений между сторонами, возникающих в результате расторжения договора. К их числу относятся: права и обязанности сторон по использованию лицензионных соглашений и соглашений по инжинирингу, невыполненных поставок материалов и оборудования, остатков материальных ценностей, хранящихся на стройплощадке, и т. д.
Основания для освобождения от ответственности подрядчика в связи с нарушением обязательств заказчиком или неправильным действием его доверенных лиц обычно регламентируются в рамках поведения сторон относительно конкретных предметов отношений в соответствующих разделах договора. Освобождение от ответственности подрядчика осуществляется также в соответствии с условиями и сроками гарантий, обусловленными соответствующим разделом договора. При необходимости в разделе договора могут быть записаны условия, уточняющие характер отдельных сторон или деталей договора.
На усмотрение арбитража выносятся разногласия, по которым стороны не могут принять решение путём переговоров. В условиях рыночных отношений решения по разногласиям сторон, принятые третьими лицами, не являющимися арбитрами, не имеют юридической силы.
Арбитражное рассмотрение разногласий сторон, в качестве которых выступают только юридические лица, осуществляется в соответствии с действующим законодательством. При этом к рассмотрению в арбитраже должны приниматься решения по любым условиям, включаемым в договор.
Особые условия. Согласно практике составления договоров, в данном разделе обычно регламентируются отношения сторон, предметом которых являются разнообразные вопросы, которые стороны считают выделять в самостоятельный раздел договора. Наряду с этим фиксируются отношения, которые стороны считают необходимым регламентировать в связи с особыми условиями выполнения договора, например, особенностями проекта, строительной площадки, инфраструктуры и другими обстоятельствами, являющимися индивидуальными для данного предмета договора.
Тесты по теме: Заключение договора подряда между заказчиком и подрядчиком
1. Кто может выполнять роль заказчика при заключении договора подряда?
а) инвестор;
б) генподрядчик;
в) субподрядчик.
2. В чем состоят обязательства заказчика в случае заключения договора подряда?
а) принятие отдельных видов работ для взаиморасчетов;
б) ответственность за выполнение работ в сроки;
в) окончательный расчет за выполнение работы.
3. Кто является ответственным за сооружение объекта при заключении договоров подряда?
а) заказчик;
б) генподрядчик;
в) субподрядчик.
4. В каком разделе договора подряда отражаются требования обеспечения СНиП, ГОСТ при строительстве объекта?
а) в общих условиях;
б) в дополнительных условиях;
в) в особых условиях.
5. Какие условия переговоров при заключении договоров подряда с генподрядчиком существуют при выборе субподрядчиков?
а) необходимо предоставить список субподрядчиков;
б) приглашать для участия в переговорах субподрядчиков;
в) выбор субподрядчиков без ведома заказчика.
6. Каким образом регламентированы сроки выполнения работ в контрактах на строительный подряд?
а) указываются крайние сроки завершения работ;
б) указываются фиксированные сроки выполнения работ;
в) обеспечивается возможность продления сроков.
7. Кому по контракту предусматривается обеспечение подряда строительства объекта водоснабжением?
а) заказчику;
б) генподрядчику;
в) субподрядчикам.
8. На кого возлагаются вопросы охраны строящегося объекта?
а) на заказчика;
б) на генподрядчика;
в) на субподрядчиков.
9. Кто является ответственным за качество работ, выполняемых субподрядными организациями?
а) субподрядчики;
б) генподрядчик;
в) заказчик.
7. РЕСУРСЫ ОТРАСЛИ И ПРЕДПРИЯТИЙ
В СТРОИТЕЛЬСТВЕ
7.1. Основные фонды и средства строительных организаций
Состав и структура основных фондов
Основные фонды строительства являются совокупностью материально-вещественных ценностей, действующих в течение длительного времени, как в сфере материального производства, так и в непроизводственной сфере. Они подразделяются на производственные и непроизводственные фонды.
К производственным фондам относятся следующие группы:
а) активная часть основных фондов:
· рабочие машины и оборудование;
· силовые машины и оборудование;
· транспортные средства;
· инструмент и производственный инвентарь со сроком службы амортизации более 1 года;
б) пассивная часть основных фондов:
· производственные здания и сооружения.
К непроизводственным основным фондам относятся:
· жилые дома;
· здания и оборудование коммунального хозяйства;
· объекты культурно-бытового назначения;
· объекты здравоохранения и просвещения.
Некоторые из этих объектов зачастую находятся на балансе строительных организаций, но существует тенденция передачи их муниципальным органам. Они предназначены для социальных целей.
Основные производственные фонды многократно участвуют в производственном процессе, при этом сохраняя свою первоначальную форму. Вещественно они в продукт не входят, а постепенно, по мере износа, по частям переносят свою стоимость на стоимость готового продукта.
Более 50% основных фондов являются их активной частью, обеспечивая техническую оснащенность строительных организаций.
Структура основных производственных фондов зависит от специализации и технической вооруженности строительных организаций, характера работ, концентрации производства. С развитием научно-технического прогресса, доля активной части основных фондов возрастает, что обусловлено индустриализацией строительства.
Учет основных фондов осуществляется в стоимостных и натуральных показателях. В стоимостной форме основные фонды учитываются по первоначальной стоимости, то есть стоимости по которой фактически было приобретен или сооружен данный объект с учетом расходов доставки, монтажа и установки. Учет в натуральных показателях по количественному и качественному составу основных фондов осуществляется ежегодно при инвентаризации. Оценка основных фондов по восстановительной стоимости определяет их стоимость воспроизводства на данный момент времени в ценах текущего уровня с учетом переоценки согласно решениям правительства.
Оценка по первоначальной (или восстановительной) стоимости за вычетом износа (остаточная стоимость) служит для оценки фактической стоимости основных фондов и определения степени их изношенности.
Износ и амортизация основных фондов
Со временем, основные фонды в процессе производства изнашиваются, утрачивая свои первоначальные эксплуатационные качества. При этом они постепенно переносят свою стоимость на вновь создаваемый продукт.
Различают моральный и физический износ основных фондов.
Сущность морального износа заключается в том, что средства труда теряют свою ценность в связи с удешевлением машин и оборудования такой же конструкции или появлением новых, более совершенных и производительных машин и оборудования. Моральному износу в большей части подвержена активная часть основных производственных фондов. В условиях научно-технического прогресса многие строительные машины морально устаревают раньше, чем начинает происходить их физический износ.
Физический износ происходит в процессе эксплуатации основных фондов и при воздействии природно-климатических факторов. Степень физического износа зависит от качества обслуживания и содержания объектов, конструкции и материала, из которого они изготовлены и интенсивности их эксплуатации. По истечении определенного времени степень изношенности основных фондов достигает предела, и они выбывают из строя.
Исходя из этого необходимо устанавливать экономически целесообразные сроки службы объектов, учитывающие технико-экономические показатели новых объектов и их изменения в сравнении с заменяемыми.
По мере службы производительность машин уменьшается, увеличивается количество ремонтов и их продолжительность. Повышаются затраты на ГСМ и техническое обслуживание. Экономически целесообразный срок службы определяется по минимальным совокупным затратам для сравниваемых вариантов решений применения основных фондов (действующих или новых) на единицу создаваемой продукции. Учитываются затраты на содержание и ремонт старых машин, приобретение новых, а также их отдача в части выпуска продукции.
Для нормального функционирования основных фондов в течение установленного срока эксплуатации, необходимо периодически проводить их ремонт, а морально устаревшие машины и оборудование должны быть модернизированы. Однако все эти мероприятия требуют определенных средств, основным источником которых является ремонтный фонд, по размеру соответствующий (в денежном выражении) степени износа основных фондов.
Амортизация основных фондов в форме переноса их стоимости на себестоимость создаваемой продукции на протяжении всего их срока службы выражается как амортизационные отчисления в составе себестоимости СМР. Амортизационные отчисления, начисляемые за весь срок службы основных производственных фондов, должны возместить затраты на полное восстановление (реновацию) выбывших основных фондов. Полная сумма амортизационных отчислений определяется по следующей формуле:
An = Фб – Л + Мд, (7.1)
где Фб – первоначальная балансовая стоимость основных производственных фондов;
Л – ликвидационная стоимость (выражает ликвидацию остатков списанных основных фондов);
Мд – затраты на модернизацию в процессе капитального ремонта.
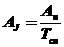
Годовая сумма амортизационных отчислений АJ определяется отношением полной суммы амортизации An к сроку службы основных фондов Тсл
. (7.2)
В практике общая годовая сумма амортизационных отчислений определяется с помощью годовых норм амортизации.
Норма амортизации НА – это выраженная в процентах доля стоимости основных фондов, которая включается в себестоимость продукции для возмещения ежегодного износа. Она определяется следующим образом:
. (7.3)
Для механизмов, оборудования она составляет 8÷15%, для зданий, сооружений 2÷7%. Сумма амортизационных отчислений по каждому элементу группы основных фондов рассчитывается
. (7.4)
Амортизационные отчисления по всем основным фондам строительной организации определяются как суммирование значений амортизации по каждой группе основных фондов на их полное восстановление. Нормы амортизации учитывают уровень использования основных фондов на их полное восстановление и являются едиными для всех строительных организаций, предприятий. Периодически постановлениями правительства происходит переоценка основных фондов в связи с изменением цен на строительную технику. Пересматривается также норма амортизации в сторону ужесточения для активной части основных фондов. В структуре амортизационных отчислений увеличивается доля активной части основных фондов.
Для ускорения обновления (воспроизводства) основных фондов, предусматривается ускоренная амортизация в пределах установленных инструкций. Если основные производственные фонды списываются досрочно, то в этом случае остаточная их стоимость отражается на убытках организации. Амортизация на объекты сооружений не начисляется, а ежегодно учитываются их износ и затраты на содержание и ремонт.
Для поддержания нормативного технико-эксплуатационного состояния основных фондов требуется периодическое проведение ремонтов и профилактических работ по их содержанию. При этом морально устаревшие машины и оборудование должны быть подвергнуты модернизации.
Источники формирования и поддержания технико-эксплуатационного состояния основных фондов
Источниками формирования основных производственных фондов новых предприятий и организаций транспортного строительства в малоосвоенной местности являются средства федерального и регионального бюджетов.
Для крупных комплексов, в сметной документации в сводном сметном расчете могут быть предусмотрены государственные капитальные вложения на развитие материально-технической базы. При создании частных предприятий, акционерных обществ источником основных средств являются паевые взносы, акционерный капитал.
Наибольшая доля средств, направленных на формирование и обновление основных фондов, приходится на собственные источники строительных организаций, такие как прибыль, амортизационные отчисления, а также заемные средства – кредиты банка. В строительных организациях, в целях накопления средств для возмещения стоимости основных фондов, создается амортизационный фонд, предназначенный на восстановление основных фондов. Амортизационный фонд, предназначенный для реновации, используется для развития производства и на взносы в банк для финансирования собственных капитальных вложений.
В процессе эксплуатации, отдельные элементы основных фондов изнашиваются неравномерно. Поэтому для поддержания их требуемого технико-эксплуатационного состояния необходимо периодическое проведение ремонтов для восстановления работоспособности. В зависимости от сложности, объема, продолжительности различают несколько типов ремонта:
· текущий;
· средний;
· капитальный.
Отдельные, незначительные узлы машин и оборудования заменяются или восстанавливаются при текущем ремонте. Средний ремонт проводится для зданий и сооружений и заключается в частичной замене изношенных конструкций. При капитальном ремонте производится полная разборка агрегатов, замена или восстановление всех изношенных конструкций. При этом осуществляется усовершенствование и модернизация морально устаревших основных фондов. Затраты на текущий ремонт основных фондов строительных организаций возмещаются за счет эксплуатационных расходов и относятся на себестоимость СМР. Экономически целесообразно формирование ремонтного фонда для его целевого использования согласно графику ремонтных работ.
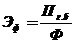
Показатели и направления улучшения использования основных фондов
В строительстве для измерения уровня эффективности и использования основных производственных фондов применяют показатель фондоотдачи
, (7.5)
где:
- годовой объем СМР, выполняемый собственными силами;
- среднегодовая стоимость основных производственных фондов.
Обобщающим показателем, характеризующим использование основных производственных фондов, является коэффициент экономической эффективности их использования, определяемый
, (7.6)
где:
- годовая балансовая прибыль;
Ф – среднегодовая стоимость основных фондов.
Фондоёмкость является показателем, обратным фондоотдаче, и показывает стоимость основных фондов на 1 руб. выполненных СМР. Уровень оснащенности строительной организации основными фондами характеризуют следующие показатели:
· механовооруженность;
· энерговооруженность;
· фондовооруженность.
Механовооруженностью труда называют отношение среднегодовой стоимости машин к среднесписочной численности рабочих на СМР.
Энерговооруженность труда – это отношение мощности всех установленных двигателей в кВт-ч к среднесписочной численности рабочих на СМР.
Фондовооруженность строительства определяется отношением стоимости основных фондов на балансе строительной организации к годовому объему СМР собственными силами.
Эффективность развития отрасли, предприятия обеспечивается при условии превышения темпов роста производительности труда над темпами роста фондовооруженности строительных организаций. Это приводит к снижению затрат живого труда на единицу готовой строительной продукции а следовательно к повышению рентабельности предприятия. Стабилизация и увеличение фондоотдачи строительного производства путем замещения живого труда средствами механизации и существенной интенсификации труда на разных видах работ требует неодинаковых затрат основных производственных фондов. Это связано с разными возможностями замещения живого труда.
Пример: цена замещения живого труда на земляных работах в 6 раз выше, чем на штукатурных и в 1,5 раза больше, чем на монтажных работах.
Таким образом, вытеснение живого труда на маломеханизированных участках работ дает наибольшую выгоду и являются первоочередными.
На уровень фондоотдачи влияет ряд технических, организационных и экономических факторов, внешних и внутренних. На народнохозяйственном уровне страны, увеличение фондоотдачи зависит от распределения объемов работ по отраслям и направлениям строительства по структуре капитальных вложений, то есть на новое строительство, расширение или реконструкцию.
К общеотраслевым факторам в сфере строительства относится рост фондоотдачи от повышения уровня концентрации и специализации строительных организаций. К факторам строительной организации в повышении фондоотдачи относятся:
· улучшение использования парка машин за счет увеличения времени эксплуатации основных фондов в течение планового периода;
· увеличение выпуска продукции в единицу времени.
Увеличение общего времени пользования строительной техникой связано с повышением коэффициента сменности работы основных машин, равномерной их эксплуатацией в течение года и суток, сокращением потерь машинного времени. Организационными предпосылками интенсификации работы строительных машин являются улучшение обеспечения работ инструментами, приспособлениями, материалами требуемого качества, распространение передовых методов работы, повышение квалификации рабочих.
Модернизация, своевременные и сокращенные по времени проведения, капитальные ремонты и планово-предупредительное обслуживание и рациональная эксплуатация способствует повышению производительности строительных машин.
Улучшение использования основных производственных фондов влияет на повышение эффективности строительного производства, рост производительности труда, сокращение продолжительности строительства. Уровень использования основных производственных фондов воздействует на уровень себестоимости СМР (эксплуатацию машин, затраты подсобных производств). Улучшение использования основных фондов влияет на увеличение объема выполненных работ, затраты на СМР, прибыль. Для стимулирования использования основных фондов применяется плата за имущество.
Интенсивный путь повышения эффективности использования основных производственных фондов заключается в увеличении объемов выпуска продукции в единицу времени на основе совершенствования технологии, передовых методов труда, рационального распределения машин.
Так же возможен экстенсивный путь повышения эффективности использования основных производственных фондов. Это означает увеличение времени их эксплуатации. К мерам экстенсивного развития относятся:
· ликвидация сезонности работ;
· нормализованная эксплуатация;
· своевременный ремонт;
· сокращение технического обслуживания;
· увеличение сменности;
· сокращение внутрисменных потерь.
Для контроля над использованием машин применяются директивные годовые эксплуатационные нормы выработки.
7.2. Оборотные фонды и средства строительных организаций
Состав, структура оборотных средств
Оборотными средствами (оборотным капиталом) называют совокупность денежных средств, вложенных (авансированных) в фонды обращения и оборотные фонды. Одна их часть функционирует в производственной сфере, другая – в сфере обращения. Они предназначены для обеспечения производства финансами в связи с возникающим разрывом во времени текущих затрат производственной деятельности и покрытия этих затрат перечислением средств заказчиком.
В основном, к оборотным производственным фондам относят предметы труда. Предметы труда функционируют в течение одного производственного цикла, в отличие от средств труда и при этом изменяют свою форму и полностью переносят свою стоимость на готовую продукцию. В строительстве в состав оборотных производственных фондов входят предметы труда, находящиеся в производстве и производственные запасы для обеспечения бесперебойности производства.
Предметы труда, находящиеся в процессе производства, выступают в виде незавершенного производства. В состав незавершенного производства включаются затраты по тем строительно-монтажным работам, которые не являются принятыми и не могут быть оплачены заказчиком в соответствии с принятым порядком расчетов за СМР.
Производственные запасы включают в себя предметы труда, находящиеся на складе строительной организации (строительные конструкции и детали, основные и вспомогательные материалы, запасные части для ремонта машин), а также малоценный и быстроизнашивающийся инструмент и инвентарь со сроком службы меньше года. Часть производственных запасов (строительные конструкции, основные материалы) вещественно входит в состав выпускаемой продукции и образует ее основное материальное содержание, остальные (вспомогательные материалы, инструменты и инвентарь) содействуют осуществлению производственного процесса или потребляются средствами труда.
К оборотным производственным фондам относят также расходы будущих периодов, включающие в себя затраты на подготовку производства (устройство временных сооружений, обучение строителей, и другие).
По завершении работ используемые в процессе предметы труда переходят в сферу товарного производства, далее из сферы производства - в сферу обращения, где продукция реализуется путем продажи. Реализация готовой строительной продукции требует определенного времени, в течение которого ранее затраченные средства пребывают в стадии расчетов с заказчиком. На предприятиях промышленной сферы к фондам обращения также относится готовая товарная продукция, находящаяся на складах производителя. Кроме того, строительная организация должна иметь необходимые денежные средства в по статье «касса», на расчетных счетах и аккредитивах. Эти средства необходимы для ведения текущей финансово-хозяйственной деятельности организации. Стоимость товарной продукции и находящиеся в процессе реализации деньги образуют фонды обращения. производственные запасы, незавершенное производство и средства в расчетах, в структуре оборотных средств составляют сопоставимые доли.
Процесс производства совершается непрерывно – оборотные средства постоянно перетекают из сферы производства в сферу обращения. Оборотные средства совершают кругооборот, переходя из сферы производства в сферу обращения, тем самым, образуя оборот средств в производстве. Доля оборотных средств в сфере строительства превышает среднеотраслевой уровень народного хозяйства. Соотношение между отдельными элементами оборотных средств формирует их структуру. Положительные тенденции в изменении структуры - в увеличении доли средств в сфере производства и сокращении в сфере обращения.
Источники формирования оборотных средств
Источниками образования оборотных средств строительной организации являются собственные и приравненные к ним средства, а именно:
· заемные средства, (привлеченные оборотные средства других предприятий и организаций и кредиты полученные в банковских учреждениях),
· собственные оборотные средства других предприятий и организаций.
Строительные организации по строительству новых дорог, мостов наделяются собственными оборотными средствами при их создании из средств государственного бюджета. Частные фирмы формируют оборотные средства из паевых взносов, акционерные - из средств акционеров. Источником образования оборотных средств вместе с основными фондами формируют уставной капитал организации. Собственные оборотные средства являются важным условием ее оперативно-хозяйственной самостоятельности и закрепляются за подрядной организацией в постоянное пользование. Размер этих средств должен давать возможность каждой организации создавать нормативные запасы материалов, необходимые для производства. При увеличении объемов работ или росте объемов производства прирост собственных оборотных средств осуществляется за счет прибыли организации. Приравненными собственными оборотными средствами являются устойчивые пассивы. Устойчивые пассивы – это внутренние финансовые ресурсы, используемые в хозяйственном обороте строительной организации.
К ним относятся:
· задолженность по заработной плате из-за несовпадения ее начисления и выплаты во времени;
· задолженности отчислений на социальные нужды по той же причине;
· резерв предстоящих платежей для оплаты отпусков рабочим;
· задолженность поставщикам и др.
В состав устойчивых пассивов включаются свободные средства в обороте, представляющие собой нереализованную прибыль, не подлежащую распределению до практической реализации строительной продукции и рассчитываемую как разницу между сметной стоимостью и себестоимостью незавершенного производства.
Заемные средства привлекаются строительной организацией из нескольких источников. Прежде всего, это кредиты банка. Кредитные средства предоставляются на условиях возвратности и платности и необходимы под незавершенное производство, под сверхнормативные запасы материальных ценностей в соответствии с потребностью и условиями поставок.
Временными источниками оборотных средств являются средства, привлекаемые от других предприятий. Значительную часть при этом составляет кредиторская задолженность субподрядчикам, поставщикам и прочим кредиторам. Этот источник не планируется и возникает по мере деятельности организации. Общий размер оборотных средств должен соответствовать потребности в них строительной организации. Структура оборотных средств и их источников зависит от характера работ, масштабов производства, форм расчетов и уровня рентабельности организации. На данный момент структура источников формирования оборотных средств имеет тенденцию изменения в сторону некоторого снижения доли кредиторской задолженности.
Нормирование оборотных средств
При нормировании оборотных средств строительная организация устанавливает минимально необходимый размер оборотных средств, который требуется для устойчивого финансового состояния, бесперебойной работы и своевременного ввода объектов в действие. Нормирование оборотных средств необходимо для определения потребности в них и анализа финансового состояния. Нормирование заключается в расчете потребности оборотных средств по отдельным элементам в днях, в денежном выражении, и в процентном отношении к общему объему реализованной продукции. Нормы оборотных средств исчисляются прямым счетом и действуют в течение ряда лет. Нормативы потребности собственных оборотных средств устанавливаются ежегодно на конец планируемого периода: года, квартала.
К нормируемым оборотным средствам относятся:
· производственные запасы,
· незавершенное производство,
· расходы будущих периодов.
К ненормируемым оборотным средствам относятся:
· задолженность заказчика,
· задолженность за отгруженные ценности, услуги,
· прочие дебиторы.
Размер этих средств регулируется в оперативном порядке. Нормирование оборотных средств обеспечивает их научную обоснованность.
Расчет нормативов оборотных средств осуществляется аналитическим способом по отдельным видам и группам и определяется отдельно по основным материалам и конструкциям, по вспомогательным материалам, по инструментам и инвентарю. Общий норматив собственных оборотных средств рассчитывается следующим образом:
Н=Р*Д, (7.7)
где:
Р – однодневный расход ресурсов в стоимостном выражении;
Д – норма оборотных средств в днях.
Однодневный расход основных материалов рассчитывается:
, (7.8)
где:
Рr – годовой расход ресурса по смете затрат; Т=360 дней.
Количество дней запаса Д зависит от объемов СМР, условий поставки, ритмичности поставки и др.
Общая норма запаса в днях
Д=Дт+Дп+Дтр+Дг+Дсез, (7.9)
где:
Дт, Дп, Дтр, Дг, Дсез – текущий, подготовительный, транспортный, страховой и сезонный запасы.
Определение текущего запаса происходит при условии равномерной и ритмичной поставки материальных ресурсов. Норма подготовительного запаса включает в себя время для приемки, отбора и испытания, разгрузки, комплектации, складирования. Норма определяется опытным путем и составляет 1-2 дня. Создание страхового запаса необходимо для обеспечения производства в связи с отклонениями от ритмичных поставок и составляет 50 % от текущего. При расчете транспортного запаса учитывается время от даты оплаты платежного требования до даты прибытия груза. Норматив запасов малоценных и быстроизнашивающихся предметов определяется в размере 50 % от их стоимости. Норматив вспомогательных материалов определяется по стоимости ежедневного расхода их и нормы запаса в днях. Норматив оборотных средств по незавершенному производству определяется согласно календарному плану и зависит от средней продолжительности незавершенного производства. Он устанавливается в размере 10 % годового объема работ, выполняемых собственными силами. Указанный норматив обеспечивается за счет собственных оборотных средств, а в недостающей части за счет кредита банка.
Для организации строительства разработаны типовые нормативы по элементам оборотных средств. Отношение норматива собственных оборотных средств к годовому объему СМР, выполняемых собственными силами, является характеристикой деятельности предприятия. Она устанавливается на ряд лет и пересчитывается лишь при изменении технологии, уровня индустриализации строительства, форм расчетов и других факторов. Норматив собственных оборотных средств строительной организации в целом равен сумме нормативов по элементам. После определения потребности в оборотных средствах устанавливаются источники их покрытия.
Показатели оборачиваемости оборотных средств
Коэффициент оборачиваемости является обобщающим показателем эффективности использования оборотных средств и рассчитывается следующим образом:
, (7.10)
где:
Сr - годовой объем СМР собственными силами;
Оr - средняя годовая сумма оборотных средств.
Коэффициент оборачиваемости может рассчитываться поквартально. Средняя годовая сумма оборотных средств рассчитывается как средняя по квартальным остаткам средств или как среднемесячная величина. Среднемесячный остаток оборотных средств определяется полусуммой остатков на начало и конец месяца. Обратным показателем коэффициента оборачиваемости является показатель фондоотдачи оборотных средств.
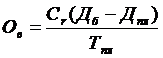
Оборачиваемость оборотных средств в днях выражается:
, (7.11)
Отметим, что общий показатель оборачиваемости оборотных средств в стране составляет 80 дней. Для строительной отрасли этот показатель больше.
Величина высвобождаемых оборотных средств в планируемом периоде в результате ускорения их оборачиваемости по сравнению с базисным периодом, определяется по формуле:
, (7.12)
где:
Дб, Дпл – средняя длительность одного оборота оборотных средств в базисном и планируемом периодах,
|
Из за большого объема этот материал размещен на нескольких страницах:
1 2 3 4 5 6 7 8 9 10 11 12 13 14 15 16 17 18 19 20 21 22 |



