Пример
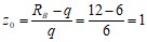
Дано: ![]()
Построить эпюры внутренних силовых факторов и подобрать сечение балки.
Решение.

1 Реакции опор.
![]()
![]()
![]()
кН
![]()
![]()
кН
2 Эпюры ![]()
Сечение
![]()
![]()
![]()
кН
![]()
![]()
кНм
Сечение
![]()
![]()
кН
кН
![]()
кНм
кНм
Определим
при
:
м
кНм
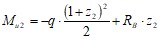
Сечение
![]()
![]()
кНм
3 Выбор сечения
Условие прочности ![]()
Отсюда
см3
3.1 По ГОСТ 8239-89 выбираем двутавр № 12:
; А1=14,7 см2
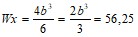
3.2 Прямоугольное сечение
, где ![]()
Тогда
см3
см
см
см2
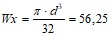
3.3 Круглое сечение
см3
см
см2
4 Сравним площади сечений балок. Для данного примера наиболее экономичным является двутавровое сечение, наименее экономично - круглое сечение.
3.Вопросы для самоконтроля
1. При изгибе балки в поперечных сечениях возникают следующие силовые факторы:_____________________________________________________________
2. При проектировочном расчёте определяют параметры: __________________
3. Интенсивность распределения нагрузки по сечению тела характеризует физическая величина ______________________________________________________
4.Условие прочности при изгибе имеет вид: _____________________________
5.Эпюра распределения нормальных напряжений по площади поперечного сечения балки при изгибе имеет вид:_______________________________________
6.Признаком потери прочности конструкции является _____________________
7. Границами характерных участков балки при изгибе является _____________
8. Опасным при плоском изгибе является сечение _________________________
4.Лист самооценки
Уровень освоения |
Могу помочь другим |
Выполнил без затруднений |
Испытывал затруднения |
Литература
1.Аркуша механика. Теоретическая механика и сопротивление материалов: Учебник для средних спец. учеб. заведений / . – 8-е изд., стер. – М.: Высшая школа, 2014. – 352 с.
2.Вереина механика: учебник для студентов учреждений среднего профессионального образования / , . – 7-е изд. стер. – М.: Издательский центр «Академия», 2013 – 352 с.
3. Буланов задач по сопротивлению материалов / . – 3-е изд., испр. и доп. – М. : БИНОМ. Лаборатория знаний, 2010. – 215 с.
4. Олофинская механика: Курс лекций с вариантами практических и тестовых заданий: Учебное пособие - М.: ФОРУМ, ИНФРА – М, 2010. – 349 с. – (Профессиональное образование).
Практическая работа № 4
Устойчивость сжатых стержней
Цель работы: исследование устойчивого равновесия сжатого стержня
Задание
Выполнить расчёт сжатого стержня на устойчивость
Инструктивная карта
1.Методические указания
При решении задач для исследования деформации растяжения-сжатия необходимо составить расчётную схему, учесть способ закрепления стержня.
Выбрать формулу для расчёта критической силы с учётом критерия применимости формулы Эйлера.
Проектный расчёт производить методом последовательных приближений, предварительно задавшись коэффициентом снижения основного напряжения ![]()
. При проверочном расчёте коэффициента снижения использовать метод интерполирования. Приближения проводить, пока расхождение между коэффициентами в начале и конце приближения не будет меньше 0,1.
При подстановке в формулы числовых значений физических величин обратить особое внимание на их размерность.
Исходные данные принять по таблице 1 и рис. 1 и 2. Номера вариантов указывает преподаватель.
Оборудование:
Вычислительная техника
2.Карта допуска
Выполните тест
Вопросы | Ответы | Код |
1.Рассчитайте, чему равно критическое напряжение для круглого стержня диаметром 50 мм, если известно, что | 4,01 МПа | 1 |
6,11 МПа | 2 | |
12,2 МПа | 3 | |
22,4 МПа | 4 | |
2.Укажите, как изменится критическая сила, если длину стойки увеличить в 3 раза? Применима формула Эйлера. | Увеличится в 9 раз | 1 |
Уменьшится в 9 раз | 2 | |
Увеличится в 6 раз | 3 | |
Уменьшится в 6 раз | 4 | |
3.Рассчитайте гибкость стального стержня. Поперечное сечение – двутавр № 18.
| 27,3 | 1 |
54,6 | 2 | |
76,4 | 3 | |
106,4 | 4 | |
4.Выберите формулу для расчёта устойчивости на участке 3
|
| 1 |
| 2 | |
| 3 | |
| 4 | |
5.Определите, устойчив ли стержень (схема к вопросу 3)? Действующая сжимающая сила134 кН, материал – сталь, Е= 2·105 МПа, поперечное сечение – двутавр № 18,запас устойчивости 3. Применима формула Эйлера. |
| 1 |
| 2 | |
| 3 | |
Расчёт на устойчивость не требуется | 4 |
Алгоритм решения задачи
|
Из за большого объема этот материал размещен на нескольких страницах:
1 2 3 4 5 6 7 8 9 |






