
Рисунок 3.1 — Долгосрочные целевые показатели для бассейна р. Луга и южных рек Финского залива
Таблица 3.7 — Изменение нагрузки при долгосрочном планировании для бассейна р. Луга и южных рек Финского залива
ХПК, т/год | Азот нитритный, кг/год | Железо общее, кг/год | Железо общее, кг/год | Цинк, кг/год | Марганец, кг/год | Алюминий, кг/год | ||||||||
Изменение нагрузки | % | Изменение нагрузки | % | Изменение нагрузки | % | Изменение нагрузки | % | Изменение нагрузки | % | Изменение нагрузки | % | Изменение нагрузки | % | |
РВП 1 | 12,5 | 32 | 67,0 | 87 | 202 | 41 | 2,32 | 46 | 0 | 0 | 52,5 | 57 | 0,0 | 0 |
РВП 2 | 86,3 | 30 | 659 | 89 | 1763 | 43 | 14,6 | 42 | 0 | 0 | 399 | 51 | 0,0 | 0 |
РВП 3 | 74,6 | 39 | 44,2 | 50 | 839 | 53 | 0,883 | 10 | 0 | 0 | 78,1 | 89 | 0,0 | 0 |
РВП 4 | 80,7 | 19 | 197 | 67 | 2508 | 72 | 12,6 | 56 | 0 | 0 | 119 | 85 | 0,0 | 0 |
РВП 5 | 3,1 | 30 | 4,79 | 63 | 63,9 | 58 | 0,430 | 46 | 0 | 0 | 11,7 | 95 | 0,0 | 0 |
РВП 6 | 3,2 | 33 | 30,5 | 88 | 157 | 60 | 0 | 0 | 0 | 0 | 17,4 | 50 | 30,5 | 54 |
РВП 7 | 34,5 | 43 | 17,3 | 50 | 1208 | 34 | 0 | 0 | 0 | 0 | 138 | 62 | 362 | 58 |
РВП 8 | 113 | 5 | 3292 | 78 | 22834 | 55 | 313 | 69 | 2581 | 58 | 4670 | 63 | 0,0 | 0 |
р. Луга | 235 | 26 | 920 | 67 | 4599 | 44 | 20,7 | 30 | 0 | 0 | 621 | 45 | 0,0 | 0 |
р. Оредеж | 62,7 | 52 | 322 | 87 | 819 | 34 | 10,2 | 46 | 0 | 0 | 196 | 45 | 0,0 | 0 |
р. Саба | 0,675 | 24 | 1,96 | 69 | 15,5 | 41 | 0,276 | 71 | 0 | 0 | 2,93 | 46 | 0,0 | 0 |
р. Дудергофка | 9,42 | 6 | 155 | 73 | 805 | 33 | 17,2 | 60 | 159 | 60 | 165 | 41 | 0,0 | 0 |
р. Красненькая | 103 | 5 | 1108 | 45 | 35873 | 62 | 281 | 79 | 1831 | 31 | 2698 | 44 | 0,0 | 0 |
р. Стрелка | 14,4 | 7 | 588 | 76 | 771 | 28 | 0 | 0 | 154 | 53 | 193 | 40 | 0,0 | 0 |
р. Пейпия | 0,563 | 14 | 25,1 | 86 | 18,0 | 39 | 0 | 14 | 0 | 0 | 4,23 | 53 | 1,04 | 11 |
р. Систа | 3,67 | 54 | 0,0 | 0 | 198 | 60 | 0 | 7 | 0 | 0 | 23,8 | 67 | 49,5 | 70 |
р. Коваши | 32,5 | 44 | 0,0 | 0 | 1135 | 35 | 0,180 | 5 | 0 | 0 | 131 | 62 | 344 | 59 |

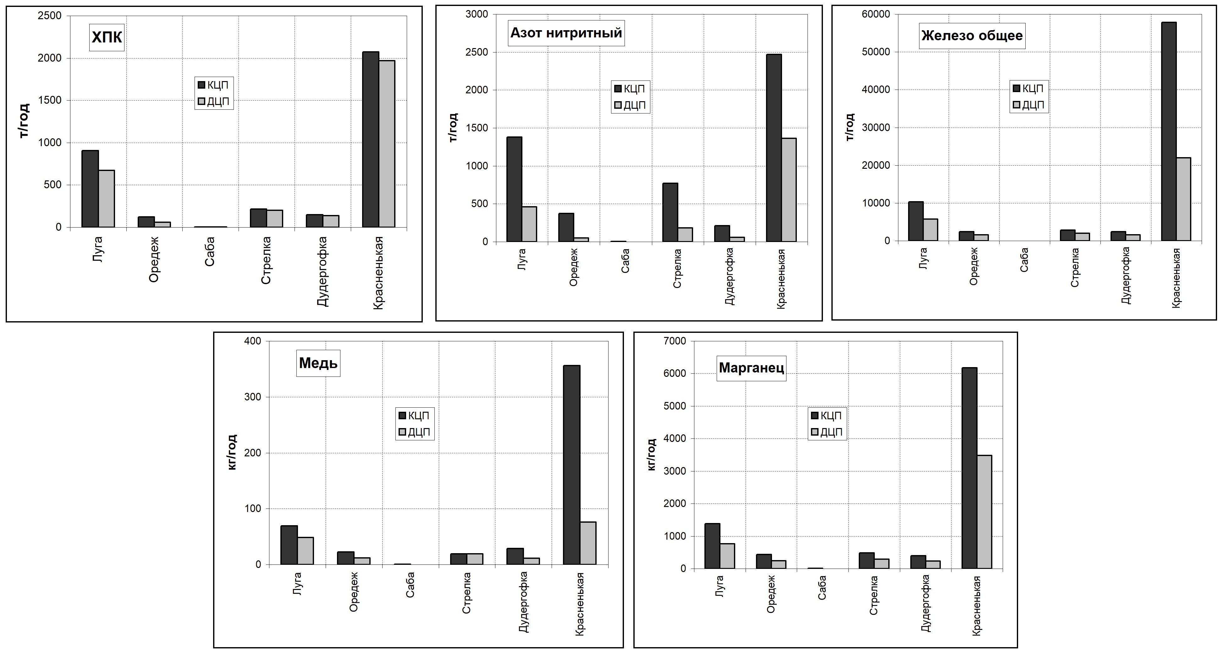
Рисунок 3.2 – Сравнительная диаграмма значений КЦП и ДЦП по водным объектам бассейна р. Луга и рек южной части Финского залива

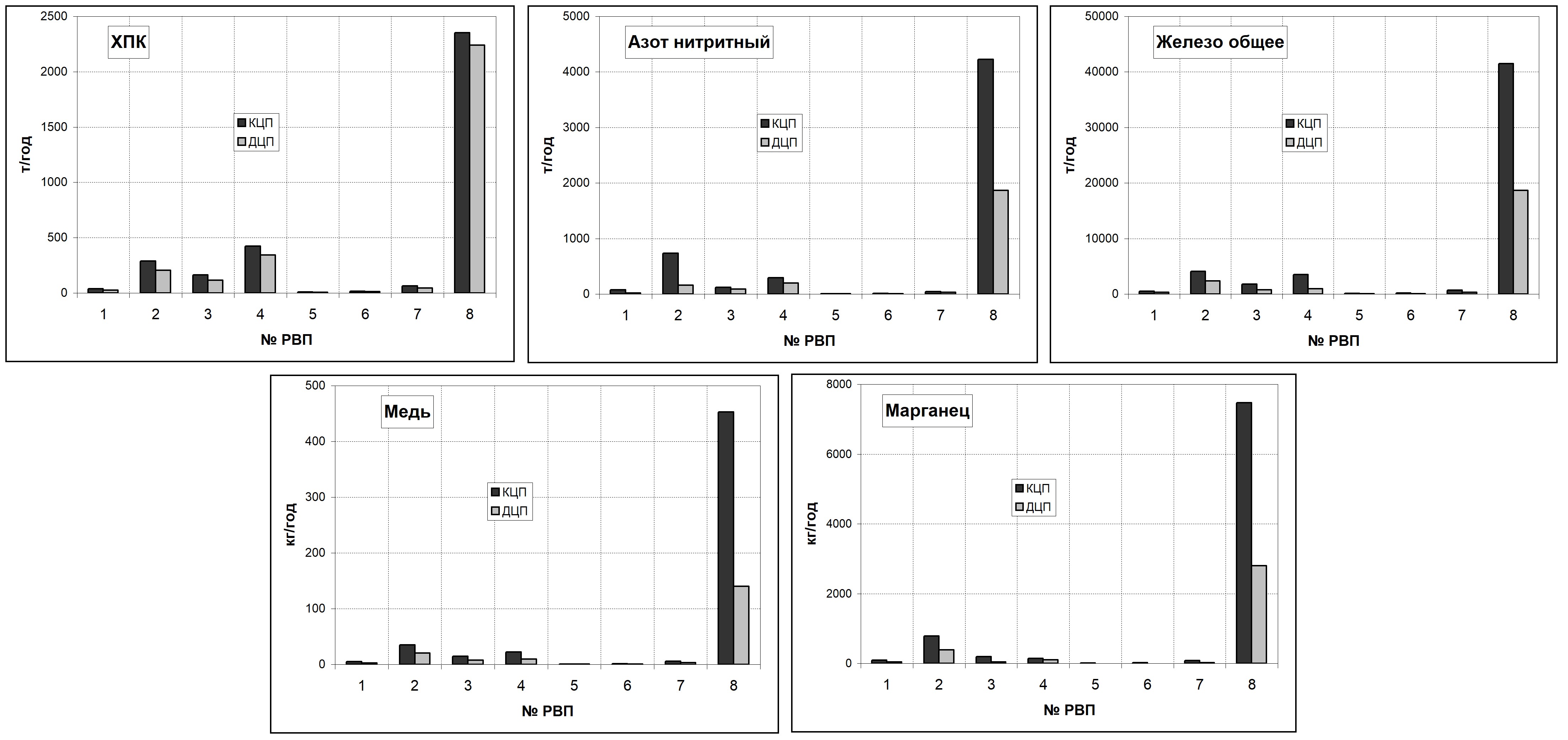
Рисунок 3.3 – Сравнительная диаграмма значений КЦП и ДЦП по РВП бассейна р. Луга и рек южной части Финского залива
3.2 Микроорганизмы
В качестве целевых показателей содержания микроорганизмов (таблицы 3.8-3.10) приняты нормативы допустимых воздействий по их привносу (НДВмикроб), при которых выполняются требования СанПиН 2.1.5.980-00.
Таблица 3.8 – Целевые показатели содержания ОКБ (млрд. КОЕ в год)
№ РВП | Водные объекты | Категория водопользования | |
Для рекреации, а также в черте населенных мест | Для питьевого и хозяйственно-бытового водоснабжения, а также для водоснабжения пищевых предприятий | ||
1 | Луга от истока до в/п Луга | 4795 | 9590 |
2 | Луга от в/п Луга до в/п Толмачево, р. Оредеж | 26917 | 53835 |
3 | Луга от в/п Толмачево до в/п Кингисепп | 15628 | 31257 |
4 | Луга от в/п Кингисепп до устья и водные объекты на полуострове Кургальский | 46782 | 93564 |
5 | р. Хаболовка и водные объекты Лужской губы | 1389 | 2777 |
6 | р. Систа и водные объекты Копорской губы до устья р. Воронка | 2176 | 4351 |
7 | р. Коваши и реки бассейна Финского залива от р. Воронка включительно до границы Ленинградской обл. и Санкт-Петербурга | 5884 | 11768 |
8 | Реки, впадающие в Финский залив в пределах Санкт-Петербурга | 422512 | 845024 |
Таблица 3.9 – Целевые показатели содержания ТКБ (млрд. КОЕ в год)
№ РВП | Водные объекты | Категория водопользования | |
Для рекреации, а также в черте населенных мест | Для питьевого и хозяйственно-бытового водоснабжения, а также для водоснабжения пищевых предприятий | ||
1 | Луга от истока до в/п Луга | 959 | 959 |
2 | Луга от в/п Луга до в/п Толмачево | 5383 | 5383 |
3 | Луга от в/п Толмачево до в/п Кингисепп | 3126 | 3126 |
4 | Луга от в/п Кингисепп до устья и водные объекты на полуострове Кургальский | 9356 | 9356 |
5 | р. Хаболовка и водные объекты Лужской губы | 278 | 278 |
6 | р. Систа и водные объекты Копорской губы до устья р. Воронка | 435 | 435 |
7 | р. Коваши и реки бассейна Финского залива от р. Воронка включительно до границы Ленинградской обл. и Санкт-Петербурга | 1177 | 1177 |
8 | Реки, впадающие в Финский залив в пределах Санкт-Петербурга | 84502 | 84502 |
Таблица 3.10 – Целевые показатели содержания колифагов (млрд. БОЕ в год)
№ РВП | Водные объекты | Категория водопользования | |
Для рекреации, а также в черте населенных мест | Для питьевого и хозяйственно-бытового водоснабжения, а также для водоснабжения пищевых предприятий | ||
1 | Луга от истока до в/п Луга | 96 | 96 |
2 | Луга от в/п Луга до в/п Толмачево, р. Оредеж | 538 | 538 |
3 | Луга от в/п Толмачево до в/п Кингисепп | 312 | 312 |
4 | Луга от в/п Кингисепп до устья и водные объекты на полуострове Кургальский | 936 | 936 |
5 | р. Хаболовка и водные объекты Лужской губы | 28 | 28 |
6 | р. Систа и водные объекты Копорской губы до устья р. Воронка | 43 | 43 |
7 | р. Коваши и реки бассейна Финского залива от р. Воронка включительно до границы Ленинградской обл. и Санкт-Петербурга | 118 | 118 |
8 | Реки, впадающие в Финский залив в пределах Санкт-Петербурга | 8450 | 8450 |
Содержание патогенной микрофлоры в сточных водах не допускается.
|
Из за большого объема этот материал размещен на нескольких страницах:
1 2 3 4 5 6 7 8 9 10 11 12 13 14 15 |



