.
Обращаем внимание на то, что дисперсия как суммы, так и разности независимых случайных величин
и
равна сумме их дисперсий, т. е.
.
Математическое ожидание, дисперсия, среднее квадратическое отклонение и другие числа, призванные в сжатой форме выразить наиболее существенные черты распределения, называются числовыми характеристиками случайной величины.
Обращаем внимание на то, что сама величина
— случайная, а ее числовые характеристики являются величинами неслучайными, постоянными.
В теории вероятностей числовые характеристики играют большую роль. Часто удается решать вероятностные задачи, оперируя лишь числовыми характеристиками случайных
величин. Применение вероятностных методов для решения практических задач в значительной мере определяется умением пользоваться числовыми характеристиками случайной величины, оставляя в стороне законы распределения.
Понятие математического ожидания
и дисперсии
можно распространить на непрерывные случайные величины.
Для получения соответствующих формул для
и
достаточно в формулах и для дискретной случайной величины
заменить знак суммирования
по всем ее значениям знаком интеграла с бесконечными пределами, «скачущий» аргумент
— непрерывно меняющимся
, а вероятность
— элементом вероятности
. Под элементом вероятности понимается вероятность попадания случайной величины
на участок
(с точностью до бесконечно малых более высоких порядков); геометрически элемент вероятности приближенно равен площади элементарного прямоугольника, опирающегося на отрезок
.

В результате получим следующие формулы для математического ожидания и дисперсии непрерывной случайной величины
:
![]()
(если интеграл абсолютно сходится) и
![]()
(если интеграл сходится).
На практике обычно область значений случайной величины, для которых
, ограничена и указанные интегралы сходятся, а значит, существуют
и
.
Все свойства математического ожидания и дисперсии, рассмотренные выше для дискретных случайных величин, справедливы и для непрерывных величин.
Биномиальное распределение, распределение Пуассона.
Показательное распределение. Равномерное распределение. Нормальный закон распределения.
Формула Бернулли
На практике часто приходится сталкиваться с задачами, которые можно представить в виде многократно повторяющихся испытаний при данном комплексе условий, в которых представляет интерес вероятность числа
наступлений некоторого события
в
испытаниях. Например, необходимо определить вероятность определенного числа попаданий в мишень при нескольких выстрелах, вероятность некоторого числа бракованных изделий в данной партии и т. д.
Если вероятность наступления события
в каждом испытании не меняется в зависимости от исходов других, то такие испытания называются независимыми относительно события
. Если независимые повторные испытания проводятся при одном и том же комплексе условий, то вероятность наступления события
в каждом испытании одна и та же. Описанная последовательность независимых испытаний получила название схемы Бернулли.
Теорема. Если вероятность
наступления события
в каждом испытании постоянна, то вероятность
того, что событие
наступит
раз в
независимых испытаниях, равна
,
где
.
Пример. Вероятность изготовления на автоматическом станке стандартной детали равна 0,8. Найти вероятности возможного числа появления бракованных деталей среди 5 отобранных.
Решение. Вероятность изготовления бракованной детали
. Искомые вероятности находим по формуле Бернулли :

Полученные вероятности изобразим графически точками с координатами
. Соединяя эти точки, получим многоугольник, или полигон, распределения вероятностей.

Рассматривая многоугольник распределения вероятностей, видим, что есть такие значения
(в данном случае, одно —
), обладающие наибольшей вероятностью
.
Число
наступления события
в
независимых испытаниях называется наивероятнейшим, если вероятность осуществления этого события
по крайней мере не меньше вероятностей других событий
при любом
.
Для нахождения
запишем систему неравенств:

Решение дается двойным неравенством:
Отметим, что так как разность
, то всегда существует целое число
, удовлетворяющее неравенству. При этом, если
— целое число, то наивероятнейших чисел два:
и
.
Биномиальное распределение
Дискретная случайная величина
имеет биномиальный закон распределения с параметрами
и
, если она принимает значения
с вероятностями
,
где
.
Как видим, вероятности
находятся по формуле Бернулли. Следовательно, биномиальный закон распределения представляет собой закон распределения числа наступлений события в независимых испытаниях, в каждом из которых оно может произойти с одной и той же вероятностью .
Ряд распределения биномиального закона имеет вид:

Очевидно, что определение биномиального закона корректно, так как основное свойство ряда распределения
выполнено, ибо
есть не что иное, как сумма всех членов разложения бинома Ньютона:
![]()
(отсюда и название закона — биномиальный).
Теорема. Математическое ожидание случайной величины
, распределенной по биномиальному закону,
,
а ее дисперсия
![]()
Биномиальный закон распределения широко используется в теории и практике статистического контроля качества продукции, при описании функционирования систем массового обслуживания, при моделировании цен активов, в теории стрельбы и в других областях.
Формула Пуассона
Предположим, что мы хотим вычислить вероятность
появления события
при большом числе испытаний
, например,
. По формуле Бернулли
.
Ясно, что в этом случае непосредственное вычисление по формуле Бернулли технически сложно, тем более если учесть, что сами
и
— числа дробные. Поэтому возникает естественное желание иметь более простые приближенные формулы для вычисления
при больших
. Такие формулы, называемые асимптотическими, существуют и определяются теоремой Пуассона, локальной и интегральной теоремами Муавра—Лапласа.
Наиболее простой из них является теорема Пуассона.
Теорема. Если вероятность
наступления события
в каждом испытании стремится к нулю (
) при неограниченном увеличении числа
испытаний (
), причем произведение
стремится к постоянному числу
, то вероятность
того, что событие
появится
раз в
независимых испытаниях, удовлетворяет предельному равенству
Строго говоря, условие теоремы Пуассона
при
, так что
, противоречит исходной предпосылке схемы испытаний Бернулли, согласно которой вероятность наступления события в каждом испытании
. Однако, если вероятность
— постоянна и мала, число испытаний
— велико и число
— незначительно (будем полагать, что
), то из предельного равенства вытекает приближенная формула Пуассона:

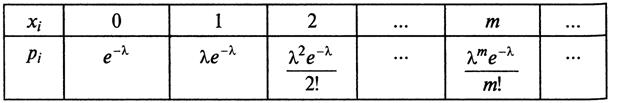
Распределение Пуассона
Дискретная случайная величина
имеет закон распределения Пуассона с параметром
, если она принимает значения
(бесконечное, но счетное множество значений) с вероятностями
Ряд распределения закона Пуассона имеет вид:

Очевидно, что определение закона Пуассона корректно, так как основное свойство ряда распределения
выполнено, ибо сумма ряда

(учтено, что в скобках записано разложение в ряд функции
при
).
На рисунке показан многоугольник (полигон) распределения случайной величины,
распределенной по закону Пуассона с параметрами
.

Теорема. Математическое ожидание и дисперсия случайной величины, распределенной по закону Пуассона, совпадают и равны параметру
этого закона, т. е.
,
.
При достаточно больших
(вообще при
) и малых значениях
(
) при условии, что произведение
— постоянная величина (
), закон распределения Пуассона является хорошим приближением биномиального закона, так как в этом случае функция вероятностей Пуассона хорошо аппроксимирует функцию вероятностей, определяемую по формуле Бернулли. Иначе, при
,
,
закон распределения Пуассона является предельным случаем биномиального закона. Так как при этом вероятность
события
в каждом испытании мала, то закон распределения Пуассона называют часто законом редких явлений.
По закону Пуассона распределены, например, число рождения четверней, число сбоев на автоматической линии, число отказов сложной системы в «нормальном режиме», число
«требований на обслуживание», поступивших в единицу времени в системах массового обслуживания, и др.
Показательное распределение
Непрерывная случайная величина
имеет показательный (экспоненциальный) закон распределения с параметром
, если ее плотность вероятности имеет вид:

Кривая распределения
и график функции распределения
случайной величины
приведены на следующих рисунках.

Теорема. Функция распределения случайной величины
, распределенной по показательному (экспоненциальному) закону, есть
,
ее математическое ожидание
,
а дисперсия
.
Из данной теоремы следует, что для случайной величины, распределенной по показательному закону, математическое ожидание равно среднему квадратическому отклонению, т. е.
.
Показательный закон распределения играет большую роль в теории массового обслуживания и теории надежности.
Равномерное распределение
Непрерывная случайная величина
имеет равномерный закон распределения на отрезке
, если ее плотность вероятности
постоянна на этом отрезке и равна нулю вне его, т. е.

Кривая распределения
и график функции распределения
случайной величины
приведены на следующих рисунках.


Теорема. Функция распределения случайной величины
, распределенной по равномерному закону, есть

ее математическое ожидание
![]()
а дисперсия
.
Равномерный закон распределения используется при анализе ошибок округления при проведении числовых расчетов (например, ошибка округления числа до целого распределена равномерно на отрезке [—0,5; +0,5]), в ряде задач массового обслуживания, при статистическом моделировании наблюдений, подчиненных заданному распределению. Так, случайная величина
, распределенная по равномерному закону на отрезке [0;1], «называемая случайным числом от 0 до 1», служит исходным материалом для получения случайных величин с любым законом распределения.
Нормальный закон распределения
Нормальный закон распределения наиболее часто встречается на практике. Главная особенность, выделяющая его среди других законов, состоит в том, что он является предельным законом, к которому приближаются другие законы распределения при весьма часто встречающихся типичных условиях.
Непрерывная случайная величина
имеет нормальный закон распределения (закон Гаусса) с параметрами
и
, если ее плотность вероятности имеет вид:
.
Термин «нормальный» не совсем удачный. Многие признаки подчиняются нормальному закону, например, рост человека, дальность полета снаряда и т. п. Но если какой-либо признак подчиняется другому, отличному от нормального, закону распределения, то это вовсе не говорит о «ненормальности» явления, связанного с этим признаком.
Кривую нормального закона распределения называют нормальной или гауссовой кривой. На рисунке приведены нормальная кривая
с параметрами
и
, т. е.
, и график функции распределения случайной величины
, имеющей нормальный закон.


Обратим внимание на то, что нормальная кривая симметрична относительно прямой
, имеет максимум в точке
, равный
, т. е.
,
и две точки перегиба
с ординатой
.
Можно заметить, что в выражении плотности нормального закона параметры обозначены буквами
и
, которыми мы обозначаем математическое ожидание
и дисперсию
.
Такое совпадение неслучайно. Рассмотрим теорему, устанавливающую теоретико-вероятностный смысл параметров нормального закона.
Теорема. Математическое ожидание случайной величины
, распределенной по нормальному закону, равно параметру
этого закона, т. е.
,
а ее дисперсия — параметру
, т. е.
.
Выясним, как будет меняться нормальная кривая при изменении параметров
и
.
Параметр
(он же математическое ожидание) характеризует положение центра, а параметр
(он же дисперсия) — форму нормальной кривой.
Нормальный закон распределения случайной величины с параметрами
,
, т. е.
, называется стандартным или нормированным, а соответствующая нормальная кривая — стандартной или нормированной.


Сложность непосредственного нахождения функции распределения случайной величины, распределенной по нормальному закону, связана с тем, что интеграл от функции является «неберущимся» в элементарных функциях. Поэтому их выражают через функцию
![]()
— функцию (интеграл вероятностей) Лапласа, для которой составлены таблицы.
Теорема. Функция распределения случайной величины
, распределенной по нормальному закону, выражается через функцию Лапласа
по формуле:
.
Геометрически функция распределения представляет собой площадь под нормальной кривой на интервале
. Она состоит из двух частей: первой, на интервале
, равной 1/2, т. е. половине всей площади под нормальной кривой, и второй, на интервале
, равной
.
Рассмотрим свойства случайной величины, распределенной по нормальному закону.
1. Вероятность попадания случайной величины
, распределенной по нормальному закону, в интервал
, равна
,
где
.
2. Вероятность того, что отклонение случайной величины
, распределенной по нормальному закону, от математического ожидания
не превысит величину
(по абсолютной величине), равна
,
где
.
Вычислим по формуле вероятности
при различных значениях
.
![]()
![]()
![]()
Отсюда вытекает «правило трех сигм»:
Если случайная величина X имеет нормальный закон распределения с параметрами
и
, т. е.
, то практически достоверно, что ее значения заключены в интервале
.

Нарушение «правила трех сигм», т. е. отклонение нормально распределенной случайной величины
больше, чем на
(по абсолютной величине), является событием практически невозможным, так как его вероятность весьма мала:
.
Найдем коэффициент асимметрии и эксцесс случайной величины
, распределенной по нормальному закону.
Очевидно, в силу симметрии нормальной кривой относительно вертикальной прямой
, проходящей через центр распределения
коэффициент асимметрии нормального
распределения
.
Эксцесс нормально распределенной случайной величины ![]()
,
где учли, что центральный момент 4-го порядка


(вычисление интеграла опускаем).
Таким образом, эксцесс нормального распределения равен нулю, и крутость других распределений определяется по отношению к нормальному.
В силу особенностей нормального закона распределения, он занимает центральное место в теории и практике вероятностно-статистических методов. Большое теоретическое значение нормального закона состоит в том, что с его помощью получен ряд важных распределений.
Закон больших чисел и предельные теоремы. Понятие о предельной теореме Ляпунова.
Под законом больших чисел в широком смысле понимается общий принцип, согласно которому, по формулировке академика , совокупное действие большого числа случайных факторов приводит (при некоторых весьма общих условиях) к результату, почти не зависящему от случая. Другими словами, при большом числе случайных величин их средний результат перестает быть случайным и может быть предсказан с большой степенью определенности.
Под законом больших чисел в узком смысле понимается ряд математических теорем, в каждой из которых для тех или иных условий устанавливается факт приближения средних
|
Из за большого объема этот материал размещен на нескольких страницах:
1 2 3 4 5 6 7 8 9 |



