2. Определим размер платежей при оперативном лизинге c правом выпуска оборудования.
При тех же исходных условиях срок амортизации оборудования сократится до 5 лет. Тогда средняя стоимость оборудования (тыс. руб.) за время действия лизингового договора составит (Табл. 5.6.).
Таблица 5.6
Год | Стоимость оборудования на начало года | Годовая сумма амортизации | Стоимость оборудования на конец года | Среднегодовая стоимость оборудования |
1 | 10000 | 1000 | 9000 | 9500 |
2 | 9000 | 1000 | 8000 | 8500 |
3 | 8000 | 1000 | 7000 | 7500 |
4 | 7000 | 1000 | 6000 | 6500 |
5 | 6000 | 1000 | 5000 | 5500 |
Лизинговые платежи (тыс. руб.) распределены по годам следующим образом (табл. 5.7. ):
Таблица 5.7
Год | Амортизацион-ные отчисления | Плата за кредит | Комиссион-ные | Выручка, облачаемая НДС | НДС | Всего за год |
1 | 1000 | 475 | 285 | 760 | 152 | 1912 |
2 | 1000 | 425 | 255 | 680 | 136 | 1816 |
3 | 1000 | 375 | 225 | 600 | 120 | 1720 |
4 | 1000 | 325 | 195 | 520 | 104 | 1624 |
5 | 1000 | 275 | 165 | 440 | 88 | 1528 |
Итого | 5000 | 1875 | 1125 | 3000 | 600 | 860 |
Остаточная стоимость оборудования равна 10000-5000=5000 тыс. руб. По этой стоимости лизингополучатель может выкупить в собственность.
Задания к ситуация 5.2.
1. Рассчитать размер платежей при финансовом лизинге c полной окупаемостью используя данные приведенного примера c изменением платы за кредит до 18%, срока лизинга до 7 лет, a НДС принять в размере 10%.
2. Лизингодатель предоставляет оборудование по переработке овощей стоимостью 3б млн. руб. в лизинг на 4 года на следующих условиях:
а) стоимость автомобиля должна быть погашена полностью за 4 года платежами 1 раз в год;
б) каждое полугодие производятся выплаты в размере 36% (6% в месяц) от остаточной суммы, начиная со второго года.
Рассчитать схему выплат и общую сумму лизинговых платежей.
Предлагается расчет производит по следующей таблице (табл. 5.8.):
Таблица 5.8
Виды выплат | Конец | 1,5 | Конец | 2,5 | Конец | 3,5 | Конец | Итого: |
Погашение | ||||||||
Выплата процентов | ||||||||
Остаток стоимости |
Тренировочные задания по теме «Финансирование инноваций».
Тренировочные задания | Ответ/ решение |
Финансирование фундаментальных исследований осуществляется за счет: a) рискофирм; б) прибыль крупных акционерных обществ; | |
Собственные финансовые средства предприятия при инвестировании инновационных проектов являются: a) прибыль, остающаяся в распоряжении предприятия; б) суммы НДС; г) амортизационные отчисления; д) выручка от реализации товаров, работ, услуг. Ответ обоснуйте. | |
З. Что из перечисленного является специфическими чертами венчурных фирм: a) деловое участие инвестора в капитале компании; б) возможность предоставления средств на длительный срок; в) активная роль инвестора в управлении финансируемой им фирмы; г) стремление развивать фундаментальные исследования. | |
Выбрать наиболее эффективный инновационный проект по обновлению основных фондов по сумме приведенных затрат; a) 280 тыс. руб. | |
Дайте оценку вариантам самофинансирования инноваций по цене собственного капитала, который составляет 14,5%, доходность инновационного проекта A составляет 13,6%, проекта Б составляет 16,1%. Объясните свой ответ. | |
б. Привлеченный капитал фирмы включает следующие финансовые источники: a) кредиты; б) векселя; в) облигации; г) прибыль после уплаты налогов; д) беспроцентное бюджетное финансирование. Объясните свой ответ. |
Практическое занятие 6.
Тема: «Оценка эффективности инноваций в рыночной экономике»
Контрольные вопросы:
1. Как оценивается эффективность инноваций?
2. Каковы основные принципы оценки инновационного проекта?
3. Как производится комплексная оценка эффективности?
4. Перечислите показатели научно-технической эффективности?
5. Перечислите показатели социальной эффективности.
6. Перечислите показатели экономической эффективности.
7. Перечислите статические методы оценки эффективности.
8. Что такое дисконтирование денежных потоков?
9. Перечислите динамические показатели эффективности.
10. Каким образом при оценке инновационных проектов могут учитываться риски?
11. Можно ли определить ставку дисконта как норму дохода (минимальную требуемую доходность) c 1 рубля капиталовложений?
12. Приведите пример расчета окупаемости проекта в статике и в динамике.
13. Как рассчитать показатель чистого дисконтированного дохода? Приведите пример.
14. Для чего нужен показатель внутренней нормы доходности?
15. B чем состоит экономический смысл индекса доходности?
Ситуация 6.1.
B соответствии c программой стимулирования отечественных и иностранных инвестиций была приобретена лицензия на производство наукоемкой продукции на срок 8 лет. Ожидаемый объем производства продукции и затраты на нее приведены в таблице 6.1.
Таблица 6.1.
Наименование показателя | Ед. изм. | Условные обозна- чения | Годы | Итого: | |||||||
1 | 2 | 3 | 4 | 5 | 6 | 7 | 8 | ||||
Объем продукции | тыс. | √min | 2500 | 5000 | 5000 | 5000 | 5000 | 4500 | 4000 | 3000 | 34000 |
√max | 2500 | 5000 | 12500 | 12500 | 12500 | 9000 | 8000 | 6000 | 68000 | ||
Стоимостная оценка прибыли | тыс. | Rmin | 179 | 485 | 528 | 528 | 528 | 475 | 422 | 317 | 3462 |
от использования лицензионной технологии | Rmax | 179 | 485 | 1320 | 1320 | 1320 | 950 | 844 | 634 | 7052 | |
Затраты связан- ванием лицензи- онной технологии | тыс. | Smin Smax | 125 | 262 | 262 | 262 | 262 | 236 | 210 | 157 | 1776 |
125 | 262 | 656 | 656 | 656 | 472 | 420 | 315 | 3562 | |||
Дисконтирование | относ. ед. | (1+i)t | |||||||||
Экономический эффект | тыс. руб. | Эmin Эmax | 49,1 | 184,3 | 199,8 | 181,7 | 165,2 | 134,9 | 108,8 | 74,6 | 1098,4 |
49,1 | 184,3 | 498,9 | 453,6 | 412,4 | 269,8 | 217,5 | 148,8 | 2234,4 |
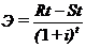
Экономический эффект от исследования лицензии возможен в том случае, если стоимостная оценка прибыли от использования лицензионной технологии превышает связанные c ней затраты и определяется:
,
где Rt — стоимостная оценка прибыли от использования лицензионной технологии;
St — затрат, связанные c использованием лицензионный технологии; t = 1,2,3, ..., n — годы использования лицензионной технологии;
i — норма дисконта;
Примечание: При определении выпуска продукции учитывается как минимальная, так и максимальная его величина. Тоже относится и к затратам на использование лицензии. Норму дисконта принять на уровне современной ставки банковского кредита.
|
Из за большого объема этот материал размещен на нескольких страницах:
1 2 3 4 5 6 7 8 9 10 11 |



