4.Лист самооценки
Уровень освоения |
Могу помочь другим |
Выполнил без затруднений |
Испытывал затруднения |
Литература
1.Аркуша механика. Теоретическая механика и сопротивление материалов: Учебник для средних спец. учеб. заведений / . – 8-е изд., стер. – М.: Высшая школа, 2014. – 352 с.
2. Буланов задач по сопротивлению материалов / . – 3-е изд., испр. и доп. – М. : БИНОМ. Лаборатория знаний, 2010. – 215 с.
3.Вереина механика: учебник для студентов учреждений среднего профессионального образования / , . – 7-е изд. стер. – М.: Издательский центр «Академия», 2013 – 352 с.
4. Олофинская механика: Курс лекций с вариантами практических и тестовых заданий: Учебное пособие - М.: ФОРУМ, ИНФРА – М, 2010. – 349 с. – (Профессиональное образование).
Практическая работа № 5
Цилиндрические зубчатые передачи
Цель работы: изучение конструкции, принципа действия и технического обслуживания зубчатого редуктора
Задание: выполните работы по разборке и сборке редуктора, изучите конструкцию его основных узлов, определите основные параметры зубчатой передачи
Инструктивная карта
1.Методические рекомендации
Перед началом разборочных работ ознакомиться с видами кинематических схем цилиндрических редукторов (рис.1). В отчёте изобразить кинематическую схему, соответствующую исследуемому редуктору.



Рис. 1
При составлении плана сборочно-разборочных работ использовать рис. 2.
При изучении конструкции шестерни и зубчатого колеса необходимо определить их основные параметры (рис. 3).

Рис. 3. Геометрические параметры цилиндрического эвольвентного зацепления

Рис. 2 Редуктор одноступенчатый горизонтальный
с цилиндрическими косозубыми колёсами
1 и 2 – подшипниковые узлы, 3 – корпус, 4 – зубчатое колесо, 5 – вал, 6, 7, 8 – болт, шайба, гайка, 9 – крышка, 10 – прокладка, 11 – смотровая крышка, 12 – рым-болт, 13 – штифт конический, 14 – крышка проходная, 15 – вал-шестерня, 16 – маслоуказатель, 17 – пробка, 18 – шайба маслоотражательная, 19 – прокладка
Оборудование и материалы:
Цилиндрический зубчатый одноступенчатый редуктор;
Штангенциркуль;
Набор инструментов: гаечных ключей, отвёрток.
2.Карта допуска
Выполните тест
Вопросы | Ответы | Код |
1.Каково назначение механических передач? | Уменьшать потери мощности | 1 |
Соединять двигатель с рабочей машиной | 2 | |
Передавать движение с преобразованными параметрами | 3 | |
Совмещать скорости валов | 4 | |
2.Что такое линия зацепления зубчатых колёс? | Линия, очерчивающая профиль зуба | 1 |
Линия, проходящая через центры колёс | 2 | |
Общая нормаль к профилям зубьев в точке касания | 3 | |
Касательная к профилю зуба в точке касания | 4 | |
3.Определить передаточное отношение первой ступени двухступенчатой передачи, если
| 4,5 | 1 |
12,35 | 2 | |
2,02 | 3 | |
| 4 | |
4.Каков угол зацепления цилиндрических колёс? | 30° | 1 |
18° | 2 | |
20° | 3 | |
14° | 4 | |
5.Как распределяется нормальное напряжение в поперечном сечении балки при изгибе?
| А | 1 |
Б | 2 | |
В | 3 | |
Г | 4 |
Ход выполнения работы:
1.Произвести внешний осмотр редуктора и наметить план его разборки
2. Изучить конструкцию корпуса.
3. Разобрать редуктор, ознакомится с его внутренним устройством.
4. Ознакомится с конструкцией колеса и шестерни, путём замера и расчета определить их размеры и параметры зубчатого зацепления. Результаты замера и расчёта занести в таблицу.
Параметры | Расчётная формула | Значение параметра |
Шестерня | Колесо | |
Число зубьев Z | измерить | |
Межосевое расстояние, a, мм | измерить | |
Ширина венца b, мм | измерить | |
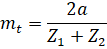
Передаточное число u |
| |
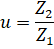
Модуль зубчатого зацепления торцевой, мм |
| |
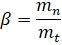
Модуль зубчатого зацепления нормальный, мм (округлить до стандартного значения) |
| |
Угол наклона зубьев в, град |
| |
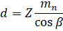
Диаметр делительной окружности, мм |
| |
Диаметр вершин зубьев, мм |
| |
Диаметр впадин зубьев, мм |
|
5. Дать описание способа смазки подшипниковых узлов и зубчатого зацепления.
6. Наметить план сборки редуктора. Собрать редуктор.
7. Сделать вывод по результатам работы.
3.Вопросы для самоконтроля
1. Передаточное отношением передачи - это число_______________________
2. Цилиндрические зубчатые редукторы получили широкое применение в машиностроении, потому что________________________________________
3. В зубчатойпередачестандартизованыпараметры: _____________________
4. Смазывание зубчатого колеса и подшипниковпроизводится сцелью______
5. Минимальным числом зубьев шестерниберется число _________________
6. Окружной шаг зубчатого колеса 12,56 мм. Модуль зуба колеса равен _____
7. Основные достоинства эвольвентных колёс: __________________________
8. Диаметр делительной окружности шестерни 72 мм; число зубьев колеса 90; модуль передачи 4 мм. Межосевое расстояние цилиндрической передачи при этом равно _____________________________________________________
4.Лист самооценки
Уровень освоения |
Могу помочь другим |
Выполнил без затруднений |
Испытывал затруднения |
Литература
1.Вереина механика: учебник для студентов учреждений среднего профессионального образования / , . – 7-е изд. стер. – М.: Издательский центр «Академия», 2013 – 352 с.
2. Курсовое проектирование деталей машин: Учебное пособие / , , и др. – 3-е изд., перераб. и доп. – М.: ИНФРА-М, 2011. – 414 с.
|
Из за большого объема этот материал размещен на нескольких страницах:
1 2 3 4 5 6 7 8 9 |





