Управлением активами пенсионного фонда занимается управляющая компания (управляющий). Инвестиции пенсионных фондов на рублевые и валютные счета, а также депозиты в кредитных организациях ограничены 20% инвестиционного портфеля фонда. Вложения в государственные облигации РФ (рублевые и валютные) считаются приоритетными и не ограничиваются нормативами. Максимальная доля вложений в ценные бумаги иностранных эмитентов не должна превышать 20 процентов. Что касается инвестиций в облигации отечественных эмитентов, то их размеры ограничиваются 10% от совокупного объема находящихся в обращении облигаций того или иного эмитента. При этом в облигации российских хозяйственных обществ может быть вложено до 50% пенсионных накоплений, а в течение последующих трех лет (начиная с 2004 г.) доля облигаций в инвестиционном портфеле управляющих компаний Фонда может увеличиться до 80%. Пенсионные фонды получили возможность приобретать ипотечные ценные бумаги, но только обращающиеся на организованном рынке ценных бумаг (биржах) и обеспеченные государственными гарантиями.
Большинство населения России (за исключением примерно 200 тыс. человек) доверило свои «пенсионные деньги» Пенсионному фонду РФ, агентом которого по приобретению и продаже государственных облигаций выступают Банк России и Внешэкономбанк. В 2002 г. в накопительную систему поступило 38 млрд руб., в 2003 гмлрд руб., в 2004 г. объем ежемесячных поступлений в накопительную систему составляет около 4 млрд руб. Решение об объемах и структуре вложений средств принимается самим Пенсионным фондом по согласованию с Минфином РФ и затем доводится до сведения Центрального банка. Такая система управления средствами на накопительных пенсионных счетах может рассматриваться как государственное управление отдельно от бюджета инвестиционным пулом целевого назначения на основе рыночных принципов. Действующее законодательство устанавливает участие негосударственных компаний в управлении средствами накопительной пенсионной системы; конкуренцию между управляющими компаниями.
В связи с запуском пенсионной реформы ПФР стал активным участником рынка облигаций. Вначале основная доля фондовых инвестиций приходилась на еврооблигации РФ, но в дальнейшем уровень доходности на рынке внешнего долга РФ перестал устраивать ПФР. Из пенсионных накоплений 2002 г. в еврооблигации РФ было направлено всего лишь 62% (вместо 86%), а в 2003 г. - 50%.
Произошло изменение структуры инвестиционного портфеля ПФР за счет роста инвестиций в государственные облигации внутреннего долга. Политика последовательного снижения доходности на рынке внутреннего государственного долга делает его одинаково доходным с рынком внешнего долга РФ, однако внешний рынок обладает большей ликвидностью и емкостью. Можно полагать, что с точки зрения долгосрочного инвестора вложения в среднесрочные государственные ценные бумаги (ОФЗ) выглядят привлекательнее по мере укрепления курса рубля относительно мировых валют. В этих условиях создаются необходимые предпосылки также для изменения временной структуры государственного долга в РФ.
Опыт зарубежных пенсионных фондов свидетельствует об особенностях структуры инвестиционного портфеля государственных фондов. В таблице 3 представлена структура такого портфеля в отдельных странах.
Таблица 3
Структура инвестиционного портфеля государственного пенсионного
фонда в различных странах, %
|
Страны |
Долговые инструменты |
Реальные активы | ||
|
Гос. облигации, депозиты |
Закладные, обеспеченные облигации |
Акции |
Недвижимость, | |
|
США |
100 |
0 |
0 |
0 |
|
Ю. Корея |
89 |
3 |
3 |
6 |
|
Япония |
63 |
17 |
19 |
0 |
|
Малайзия |
63 |
21 |
15 |
1 |
|
Швеция |
42 |
40 |
0 |
18 |
|
Среднее значение |
75 |
14 |
3 |
8 |
Практически во всех государственных пенсионных системах правительство обязывает фонды вкладывать значительную часть средств в государственные долговые инструменты и на депозитные банковские счета. В ряде стран это единственное направление вложения средств. Однако вложения в акции крупных компаний с высоким рейтингом, паевые фонды, недвижимость и другие высокодоходные активы также используются в странах с надежной и развитой финансовой системой и пруденциальным надзором. Внешнее управление с минимальным участием государства требует развитого рынка капитала и инвестиционной культуры населения.
Гражданам РФ, участвующим в системе государственного накопительного пенсионного страхования, предоставлено право выбора управляющей компании. Пенсионные накопления тех граждан, которые не сделают выбор управляющей компании, будут переданы в управление государственной управляющей компании. Создание государственной управляющей компании соответствует структуре государственного управления на рыночных принципах. Консервативная инвестиционная политика в рамках такой системы, как правило, обеспечивает низкую доходность инвестиций. Следствием сосредоточения инвестиций в государственной компании может стать ее доминирующее положение на рынке государственного долга, с вытеснением оттуда коммерческих банков. При этом, по прогнозам специалистов, после 2005 г. всего объема чистых внутренних заимствований российского государства будет недостаточно для размещения пенсионных инвестиций. В этих условиях, с учетом твердой ориентации правительства на поддержание политики бездефицитного бюджета, нельзя рассчитывать на высокую реальную доходность пенсионных инвестиций.
Расширение вложения пенсионных накоплений в облигации субъектов РФ предполагается на основе создания государственного агентства, которое выкупает долговые обязательства регионов, а затем эмитирует обеспеченные ими собственные облигации. По данным Минфина, общий долг субъектов РФ составляет 217,7 млрд руб., из которых 17,2% приходится на ценные бумаги. Сейчас облигации выпускают 29 субъектов Федерации и 11 муниципальных образований. Реализация схемы размещения пенсионных накоплений в региональные облигации позволит «поглотить» четверть пенсионных накоплений, однако оценивается как рискованная. Более того, она может ухудшить финансовое состояние регионов, которые получат возможность поддерживать дефицит бюджета и избыточные заимствования.
Негосударственные пенсионные фонды (НПФ) размещают более половины пенсионных резервов (67,2 млрд руб. на 1 ноября 2003 г.) на рынке негосударственных облигаций, и это больше, чем страховщики. В портфелях НПФ много некотируемых бумаг; рыночную стоимость векселей, в которые вложено 15% средств НПФ, определить зачастую невозможно. Некоторые фонды размещают в векселя до 50% резервов. Введение практики регулярной переоценки активов фонда может стать неким стимулом для осуществления инвестиций преимущественно в котируемые ценные бумаги. Однако не ожидается, что в 2004 г. темп прироста вложений НПФ в корпоративные облигации окажется значительным. Отчасти это обусловлено тем, что национальные шкалы кредитных рейтингов только начинают складываться, методикам их присвоения и интерпретации еще предстоит пройти проверку и завоевать доверие. Поэтому определяющей роли в новых размещениях для рынка облигаций корпоративных эмитентов фонды, вероятно, не сыграют. Более того, для начального периода формирования накопительной пенсионной системы ограничение на максимальную долю корпоративных облигаций в инвестиционных портфелях управляющих компаний целесообразно было бы установить на более низком уровне.
Во многих странах пенсионные фонды освобождаются от налогообложения, однако предусматривается обложение налогом получаемых пенсионерами пенсий. В этих условиях пенсионным фондам становится безразлично, за счет какого источника будет обеспечиваться их развитие – за счет получения накопленного купонного (процентного) дохода или за счет прироста капитала (прироста курсовой стоимости облигации).
1.3.2. Страховые компании
Страховые компании, как и пенсионные фонды, способны стать крупными инвесторами на рынке облигаций благодаря надежности таких вложений. Имея программы коллективных инвестиций в качестве основы для долгосрочных страховок-вкладов, они выходят на этот рынок с участием профессиональных посредников (инвестиционных компаний и инвестиционных банков). Однако в отличие от пенсионных фондов страховые компании являются коммерческими предприятиями, уплачивающими налоги. С учетом налоговой ставки, порядка налогообложения процентного дохода и прироста капитала по облигациям они формируют свою инвестиционную политику. Это обстоятельство отражается на соотношении между доходом и приростом капитала от облигаций, в которые компании готовы осуществлять инвестиции. При условии, что актуарные расчеты обязательств (долгосрочных и краткосрочных) и регулярно получаемых страховых премий правильно оценивают риск этого соотношения, страховые компании в первые годы своего существования ориентированы в основном на получение инвестиционного дохода.
Таблица 4
Усредненная структура инвестиций страховщиков РФ в 2003 году
|
№ п/п |
Тип вложений |
Удельный вес в % к активам |
|
1 |
Ценные бумаги и доли участия в уставных капиталах дочерних и зависимых компаний |
7 |
|
2 |
Акции и доли участия в уставных капиталах неаффилированных организаций |
5 |
|
3 |
Векселя банков |
13 |
|
4 |
Векселя небанковских организаций |
30 |
|
5 |
Корпоративные облигации |
2 |
|
6 |
Государственные и муниципальные ценные бумаги |
3 |
|
7 |
Банковские депозиты |
23 |
|
8 |
Денежные средства |
12 |
|
9 |
Недвижимость |
5 |
Вложения в ценные бумаги считаются рискованными инвестициями по сравнению с банковскими депозитами. Тем не менее в западной практике страховые компании инвестируют в акции и облигации до 35-40% своих страховых резервов, выступают серьезным институциональными игроками на рынке ценных бумаг. При этом инвестиции в ценные бумаги осуществляются как за счет средств страховых резервов, так и из собственных средств страховщиков, а потому общий ежегодный объем инвестиций страховщиков в ценные бумаги может превышать объем собранной премии. Кроме того, обращает на себя внимание тот факт, что именно компании, работающие по страхованию жизни, имеют больше возможностей для инвестиций. В России же страхование жизни в классическом виде практически отсутствует, и инвестиции на рынке облигаций у страховых организаций не популярны.
В связи с тем, что рынок государственных облигаций после августа 1998 г. медленно расширяется, инвестиционная политика отечественных страховых компаний ограничивается вложениями на депозиты в коммерческих банках, покупкой недвижимости. До 2002 года 70% инвестиций страховых компаний направлялось в банковскую сферу, сегодня растущая конкуренция и уменьшение в страховых портфелях доли зарплатных схем заставляют эти компании работать на фондовом рынке, а не довольствоваться низкодоходными и надежными вложениями. Однако страховые компании, как и пенсионные фонды, испытывают недостаток в надежных финансовых инструментах на рынке облигаций. Поэтому для этой группы инвесторов были разработаны и выпущены государственные сберегательные облигации (ГСО), которые они смогут использовать для размещения резервов. Министерство финансов утвердило условия эмиссии и обращения государственных сберегательных облигаций. Эти ценные бумаги, предназначенные для институциональных инвесторов, имеют купон, выплаты по которому предполагается производить два раза в год. Предусматривается размещение государственных сберегательных облигаций на аукционной основе среди агентов, выбранных Минфином в ходе тендера. При этом обращение данных облигаций на вторичном рынке не планируется, а Минфин станет выкупать облигации у инвесторов.
Учитывая, что по законодательству страховые компании вправе вкладывать в акции и корпоративные облигации до 30% от суммы страховых резервов, но в реальности многие из них не используют этот лимит даже наполовину, объем их инвестиций в негосударственный сегмент долгового рынка можно оценить не более чем в 20 млрд руб. Несмотря на столь незначительный объем вложений, страховые компании как инвесторы на рынке не только корпоративных, но и субфедеральных облигаций обладают достаточно высоким потенциалом. Однако в условиях недостаточной кредитной истории у эмитентов, отсутствия заранее известных критериев оценки рисков, по которым работают их западные коллеги, юридически отработанной практики проведения дефолтов: переговоры с кредиторами, переоформление задолженности, взыскание имущества – приобретает особую значимость проблема оценки и управления рисками.
Следует отметить тот факт, что доходы страховых компаний напрямую не зависят от уровня рублевой ликвидности, а в большей степени определяются социально-экономической ситуацией в стране и законодательством (введение ОСАГО в 2003 г.). Поэтому участие страховых компаний на рынке облигаций вносит стабилизирующий эффект в случае ухудшения ситуации с ликвидностью. И здесь рынок облигаций корпоративных эмитентов выглядит для страховщиков более предпочтительным по сравнению с рынком акций, на котором отмечаются меньший уровень ликвидности и высокая доходность, но риски, возникающие при работе с акциями, часто превышают те уровни, которые могут позволить себе страховые компании. И все же пока страховые компании инвестируют в рынок негосударственных облигаций меньше, чем негосударственные пенсионные фонды.
Повышение активности страховых компаний на рынке облигаций можно ожидать в связи с появлением ипотечных облигаций, выпуск которых будут стимулировать государственные гарантии в размере 4,5 млрд руб., предусмотренные в бюджете РФ на 2004 год. Несомненно, эти гарантии имеют отношение не ко всей коммерческой ипотеке и будут предоставляться по тем ссудам, оформляемым через Федеральное агентство ипотечного жилищного кредитования и его филиалы. Интерес к ипотеке у страховых компаний будет возрастать с развитием страхования жизни.
В рамках разрабатываемой программы инвестиционная компания «Тройка-Диалог» совместно с «Росгосстрахом» создает региональную сеть. Появление на ипотечном рынке новых участников и государственных гарантий неизбежно - в перспективе - приведет к некоторому снижению процентных ставок по кредитам (на 3-4%). Льготы, например, молодым семьям сделают доступными кредиты для более широкого круга граждан. С другой стороны, огромные денежные потоки будут направлены на рынок жилья, который, в свою очередь, отреагирует повышением цен. И это может продолжаться в течение нескольких лет, пока денежные потоки на рынок жилья не уравновесятся адекватным ростом объемов строительной продукции.
Строгие требования государственного надзора, ограничивая направления инвестиций страховых компаний по видам активов, вполне определенно ориентируют их на весьма осторожную инвестиционную политику. В Германии, например, инвестиции в высокорискованные ценные бумаги вообще запрещены, а в Соединенных Штатах в них можно размещать не более 1% активов. В Великобритании вложения в различные типы негосударственных ценных бумаг ограничивают 1-5%, причем в акции и долговые обязательства, приобретаемые по договорной цене, можно направлять не более 0,1%, в долговые обязательства (облигации) под залог земли - 5%, в акции и облигации строительных обществ - 1-2,5% (в зависимости от срока оплаты) и др. Следует отметить, что российские нормы гораздо мягче, чем западные, к тому же и такая детализация по типам ценных бумаг, свойственная зарубежным правилам, у нас почти отсутствует. Однако в некоторых странах действует прямое требование размещать средства в государственные облигации, обеспечивая тем самым не только защиту страхователей, но и стабильное размещение части государственного долга.
1.3.3. Инвестиционные фонды
Инвестиционный фонд – специализированная посредническая компания, выступающая в роли крупного инвестора по отношению к эмитенту и в роли эмитента по отношению к широкому кругу инвесторов. Инвестиционный фонд (акционерный или паевой) как коллективный инвестор осуществляет аккумуляцию средств мелких инвесторов, которые благодаря фонду получают доступ на различные сегменты рынка облигаций. Его инвестиционные цели значительно краткосрочнее, чем у пенсионного фонда или страховых компаний. Акционерный фонд, создаваемый в форме открытого акционерного общества, привлекает денежные средства инвесторов, продавая им свои акции, однако по способу выхода инвесторов из него этот фонд является в основном закрытым фондом корпоративного типа, так как акции Фонда свободно обращаются на рынке, а не выкупаются.
Паевые инвестиционные фонды (ПИФы) привлекают средства инвесторов непосредственно через управляющую компанию и предоставляют им право выхода из Фонда в любой момент (открытый фонд), либо в определенные периоды времени (один или два раза в год – интервальный фонд). В зарубежной практике, в странах с английской системой права, существуют трастовые инвестиционные фонды, в которых инвестор передает свои средства попечителю в доверительную собственность, а попечитель от своего имени заключает договор с управляющим для управления этими активами; при этом управляющий может не иметь информации об инвесторе.
Следует отметить, что инвестиционный пай представляет собой довольно рискованную ценную бумагу, не гарантирующую доходов. Прибыль можно получить только в том случае, если выкупная цена пая окажется выше той, по которой инвестор (владелец пая) покупал его. Что касается самого ПИФа, то вопрос о том, будет ли чистая позиция фонда позицией продавца или покупателя, решается для его управляющего количеством новых инвестиционных паев, которые желает приобрести население, или количеством паев, которые фонд желает выкупить. Макроэкономический рост способствует получению инвестиционными фондами повышенных доходов, делая их чистыми инвесторами. Однако, нестабильность и цикличность в экономике требуют от управляющего фондом постоянно осуществлять выбор между фондовыми инструментами, в которые осуществляются инвестиции, с учетом соотношения риск/доходность. Не разрешается инвестиционным фондам давать взаймы, совершать фьючерсные и опционные сделки. В процессе отбора особое внимание обращается на рыночную ликвидность приобретаемых ценных бумаг, а исполнение обязательства по выкупу паев потребует от управляющего денежной наличности.
Принятие закона «Об инвестиционных фондах» привело к появлению в 2002 году принципиально новых разновидностей ПИФов: индексных фондов, фондов денежного рынка, фондов облигаций, фондов недвижимости, для паев которых характерно вторичное обращение. В настоящее время на долю всех этих новых фондов приходится не более 4%; при этом индексные фонды могут получить перспективы развития в условиях развивающегося рынка. Фонды денежного рынка, покупающие краткосрочные облигации, способны превратиться в конкурента коммерческих банков, так как с их счетов инвестор может осуществлять любые платежи. Современное российское законодательство позволяет создавать около тридцати различных типов паевых фондов: фонды с целью увеличения капитала, фонды с целью роста дохода; фонды с целью роста капитала и дохода; сбалансированные фонды (фонды с целью балансирования инвестиций); фонды обыкновенных акций; фонды привилегированных акций и облигаций; фонды муниципальных облигаций и другие.
В настоящее время владельцев инвестиционных паев менее 1% населения страны, причем фонды в основном сосредоточены в Москве (72), Санкт-Петербурге (18), Новосибирске и Перми (по 4), Иркутске, Казани, Тольятти (по 1). С точки зрения диверсификации вложений преобладают фонды смешанных инвестиций (45%); облигационные фонды составляют 20%; на фонды, осуществляющие вложения в акции, приходится 35%. Интерес к инвестиционным фондам со стороны физических лиц отчасти стимулирует пенсионная реформа, предусматривающая выбор фонда для инвестирования накопительной части пенсионных резервов. По данным Госкомстата, за 2003 г. не более 15% накоплений населения вложены в ценные бумаги; изменение официального курса доллара США составило – 7%, средняя ставка по годовым депозитам коммерческих банков России колебалась в пределах 10-12% (при уровне инфляции 12%), а средняя итоговая величина прироста стоимости паев ПИФов России в пределах 15-50%.[2]
Для акционерных инвестиционных фондов существуют ограничения на вложения: в денежные средства, депозиты и ценные бумаги с признаваемой котировкой (не менее 10% активов), из них в депозиты одного банка может быть направлено не более 10%; иностранные ценные бумаги (облигации государств, международных финансовых институтов и корпораций, а также акции иностранных акционерных обществ), имеющие кредитный рейтинг не ниже А (не более 20%); ценные бумаги одного корпоративного эмитента (максимум 20%), недвижимость и права на нее, ценные бумаги, без признаваемой котировки (максимум 50%) и др. Наиболее целесообразным для них может стать формирование портфелей роста, ориентированных на вложения в акции, а также смешанных портфелей, куда наряду с акциями могут входить облигации (государственные, муниципальные и корпоративные), котируемые через организаторов торговли. Соответственно, такие фонды могут получать больше выгод от прироста капитала, чем от получения процентных (купонных) доходов.
Открытым ПИФам разрешается вкладывать средства в наиболее ликвидные активы, которые можно обратить в денежные средства. К ним относятся, прежде всего, банковские депозиты, однако с ограничением не более 25% активов на один банк, государственные облигации (без ограничения для облигаций, полученных в порядке новации), акции и облигации российских котировкой через организаторов торговли при условии, что выпуск облигаций сопровождался регистрацией проспекта эмиссии (не более 20% на одного эмитента). Облигации, которые при покупке имели котировку у организатора торговли, но потом ее утратили, оцениваются первые 25 дней исходя из средневзвешенной рыночной цены после прекращения котирования с ежедневным уменьшением ее на 2%, т. е. через 25 дней она будет равна 50% от последней средневзвешенной рыночной цены. Доля облигаций (ценных бумаг), утративших котировку, не должна превышать 10% активов фонда.
Интервальные инвестиционные ПИФы имеют большие возможности для инвестиций в ценные бумаги корпоративных эмитентов – до 35% от стоимости активов, в российские государственные и муниципальные облигации – без каких-либо ограничений. В то же время у них не менее 35% активов должны быть представлены в виде денежных средств, депозитов и ценных бумаг с котировкой через организатора торговли. Все ПИФы не могут вкладывать средства в векселя, паи российских инвестиционных фондов, если они не относятся к фондам денежного рынка и фондам облигаций, а также ценные бумаги управляющей компании и ее аффилированных лиц, ценные бумаги специализированного депозитария и аудитора фонда. На начало 2004 г. стоимость чистых активов паевых инвестиционных фондов, вкладывающих средства в облигации, и фондов смешанного типа оценивалась в 8,6 млрд руб. – сумма весьма скромная для рынка облигаций. Основным объектом инвестирования для ПИФов, как правило, являются наиболее доходные бумаги «третьего эшелона».
1.3.4. Коммерческие банки
Сложившаяся модель взаимодействия банковской системы и реального сектора оказывает деформирующее воздействие на сами банки. Поддерживается малоэффективная структура балансов, в которой приносящие доход работающие активы (кредиты и ценные бумаги) вытеснены высоко ликвидными активами (остатки на корреспондентских счетах в Банке России и иностранных банках). По оценкам Центра макроэкономического анализа и краткосрочного прогнозирования, доля работающих активов к 2004 г. снизилась до 65% (с 75% в 1998 г.). Ликвидные активы, наоборот, возросли с 16% до 28%. В свою очередь, преобладание недостаточно ликвидных инструментов на рынке облигаций блокирует возможность трансформации «коротких» ресурсов банков в «длинные» займы. Объем активов банковского сектора России составил 42% ВВП (по данным на 1 января 2004 года), объем банковского капитала – 6% ВВП, объем кредитов нефинансовым предприятиям и организациям – 18% ВВП.
Российские коммерческие банки до августа 1998 г. принимали активное участие в качестве профессиональных инвесторов (дилеров) на рынке ГКБО/ОФЗ. Государственные облигации для них как объект инвестирования привлеченных средств являлись достаточно привлекательными по сравнению с кредитами. Однако дефолт и принудительная реструктуризация (новация) на рынке государственного долга РФ привели к ликвидации института первичных дилеров; многие коммерческие банки, активно работавшие на рынке ГКБО-ОФЗ, оказались на грани банкротства. Снижение доходности, удлинение сроков заимствования явились сдерживающим фактором активного участия коммерческих банков на рынке государственных облигаций новых выпусков. И все же на внутреннем рынке государственных облигаций сегодня банковский сектор составляет основную группу инвесторов, хотя в их составе произошли существенные изменения. Так, почти половина ОФЗ принадлежит Банку России, в то время как к концу 1997 года в инвестиционном портфеле Центробанка было не больше четверти ГКБО/ОФЗ, обращающихся на рынке. Второе место среди инвесторов в ГКБО/ОФЗ занимает Сбербанк, который под низкую доходность скупает облигации на аукционах, проводимых Минфином, а также наращивает свой портфель за счет покупки облигаций на вторичном рынке. В результате такой инвестиционной деятельности банков отмечается падение доходности почти всех серий ОФЗ, включая «дальние», ниже уровня инфляции, т. е. не обеспечивается реальная доходность.
![]()
Что касается внешнего «рыночного» государственного долга России, то в инвестиционном портфеле Сбербанка сосредоточено 8% от суммы его размещения на первичном рынке, по вторичному обороту лидиpyет Внешторгбанк, на долю которого приходится 3 процента рынка еврооблигаций и ОВГВЗ. Кроме того, почти половина этих бумаг находится у номинальных держателей, зарегистрированных в реестре владельцев (инвесторов) облигаций, но не являющихся таковыми. В целом можно отметить, что в настоящее время внутренний рынок государственных ценных бумаг контролируют Центральный банк, Сбербанк, а Внешторгбанк активно увеличивает спектр своего влияния на рынке государственного внешнего долга России. Эти банки, довольно дешево, отнюдь не по рыночным ставкам кредитуют Правительство РФ, поддерживая политику «дешевых денег».
Таблица 5
Основные показатели рынка ГКБО/ОФЗ в июле 2004 г.
|
Дата Показатели |
30.06.04 |
01.07.04 |
02.07.04 |
05.07.04 |
06.07.04 | ||||
|
Сумма средств в торговой системе ГКБО-ОФЗ-ОБР, млн руб. |
2240,6 |
1486,2 |
1614,8 |
1677,9 |
1532,5 | ||||
|
Задолженность по обратному модифицированному РЕПО, млрд руб. |
55,96 |
55,96 |
55,96 |
60,97 |
60,97 | ||||
|
Характеристики рынка ГКБО-ОФЗ | |||||||||
|
Объем в обращении по номиналу, млрд руб. |
459,48 |
459,48 |
459,48 |
459,48 | |||||
|
Дюрация рыночного портфеля ГКБО-ОФЗ, дней |
1645,27 |
1645,05 |
1644,99 |
1641,78 | |||||
Следует отметить, что существует разрыв в срочности ресурсной базы банковской системы и дюрации (сроков обращения) облигаций. Не более 20% банковских пассивов имеют срочность свыше одного года, при этом доля негосударственных облигаций аналогичной срочности превышает 70% рыночной стоимости облигаций корпоративных эмитентов. Поэтому для российских банков характерна политика финансирования длинных активов короткими деньгами. По состоянию на конец 2003 г. доля вложений банковского сектора в активы свыше года превысила 34%. Более того, банки используют для этих инвестиций и сверхкороткие деньги межбанковского рынка: доля пассивов со срочностью менее одного месяца оценивалась Центральным банком на уровне 50%, а активов до одного месяца — в 33%. Следствием этого становится высокая зависимость российской банковской системы от уровня рублевой ликвидности.
Исключением из общей картины является Сберегательный банк РФ. В силу особого статуса его пассивная база на 65% формируется за счет средств населения, 40% из которых составляют депозиты сроком свыше одного года. При этом кредитный портфель банка не успевает за ростом его ресурсной базы. На конец 2003 г. сумма привлеченных Сбербанком депозитов составляла 882 млрд руб., а кредитный портфель — 660,5 млрд руб. Вследствие этого банк является финансово избыточным и готов предоставлять своим заемщикам более длинные и дешевые ресурсы. Поэтому вложения Сбербанка на рынке облигаций корпоративных эмитентов по большей части являются не спекулятивными, а долгосрочными. Можно ожидать, что Сбербанк РФ повысит свою активность на рынке корпоративных облигаций и тем самым поднимет спрос на уровень высокого объема предложения. Более того, в случае неблагоприятной ситуации на межбанковском рынке стабилизирующее воздействие на процентные ставки долгового рынка может оказать именно приход в качестве инвестора Сбербанка РФ. По мере обретения устойчивости рынком корпоративных облигаций и расширения участия в нем новых групп инвесторов (институциональные инвесторы, нерезиденты) Сбербанк РФ переориентируется на операции с другими инструментами (долгосрочные ссуды предприятиям, ипотечные ссуды населению).
В условиях доминирующего положения банков, зависящих от участия в их текущей деятельности государства, частные коммерческие банки (их число более 1 тыс.) оказываются вытесненными с наиболее ликвидных и наименее рискованных сегментов рынка облигаций и вынуждены искать направления для инвестирования своих средств на более рискованных его сегментах – в облигации предприятий «второго» и «третьего» эшелонов. Кроме того, они осуществляют вложения в акции, векселя, производные инструменты и прочее, в результате чего их инвестиционные риски возрастают. Подобное положение спровоцировало череду кризисов (спадов) именно в секторе частных российских коммерческих банков – первый из них и наблюдался в июне 2004 г.
Концепцией реформирования банковской системы России предусматривается создание групп банков: крупные банки, специализирующиеся преимущественно на кредитовании; банки-стратегические инвесторы на рынке ценных бумаг, концентрирующие долгосрочные ресурсы (в эту группу может войти Сбербанк); прочие банки, выступающие в качестве краткосрочных инвесторов на рынке ценных бумаг и кредиторов первых двух групп банков. Стимулированию инвестиционной деятельности банков будет способствовать также система централизованного страхования целевых вкладов, направляемых на инвестирование в первоклассные долговые обязательства.
1.3.5. Частные лица
Приобретение облигаций частными (физическими) лицами осуществляется посредством использования сбережений для создания накоплений. Доля физических лиц на рынке государственных бумаг невелика. Однако интересен тот факт, что государственные краткосрочные бескупонные облигации (ГКБО) и облигации федеральных займов (ОФЗ) они предпочитают больше, чем облигации государственного сберегательного займа (ОГСЗ), хотя выпуски сберегательных займов предназначены, прежде всего, для физических лиц. Как сформулировано в Указе Президента РФ № 000, облигации сберегательных займов выпускаются для обеспечения гарантий сохранности сбережений населения и стабилизации ситуации на денежном рынке и рынке ценных бумаг. Сегодня у населения находится лишь 20% ОГСЗ, находящихся в обращении.
Макроэкономическая нестабильность, кризисные явления в банковской системе, недостаточная ликвидность фондового рынка стимулируют инвестиции населения в евро, доллары США. По оценкам С. Глазьева, «кредитование экономики США Россией составляет порядка 70 млрд долларов, где 40 млрд – сбережения населения»[3]. По мере укрепления курса рубля на основе экономического роста, макроэкономической стабилизации в стране, укрепления института частной собственности будут создаваться необходимые предпосылки для вовлечения сбережений населения посредством рынка облигаций в кругооборот доходов и продуктов.
Формирование разветвленной системы коллективного инвестирования позволяет частным лицам осуществлять инвестиции на рынке облигаций через институты коллективных инвесторов, однако они могут самостоятельно выходит на этот рынок и принимать инвестиционные решения и связанные с ними риски. Интерес населения к фондовому рынку стал проявляться после крушения финансовых «пирамид». По данным Госкомстата до 10% всех рублевых сбережений физических лиц в 1997 г. вкладывалось в ценные бумаги в основном за счет уменьшения вкладов в коммерческие банки, в результате вложения физических лиц в ценные бумаги составили почти 19% от суммарного объема депозитов населения в коммерческих банках. Эти тенденции четко прослеживались до августовского кризиса 1998 г.
1.4. Первичный и вторичный рынки
1.4.1. Аукционная торговля
Существует множество форм торговли облигациями. При этом аукционная торговля становится основной формой организации биржевой торговли, имеющей разновидности. В условиях создания систем саморегулирования рынков (биржевых и внебиржевых), распространения электронных систем торговли происходят интеграционные процессы между организованными и неорганизованными, биржевыми и внебиржевыми рынками. Очевидно, что формы организации торговли зависят от состояния рынка: его глубины, ширины и уровня сопротивляемости, связанного с диапазоном цен покупки и продажи. Чем больше объем спроса и предложения на ценные бумаги, тем рынок шире, чем крупнее объемы заявок инвесторов и концентрированнее спрос и предложение, тем он глубже.
В России биржевая торговля (отказ от господства централизованных форм государственного управления экономикой) создавалась начиная с простых аукционов продавцов по типу английского аукциона, когда продавцы до начала торговых собраний подают свои заявки на продажу фондовых ценностей по начальной цене. Они сводятся в котировочных бюллетенях, которые раздаются участникам биржевого торга. В ходе аукциона, если есть конкуренция покупателей, цена последовательно повышается шаг за шагом (размер шага аукциона определяется до начала торговли), пока не останется один покупатель и ценные бумаги не начнут продаваться по самой высокой цене.
Возможен и голландский аукцион, для организации продажи крупного пакета облигаций одному инвестору (или ограниченному кругу инвесторов).
По форме аукциона втемную, или так называемого заочного аукциона, Министерство финансов РФ организует на ММВБ размещение отдельных видов федеральных облигаций (ГБКО, ОФЗ), а Центробанк России – ОБР. При этом Центральный банк участвует при размещении федеральных облигаций в качестве агента Минфина РФ, а также выполняет функции дилера, контролирующего органа, организатора денежных расчетов на первичном и вторичном рынках этих облигаций.
Схема организации заочного аукциона на первичном рынке ГБКО/ОФЗ может быть представлена в виде нескольких этапов. До начала аукциона дилеры переводят денежные средства в расчетный центр на свои торговые счета (т. е. открывают свои денежные позиции), которые блокируются на период аукциона до завершения расчетов. Затем дилер (первичный дилер) подает заявку на приобретение облигаций в определенном размере (проценте) от объявленного объема эмиссии по номиналу. При этом на аукцион принимаются заявки двух типов: конкурентные заявки, в которых указывается цена покупки и процент участия в аукционе (объем покупки), и неконкурентные заявки, где отражается сумма денежных средств на покупку по средневзвешенной цене аукциона. Считается, что цена, указанная в конкурентной заявке, является ценой предложения для заключения договора купли-продажи, таким образом, эта заявка является лимитной.
Во всех заявках указываются код дилера и код инвестора, позиция по счету депо и денежная позиция, в счет которых подана заявка. При приеме заявки торговая система фиксирует время ее поступления, а также осуществляет уменьшение значения денежной позиции, указанной в ней на всю сумму денежных средств и комиссионного вознаграждения. Средневзвешенная цена аукциона, по которой предполагается исполнение неконкурентной заявки, рассчитывается по формуле:
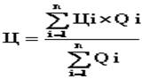
, где
Ц - средневзвешенная цена на аукционе;
Цi - цена по удовлетворенной конкурентной заявке;
Qi - количество облигаций по удовлетворенной заявке.
Как правило, подача неконкурентных заявок ограничивается, для чего устанавливается соотношение между объемами конкурентных и неконкурентных заявок (оно может составлять 70/30). Запрещается предварительный сговор дилеров по ценовым условиям аукциона. Конкурентные заявки удовлетворяются полностью по указанным в заявках ценам, но не ниже минимальной цены продажи или так называемой цены отсечения, которую определяет Минфин РФ на основе анализа всех поступивших заявок на аукцион. Она устанавливается на приемлемом для продавца уровне, обеспечивающем максимальный объем размещения федеральных облигаций.
Заявки, в которых указывается цена ниже цены отсечения, к исполнению не принимаются. Аукцион может быть признать состоявшимся, если размещено облигаций на сумму не менее 20% от общего объема облигаций, предлагавшихся на аукционе. В необходимых случаях Центробанк осуществляет по поручению Минфина РФ дополнительную продажу (доразмещение) непроданных на аукционе облигаций.
Приобретение облигаций на аукционе ЦБР осуществляет при предоставлении Минфину РФ краткосрочного кредита на покрытие дефицита государственного бюджета либо при предоставлении кредита на покрытие кассовых разрывов, возникающих в процессе выпуска и погашения федеральных облигаций. В обоих случаях Центробанк РФ приобретает облигации по средневзвешенной цене аукциона и в пределах лимита кредитования федерального правительства. Как контролирующий орган Центробанк РФ:
|
Из за большого объема этот материал размещен на нескольких страницах:
1 2 3 4 5 6 7 8 9 |



