Рыбу очищают от механических загрязнений и чешуи, мороженую рыбу размораживают до температуры - 1єС. Среднюю пробу мелкой рыбы массой не более 0,1 кг используют для анализа без разделки; рыбу массой от 1,0 до 1,0 кг разделывают на филе; рыбу массой более 1,0 кг и мясо морских млекопитающих после удаления шкуры и костей разделывают на куски длиной не более 5 см или массой не более 0,2 кг.
Отбор проб рыбы сушеной и вяленой производят аналогичным методом.
Существуют определенные правила для транспортирования каждого вида продукции.
Правила отбора упаковки и транспортировки средних проб
Отобранные для исследования жидкие пробы (молоко, молочные продукты, вода и др.) помещают в сухую чистую стеклянную или полиэтиленовую посуду (банки с навинчивающимися пробками, бутылки, флаконы), которую герметически закрывают. При необходимости скоропортящиеся пробы (молоко, молочные продукты т. п.) консервируют 40%-ным раствором формалина (1-2 мл/л).
Пробы корнеплодов, клубнеплодов, овощей, фруктов, бахчевых культур и т. п. помещают в двустенные полиэтиленовые или бумажные мешки и завязывают.
Сыпучие пробы (мука, крупы, макаронные изделия и т. п.) помещают в мешки из плотного полиэтилена и завязывают.
Пробы с большим содержанием влаги (зелень, ягоды и др.) взвешивают непосредственно после отбора, упаковывают в мешки из плотного полиэтилена и завязывают.
Пробы мяса, субпродуктов, костей, рыбы, птицы и т. п. во избежание порчи перед упаковкой завертывают в несколько слоев марли, смоченной 4-5% - ным раствора формалина, помещают в мешки из плотного полиэтилена и завязывают.
Стеклянную, полиэтиленовую посуду, мешки обертывают пергаментной бумагой, обвязывают шпагатом и опечатывают. Каждую пробу снабжают этикеткой, на которой указывают номер и название пробы, дату и место отбора, ее массу, мощность дозы гамма– излучения от партии и гамма – фон в помещении, где хранятся продукты; в случае высушивания указывают массу сырой и высушенной.
Упакованные образцы проб размещают в специально приспособленном ящике, перекладывают бумагой или ватой таким образом, чтобы обеспечить целостность отправляемого материала. Ящик запечатывают.
На отобранные пробы составляют сопроводительный документ (акт отбора проб) в 2–х экземплярах.
Один экземпляр акта и опись проб упаковывают вместе с пробами, направляемыми в радиологический отдел. Второй экземпляр акта остается на предприятии, в торговом учреждении, т. е. там, где производился отбор проб.
В исследовательской лаборатории полученные пробы регистрируются в специальном журнале, форма которого должна соответствовать форме акта отбора проб.
Для списывания взятых продуктов в хозяйстве составляют акт выемки проб в 2-х экземплярах.
Олин экземпляр остается у владельца сельскохозяйственной продукции, а второй хранится в течение 2-х лет в радиологическом отделе.
В акте указывают:
Кем производится отбор проб (Ф. И.О., должность учреждения). Кто присутствовал (Ф. И.О., должность, учреждение). Дата и место отбора проб (район, хозяйство, отделение, ферма, населенный пункт, склад и др., почтовый адрес). Уровень гамма – фона от отбираемой продукции и на местности. Происхождение и масса партии продукции. Опись отобранных проб и их масса. Куда направляются пробы и цель их отбора. Указать документ согласно которому производится списание (Приказ Департамента сельского хозяйства и продовольствия от 01.01.2001 г.). Подписи.После отбора проб их доставляют в радиологический отдел межобластной ветеринарной лаборатории «Краснодарская», где проводят подготовку проб для радиологического исследования и непосредственно радиометрирование.
Подготовка проб для исследования
Прием, хранение и обработка доставленных в лабораторию проб проводится вне измерительной комнаты, в помещении с оборудованным столом, вытяжным шкафом и приспособлениями для мытья тары, посуды, а, при необходимости, присланных проб.
Поступившие в радиологический отдел пробы освобождают от общей тары и, не нарушая внутренний упаковки, проверяют их загрязненность радионуклидами одним из переносных приборов.
В случае обнаружения повышенного уровня радиоактивности пробу, еще не раскрывая её упаковки, помещают на отдельный эмалированный кювет и производят её дальнейшую обработку отдельно от других проб с соблюдением мер предосторожности.
Доставленные в лабораторию пробы пищевых продуктов обрабатывают, как на первом этапе приготовления пищи. Корнеплоды, клубнеплоды промывают в проточной воде. С капусты удаляют 2-3 верхних листа.
Пищевую зелень, ягоды и фрукты промывают проточной водой. Мясо, рыбу моют, с рыбы удаляют чешую и внутренности. С колбасных изделий снимают оболочку, с сыра - слой парафина. Подготовленные продукты измельчают с помощью мясорубки, терки, кофемолки и т. д. Пищевую зелень, траву, сено и т. д. измельчают ножом в эмалированной кювете.
После предварительной проверки поступившего материала на загрязненность сверяют соответствие проб и этикеток с имеющейся в акте отбора проб описью и заносят паспортные данные каждой пробы в журнал. Рекомендуется иметь два журнала: в один, который хранится в сейфе, заносят паспортные данные каждой пробы и результат законченного исследования, т. е. удельную активность пробы. Во второй журнал, где вместо наименования пробы ставится номер, под которым она записана в первом журнале, фиксируют результаты всех этапов обработки и исследования пробы.
Предварительная обработка проб заключается в концентрировании содержащихся в них радиоактивных веществ. Методы, используемые для этой цели, различны, в зависимости от характера исследуемого материала.
Поступившие и зарегистрированные пробы распределяют по видам исследования. Для определения суммарной бета – активности не требуется большого количества золы, поэтому достаточно будет навески сырого материала в количестве 150-200 г, а зерна 30-50 граммов. Шерсти достаточно 25-30 граммов, фекалии 30-50 г, мочи, молока, крови 100-150 мл. Если же предварительная проверка проб обнаружила в части из них повышенный уровень радиации, такие пробы без предварительного обогащения подвергают радиометрическому исследованию в «толстом слое».
Для радиохимического анализа масса одной сырой пробы составляет 2-3 кг, кость берут в меньшем количестве 100-300 г на одну пробу. При определении йода-131 в молоке пользуются различными приемами; если определение проводится в зольном остатке, то на одну пробу расходуется 3 л молока, если же йод определяют в сыром, свежем молоке, то минимальная порция молока составляет 100 мл.
Пробы травы, мяса, рыбы, костей, овощей, корнеплодов измельчают, высушивают в сушильном шкафу при температуре 80-100°С. Воду, молоко и другие жидкости выпаривают на плите или газовой горелке в фарфоровой чашке, постепенно добавляя в чашку отмеренный объем жидкости. В молоко перед выпариванием следует добавить немного уксусной (или другой) кислоты, что вызывает коагуляцию белка, уменьшает вспучивание при нагревании и, таким образом, предотвращает возможность потери.
Однако, выпаривание проб жидкостей рекомендуется производить при постоянном наблюдении. Заканчивать высушивание жидкой пробы лучше в сушильном шкафу при температуре 100°С.
Высушивание продолжают до установления постоянной массы сухого остатка. Контрольное взвешивание высушенной пробы надо производить в той же чашке (тигле), в которой проба высушивалась, после полного её охлаждения. Установившуюся постоянную массу пробы записывают, обугливают сухой остаток путем прокаливания на электроплитке под тягой и переносят чашку (тигель) с пробой в муфельную печь для озоления.
Озоление рекомендуется производить, накрывая пробу фарфоровой крышкой или другой выпарительной чашкой, постепенно, не слишком быстро повышая температуру. Для исследования проб на суммарную бета-активность сжигание производят при температуре не выше 600 °С, так как более высокая температура приводит к потере калия, излучение которого в основном определяет естественную радиоактивность. Кроме того, быстрый нагрев и высокие уровни температуры приводят к сплавлению ряда проб со стенками тигля и образованию нерастворимого, неотделяемого от посуды осадка (пробы мочи и некоторых корнеплодов). Для анализа на цезий-137 озоление пробы производят при температуре не выше 400 °С, так как при температуре 450 °С и выше происходит выделение цезия из пробы и получим заниженный результат. Стронций-90 термостабилен, и озоление проводят при температуре 900-1000 °С.
Продолжительность озоления различна, она зависит от количества и вида органических соединений в пробе, и может длиться от 2-4 часов (сено, молоко) до 4-5 рабочих дней и более (кость, мясо, овощи). Критерием окончательного озоления является постоянная масса зольного остатка после 2-3 последовательных нагреваний. Взвешивание проводят после полного охлаждения пробы. Охлаждение пробы можно проводить в муфельной печи, выключая печь в конце рабочего дня. Но лучше, если еще теплый, не полностью охлажденный тигель переносят в эксикатор, на дно которого, под решетчатым вкладышем, помещают поглотитель влаги; (NaOH или др.). Этим приемом устраняется поглощение влаги из воздуха остывающей золой, которая обладает высокой гигроскопичностью и в лабораторных условиях быстро насыщается влагой, что может повлиять на точность дальнейших расчетов.
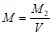
Внешним признаком достаточного озоления является белый и светло-серый цвет золы. Однако при озолении в муфельной печи некоторые пробы и при стабилизации массы имеют иную окраску: кровь – кирпично-красноватый оттенок, печень, шерсть – черный и темно-серый цвет. Полученный зольный остаток взвешивают вместе с посудой, высчитывают массу золы и определяют коэффициент зольности (М) как отношение массы золы (М2) к массе взятой на анализ сырой пробы (М1).
![]()
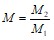
массу золы u сырой пробы выражают в одинаковых единицах измерения (г, кг).
Для жидкостей (молоко, вода, моча и др.) окончательный расчет удельной активности производят на единицу объема. Расчет коэффициента зольности проб жидкости производят по следующей формуле:
![]()
|
Из за большого объема этот материал размещен на нескольких страницах:
1 2 3 4 5 6 7 8 9 |



