1. Изобразить расчётную схему в соответствии с исходными данными.
2.Найти размеры поперечного сечения стержня.
3.Определить критическую силу.
4.Определить коэффициент запаса устойчивости ![]()
![]()
5. Сделать вывод о механическом состоянии сжатого стержня.
Условие задачи
Стальной стержень (
МПа) длиной lсжимаетсясилой P. Требуется:
- найти размеры поперечного сечения при допускаемом напряжении на простое сжатие
МПа (предварительно задать коэффициент ц=0,5);
- найти критическую силу и коэффициент запаса устойчивости.
Таблица 1
№ варианта | № схемы закрепления стержня | № формы сечения стержня | Р | l |
кН | м | |||
1 | a | I | 1000 | 30 |
2 | б | II | 200 | 28 |
3 | в | III | 14 | 26 |
4 | г | IV | 16 | 24 |
5 | а | IV | 18 | 22 |
6 | б | III | 2000 | 20 |
7 | в | II | 18 | 18 |
8 | г | I | 16 | 16 |
9 | а | II | 14 | 14 |
10 | б | III | 12 | 12 |
11 | в | IV | 1000 | 10 |
12 | г | I | 40 | 40 |
13 | а | III | 28 | 38 |
14 | г | IV | 36 | 36 |
15 | в | I | 34 | 34 |
16 | г | II | 3000 | 36 |
17 | а | IV | 35 | 25 |
18 | б | III | 26 | 30 |
19 | в | II | 15 | 20 |
20 | г | I | 28 | 16 |
Рис. 1 |
Рис. 2 |
Пример
Стальной стержень длиной l = 2,5 м сжимается силой F = 700 кН. Требуется: 1) найти размеры поперечного сечения при допускаемом напряжении на простое сжатие 160 МПа (расчёт производить последовательными приближениями, предварительно задавшись коэффициентом ц = 0,5); 2) найти критическую силу и коэффициент запаса устойчивости.

Характеристики способа закрепления стержня и его сечения:
![]()
Определим допускаемое напряжение устойчивости
МПа
Размеры сечения: 
Откуда
см; ![]()
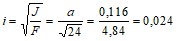
Радиус инерции сечения: 
Гибкость стержня: ![]()
По таблицам для Ст. 3 находим:
л = 50 ц = 0,89
л = 60 ц = 0,86
Интерполируя, определяем: для л = 59,65 ц1 = 0,861
Определяем новое значение ц во втором приближении
![]()
Повторяем расчёты:
МПа
; 
м; ![]()
Интерполированием определяем значение ц
при л = 70
, что намного больше ![]()
В третьем приближении значение ц:
![]()
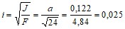
Ещё раз проводим расчёты:
МПа
; 
м; ![]()
При интерполировании получаем для л = 72,3 ![]()
В четвёртом приближении значение ц:
![]()
Ещё раз проводим расчёты:
МПа
; 
м; ![]()
При интерполировании получаем для л = 74,15 ![]()
Отклонение от
составляет меньше 0,1, что допустимо.
МПа
Рабочее напряжение
МПа
Перенапряжение составляет
%, что допустимо.
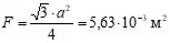
а = 0,1145 м ![]()
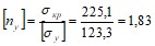
Критическая сила.
Т. к. л < 100, то определим критическое напряжение по формуле Ясинского
МПа
МН
Коэффициент запаса устойчивости: ![]()
3.Вопросы для самоконтроля
1. Критерий применимости формулы Эйлера_____________________________
2. Примеры потери устойчивости телами: _______________________________
3. Коэффициент µ в формуле Эйлера характеризует _______________________
4.Условие устойчивости сжатого стержня: _______________________________
5.При потере устойчивости сжатого стержня изгиб происходит в плоскости __________________________________________________________________
6. Расчёты на устойчивость сжатых стержней позволяют решить задачи:_______
7. Геометрической характеристикой сжатого стержня является ______________
|
Из за большого объема этот материал размещен на нескольких страницах:
1 2 3 4 5 6 7 8 9 |





