На правах рукописи
ЖАРКИХ ЛЕСЯ ИВАНОВНА
КВАНТОВО-ХИМИЧЕСКОЕ КЛАСТЕРНОЕ МОДЕЛИРОВАНИЕ процесса ВЗАИМОДЕЙСТВИЯ СЕРОВОДОРОДА С КОМПОНЕНТАМИ ПОВЕРХНОСТИ БИОЛОГИЧЕСКОЙ МЕМБРАНЫ
Специальность 05.13.18 –
Математическое моделирование, численные методы и
комплексы программ
Автореферат
диссертации на соискание ученой степени
кандидата технических наук
АСТРАХАНЬ – 2006
Работа выполнена в Астраханском государственном университете
Научный руководитель: доктор химических наук,
профессор
Официальные оппоненты: доктор физико-математических наук, профессор
кандидат физико-математических наук, доцент
Ведущая организация: Московский государственный университет экономики, статистики и информатики, г. Москва
Защита диссертации состоится 20 декабря 2006 г. в 13 часов 00 минут на заседании диссертационного совета ДМ 212.009.03 при Астраханском государственном университете 0 а, конференц-зал.
Отзывы на автореферат в двух экземплярах, заверенные гербовой печатью, просим направлять ученому секретарю диссертационного совета по адресу “ 0 а, диссертационный совет”.
С диссертацией можно ознакомиться в библиотеке Астраханского государственного университета.
Автореферат разослан 17 ноября 2006 г.
Ученый секретарь диссертационного
совета ДМ 212.009.03,
д. т.н., профессор
ХАРАКТЕРИСТИКА РАБОТЫ
Актуальность темы. В науках эколого-биологического и эколого-химического направлений знания базируются, в основном, на экспериментальном материале. Математические расчеты, связанные с прогнозированием свойств живой природы – это задача, которая только-только начинает решаться. Примером может служить оценка влияния различных токсикантов на структурные элементы живых организмов. Здесь оцениваются критические дозы, такие как предельно допустимые концентрации (ПДК), летальные дозы, при которых погибает 10, 50, 90, 100% объектов. Влияние различных токсичных газов оценивается по количеству поврежденных листьев и площади их поверхности, которая подверглась токсичному воздействию. Одним из приемов оценки воздействия токсикантов является урожай тех или иных культур. Важным критерием накопления токсикантов в объектах окружающей среды является изменение их органолептических показателей.
Вместе с тем, знание структуры и физико-химических свойств токсикантов и мишеней для их воздействия – различных биологических систем, требует разработки фундаментальных основ и применения математического моделирования и комплексов программ для своего решения. С их помощью удается установить, какие факторы определяют направление и относительный выход продуктов реакции, а также получить недоступную для эксперимента информацию о геометрии и электронной структуре переходных состояний. Зная структуру и свойства взаимодействующих веществ, а также отдельные группы, наиболее активно участвующие во взаимодействии, можно определить антидоты к данному токсиканту. Антидот можно найти и для других веществ, таких как вирусные инфекции (например, СПИД), вещества, применяемые в военных и мирных целях, а также для других токсикантов, влияющих на живой организм, причем задача может быть решена более корректно и проще, если её решение связано с использованием математического моделирования, численных методов и комплекса программ.
Таким образом, формируется актуальная задача использования математического моделирования, математического аппарата и комплекса программ для решения эколого-биологических и эколого-химических задач.
Цель и задачи исследования. Целью работы явилась разработка фундаментальных основ, применение математического моделирования, численных методов и комплексов программ для установления механизмов воздействия сероводорода на структурные элементы клеточных мембран.
Реализация поставленной цели включала в себя решение комплекса задач:
– анализ комплексов программ для решения поставленной задачи;
– анализ квантово-химических методов, которые обеспечивали бы наиболее корректное решение поставленной задачи;
– дифференцирование и оптимизация структуры клеточных мембран;
– на основании проведенных расчетов, установление в структурных элементах липидов, белков и гликозидов наиболее вероятных мишеней – активных центров, атака которых сероводородом приводила бы к соединениям высокой прочности.
Методы исследования. При выполнении работы применялись программные комплексы MOPAC и Gamess, а также программа визуализации ChemCraft, которые обеспечивали надежность и корректность квантово-химических расчетов.
Научная новизна работы. Впервые с использованием математического моделирования, численных методов и комплексов программ установлены механизмы процессов воздействия сероводорода на отдельные структурные элементы клеточных мембран.
В диссертации разработаны и вынесены на защиту следующие основные положения:
· впервые оптимизированные модели отдельных структурных компонентов клеточных мембран, полученные с использованием квантово-химических расчетов;
· впервые разработанная методика определения активных центров структурных составляющих биологических мембран;
· модели адсорбционных комплексов сероводорода со структурными элементами биологических мембран, полученные и рассчитанные впервые.
Практическая значимость работы. Практическая значимость работы заключается в возможности использования методологии расчетов для решения задач, связанных с моделированием воздействия на клеточные мембраны не только сероводорода, но и различных других токсикантов. Совокупность результатов, полученных применительно к исследованным соединениям, может стать научной основой для создания технологий снижения риска и уменьшения последствий воздействия различных токсикантов в результате природных и техногенных катастроф.
Уже сейчас вопросы математического моделирования и комплексы программ используются при чтении лекций и проведении семинаров и практических занятий у студентов отделения химия по дисциплинам: «математические методы в химических исследованиях» и «квантовая механика и квантовая химия».
Апробация работы. Основные результаты работы представлены и доложены на различных Международных и Российских конференциях, среди которых:
– VIII Международная научная конференция «Образование. Экология. Экономика. Информатика» серии «Нелинейный мир» (Астрахань, 2003); VII и IX Международные научные конференции «Эколого-биологические проблемы бассейна Каспийского моря» (Астрахань, 2004 и 2006); Международная научная конференция «Средства и методы обеспечения экологической безопасности» (Астрахань, 2005); Международная научная конференция «Фундаментальные и прикладные проблемы современной химии в исследованиях молодых ученых» (Астрахань, 2006); Международный симпозиум «Математическое моделирование и физико-химические исследования в экологических системах» (Астрахань, 2006); итоговые научные конференции Астраханского государственного университета (Астрахань, 2002 – 2006).
Публикации. По материалам диссертации опубликовано 6 статей в журналах и материалах Международных научных конференций.
Структура и объем диссертации. Диссертация состоит из введения, трех глав, выводов, приложения и библиографического списка (125 источников). Работа изложена на 110 страницах текста, содержит 13 рисунков, 9 z-матриц и 21 таблицу.
Соискатель выражает особую благодарность кандидату химических наук, доценту кафедры органической химии Астраханского государственного технического университета за оказанную помощь и консультацию.
СОДЕРЖАНИЕ РАБОТЫ
Во введении обоснована актуальность темы диссертационной работы, сформулированы цели и задачи исследования, определена практическая значимость. Показано, что на современном этапе развития квантовой механики возможно моделирование структур сложных систем, включающих в себя фрагменты полипептидов и белков, липидов и их производных, углеводов и различных токсикантов.
В первой главе рассмотрены особенности современных квантово-химических методов определения свойств молекул и природы химической связи на основе свойств частиц, входящих в состав молекул. Проведен анализ применимости квантово-химических методов и программ для реализации поставленной задачи – исследования взаимодействия сероводорода со структурными элементами клеточных мембран.
В основе современной квантовой химии лежит уравнение Шредингера для стационарных состояний:
, (1)
где
- волновая функция, удовлетворяющая вероятностному уравнению
(2)
означающему, что частица обязательно будет находиться в элементе заданного объема.
Точно решить это уравнение в случае многоэлектронных систем не удается, поэтому в квантово-химических расчетах используются приближенные методы. На практике обычно пользуются полуэмпирическими и неэмпирическими методами. Они различаются методикой вычисления матричных элементов, описывающих взаимодействие между электронами и электронами и ядрами. Неэмпирические методы дают большую надежность оценки свойств неизвестных химических соединений, однако требуют несравнимо больших ресурсов ЭВМ. Особенно это касается оптимизации геометрии. Для оптимизации геометрии на начальном этапе рекомендуется использовать молекулярную механику, затем – один из полуэмпирических методов. В настоящее время для решения задач изучения структуры, свойств и взаимодействий используются разнообразные квантово-химические полуэмпирические (PRDDO, РМХ, NDO, CNDO, INDO, MINDO, ZINDO/1, ZINDO/S, АМ1 и PM3) и неэмпирические (в базисах STO-NG, GTO, M-NPG и т. п.) методы. Метод РМ3 считается наиболее надежным из всех полуэмпирических методов.
На сегодняшний день существует целый ряд компьютерных комплексов и программ, применяемых для квантово-химических вычислений. Наиболее распространенными из них являются Mopac, ChemOffice, HyperChem, Gamess и Gaussian. Первые 3 программы используют, преимущественно, при обучении в курсе квантовой химии поскольку в связи с богатым интерфейсом они не приспособлены для обсчета больших молекулярных структур и могут использовать много времени и ресурсов ЭВМ.
Gaussian – это крупнейший программный комплекс для проведения квантово-химических расчетов. Распространяется исключительно на коммерческой основе. Позволяет рассчитывать целый ряд свойств молекул и характеристик химических реакций. Gamess является одной из самых популярных программ для теоретического исследования свойств химических систем, уступая по известности лишь комплексу Gaussian. Основным его достоинством является бесплатный доступ к исходным текстам программы при одновременном широкомасштабном охвате основных вычислительных алгоритмов, необходимых для теоретического исследования химических систем.
Для решения задачи моделирования процесса влияния сероводорода на поверхность биологической мембраны был выбран полуэмпиричсекий метод PM3, для корректировки результатов использовался неэмпирический метод в базисе STO-3G. Все расчеты осуществлялись с использованием программного комплекса Gamess, для составления и редактирования структур применялись пакеты Mopac и ChemOffice. Визуализация и обработка результатов проводилась с помощью программы ChemCraft. Для формы записи структуры молекулы применялась z-матрица внутренних координат.
Во второй главе проводится моделирование и оптимизация структурных компонентов клеточных мембран. Представлен алгоритм проведенных расчетов.
Система мембрана-сероводород представляет собой громоздкую конструкцию для реализации её на компьютере, состоящую из многих тысяч атомов и молекул фрактального типа. Для её реализации необходимо уменьшить размеры рассчитываемых объектов, выделить главные характерные свойства системы, т. е. составить модель мембраны в виде совокупности мембранных компонентов (белков, липидов и углеводов) и изучить их структуру и особенности влияния на них сероводорода. Расчеты проводились без учета влияния водной среды.
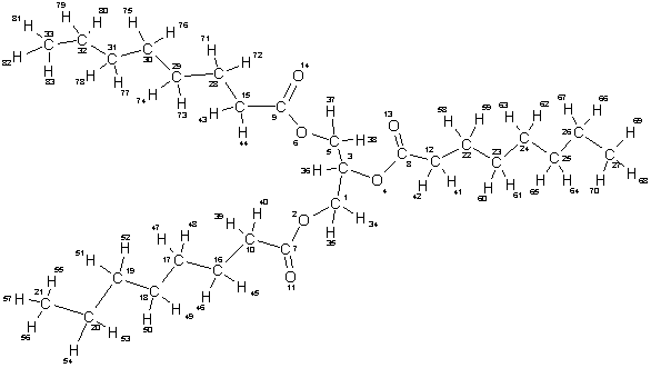
В качестве белкового компонента клеточной мембраны был выбран пентапептид произвольной формы – цистеинилфенилаланилаланил-цистеинилтирозин (рис. 1).

Рис. 1. Оптимизированная структура кластерной модели белка
Была найдена равновесная геометрическая структура пентапептида и, таким образом, оптимизирована геометрия молекулы. В работе проведен поиск молекулярной структуры – координат атомов, при которых система имеет наименьшее значение энергии, т. е. малое значение нормы RMS Gradient (среднеквадратичный градиент), что свидетельствует о близости к точке экстремума:
, (3)
где суммирование производится по всем n атомам модели,
- декартовы координаты i-го атома. Значение градиента, полученное в результате расчета, составляет 0,000137 кДж/моль/ангстрем. Значение полной энергии (total energy) полученной конфигурации равно -250,98 атомным единицам энергии, что соответствует -63 кДж/моль.
В качестве липидных компонентов клеточной мембраны были выбраны представитель простого класса липидов – триглицерид и сложного – фосфолипид (рис.2).
|
|
|
Триглицерид |
|
|
|
Фосфолипид |
Рис. 2. Оптимизированные структуры кластерных моделей липидов
Для молекулы триглицерида норма градиента составила 0,000578 кДж/моль/ангстрем. Значение полной энергии молекулы триглицерида составило – -17 кДж/моль.
Норма градиента фосфолипида составила 0,0001186 кДж/моль/ангстрем, а значение полной энергии – -8612 кДж.
Из всего многообразия углеводов была выбрана мальтоза, состоящая из двух остатков D-глюкозы. Молекулярная модель молекулы мальтозы представлена на рисунке 3.
|
|
|
|
PM3 |
STO-3G |
Рис. 3. Оптимизированная структура кластерной модели гликозида
Норма градиента составила 0,000112 кДж/моль/ангстрем. Значение полной энергии молекулы мальтозы составило – -63 кДж/моль.
Для сравнительной оценки рассчитанных данных была проведена оптимизация геометрии молекулы мальтозы неэмпирическим методом в базисе STO-3G. Для этого была использована уже оптимизированная методом PM3 z-матрица структуры молекулы. Величина полной энергии приняла значение ,22 кДж/моль. Норма градиента остановилась на 0,000093 кДж/моль/ангстрем. На рисунке 3 видно, что в результате расчета неэмпирическими методами в базисе STO-3G в структуре молекулы происходит образование 4 водородных связей между атомами кислорода (O8, O10, O19, O20) и водорода (H29, H31, H34, H39).
Численный эксперимент показал, что для данных молекул выбранная методика вполне применима.
Третья глава посвящена расчетам энергетических характеристик воздействия сероводорода на структурные элементы мембраны. Расчеты проводились с использованием полуэмпирического квантово-химического метода РМ3 и неэмпирического метода в базисе STO-3G по программе GAMESS с полной оптимизацией геометрии. В этой главе решены основные задачи диссертации – использован аппарат квантовой химии для расчета моделей образования соединений сероводорода со структурными элементами биологических мембран. Было проведено расчленение структуры клеточных мембран с целью поиска в каждом структурном элементе (белках, липидах, гликозидах) наиболее вероятных мишеней, атака которых сероводородом приводила бы к соединениям достаточной прочности. Градиент для оптимизации всех выбранных и рассчитанных структур составлял 10-4.
Начальная геометрия молекулы сероводорода и сорбента – элементов клеточной мембраны, выбиралась по справочным данным (длины связей и валентные углы), заложенным в систему MOPAC.
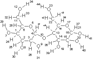
Для выявления реакционных центров в структуре поверхности было составлено и исследовано множество различных, получаемых при расчетах структур, среди которых выявились основные, участвующие в хемосорбции, участки. Наиболее вероятными мишенями (точками атаки) являются те элементы структур, энергия взаимодействия которых с атакующим агентом имеет минимальное значение. Полученные наиболее вероятные активные центры представлены на рисунке 4.
Рис.4. Реакционные центры оптимизированной молекулы белка (показаны стрелками)
Согласно приведенным структурам, взаимодействие происходит преимущественно по амино - (NH2), сульфидной (SH), карбонильной (CO), гидрооксильной (OH) и метильной (СН3) группам, а также с участием атомов водорода бензольного кольца. При этом сероводород может связываться как посредством водорода по амино - и сульфидным группам, так и при участии серы – по амино-, сульфидным и гидрооксильным группам. Наиболее прочные связи образуются при участии атома водорода S10 – H48 группы белка.
Для полученных вариантов образования адсорбционных комплексов в системе сероводород-белок были рассчитаны геометрические, зарядовые и энергетические характеристики, представленные в таблице 1.
Таблица 1. Характеристики АК в системе сероводород - белок
|
АК |
По связи |
R, Ǻ |
∆q, e |
∆Eадс, кДж/моль |
|
1 |
H61...S77 |
2,582 |
0,0135 |
-5,833 |
|
2 |
H56...S77 |
2,490 |
0,0211 |
-13,448 |
|
3 |
H77...S25 |
2,428 |
-0,0167 |
-16,101 |
|
4 |
O22...H78 |
1,874 |
-0,0182 |
-3,469 |
|
5 |
O13...H78 |
1,879 |
0,1334 |
-26,166 |
|
H48...S77 |
1,743 | |||
|
6 |
O4...H78 |
1,884 |
-0,0142 |
-2,918 |
|
7 |
H72...S77 |
2,477 |
0,0166 |
-17,229 |
|
H73...S77 |
2,602 | |||
|
8 |
H56...S77 |
2,562 |
0,0249 |
-17,854 |
|
H75...S77 |
2,675 | |||
|
9 |
O1...H78 |
1,891 |
-0,0084 |
-3,522 |
|
10 |
H44...S77 |
2,580 |
0,0191 |
-12,610 |
|
H74...S77 |
2,482 | |||
|
11 |
H62...S77 |
2,629 |
0,0117 |
-13,722 |
|
H64...S77 |
2,551 | |||
|
12 |
H56...S77 |
2,479 |
0,0219 |
-15,292 |
|
13 |
O18...H78 |
1,879 |
-0,0143 |
-10,500 |
|
H69...S77 |
2,718 | |||
|
S25...H79 |
2,629 | |||
|
14 |
H46...S77 |
1,848 |
0,019 |
-5,677 |
|
15 |
S10...H78 |
2,405 |
-0,0042 |
-8,207 |
|
16 |
H48...S77 |
1,741 |
0,1173 |
-31,512 |
|
17 |
H76...S77 |
2,497 |
0,0156 |
-7,098 |
|
18 |
H43...S77 |
2,374 |
0,0297 |
-23,302 |
|
H66...S77 |
2,542 | |||
|
19 |
O35...H78 |
1,899 |
-0,0064 |
3,432 |
В структуре белка происходят изменения, связанные с ослаблением связей в участвующих во взаимодействии группах атомов, искажением валентных углов и изменением двугранных углов. Этот факт говорит о влиянии токсиканта на изменения в структуре белка.
Величины переноса заряда (Dq) с молекулы сорбата на кластер рассчитывались как сумма зарядов атомов сорбата
. (4)
Энергии формирования адсорбционных комплексов (DEадс, кДж/моль) рассчитывались как разность сумм полных энергий моделей конечных и начальных структур.
(5)
Для выявления реакционных центров в структуре триглицерида было исследовано множество возможных структур. В результате расчетов были получены наиболее вероятные активные центры, представленные на рисунке 5.
Рис.5. Реакционные центры оптимизированной молекулы триглицерида (показаны стрелками)
Согласно расчетам, были выявлены активные центры молекулы триглицерида в виде атомов кислорода карбонильных групп и атомов водорода по углеводородным хвостам липидов, близко расположенных к карбонильным группам. С атомами кислородов О2, О3 и О6 данный токсикант не взаимодействует, хотя прочные связи образуются вблизи групп, содержащих атомы кислорода.
Для полученных вариантов образования адсорбционных комплексов в системе сероводород-триглицерид были рассчитаны геометрические, зарядовые и энергетические характеристики, представленные в таблице 2.
Таблица 2. Характеристики АК в системе сероводород – триглицерид
|
АК |
По связи |
R, Ǻ |
∆q, e |
DEадс, кДж/моль |
|
1 |
O14...Н84 |
1,860 |
-0,01 |
-7,289 |
|
2 |
O13...Н84 |
1,874 |
-0,008 |
-2,907 |
|
3 |
O11...Н84 |
1,878 |
-0,013 |
-1,231 |
|
4 |
O14...Н86 H58...S85 |
2,748; 2,749 |
0,01 |
-11,314 |
|
5 |
H42...S85 |
2,539 |
0,011 |
-6,963 |
Результаты расчетов показывают, что для всех рассматриваемых моделей полуэмпирический метод PM3 позволяет получить минимум на поверхности потенциальной энергии (ППЭ) системы, причем глубина этого минимума, равная теплоте адсорбции, имеет порядок, существенно различный для различных типов связей. Полученные величины энергии адсорбции, величины изменения зарядов на молекуле сероводорода и геометрия адсорбционных комплексов позволяют считать, что сорбция протекает за счет образования различной силы водородных связей между поверхностью и молекулой сорбата, с преобладанием образования водородных связей на атомах кислорода карбонильных групп молекул поверхности (сорбентов).
В моделях АК1, АК2 и АК3 идет образование водородной связи с участием атома кислорода карбонильной группы поверхности и атома водорода токсиканта. Это предположение подтверждают длина образующейся связи, величина энергии адсорбции, перенос заряда с молекулы сорбата на поверхность, а также заметные искажения в пространственной структуре кластера.
Модель АК5, на первый взгляд, принципиально неверна, ведь можно постулировать, что не может образовываться связь атома серы молекулы токсиканта с атомом водорода от углерода, поскольку конструкция углерод – водород довольно прочна и вряд ли будет реагировать на присутствие еще одного водорода. Однако пространственное изображение дает нам совершенно иную картину. Модель кластера в трехмерном пространстве предполагает поворот того или иного атома в ту или иную сторону, образование различных углов и влияние групп, атомов в молекуле друг на друга, что довольно просто объясняет специфику образовавшейся связи. Атомы кислорода, находящиеся в пространственном приближении к данному водороду, оказывают влияние на его зарядовые характеристики и, естественно, атом становится реакционно подвижным.
Результаты расчета модели АК4 выявляют образование двух водородных связей токсиканта с молекулой липида. Это связь водорода сорбата с кислородом карбонильной группы поверхности и серы токсиканта с атомом водорода от углеводородного хвоста триглицерида. Сероводородная связь H58...S85 обуславливается пространственной близостью водорода к кислородным группам, за счет чего осуществляется его небольшая подвижность. Геометрические параметры и величина переноса зарядов указывает на преобладание связи H58...S85. Для данной структуры найден довольно глубокий минимум ППЭ системы, что предполагает формирование достаточно устойчивого соединения.
Хорошее согласие рассчитанных величин ∆E адсорбции с экспериментальными величинами говорит о корректности использования методики кластерного моделирования и применения для расчетов подобных взаимодействий квантово-химического метода PM3.
Для выявления реакционных центров в структуре фосфолипида было исследовано множество возможных структур, в результате чего определились основные, участвующие в хемосорбции участки. Оптимизированная структура, демонстрирующая наличие активных центров фосфолдипида, представлена на рисунке 6.
Рис.6. Реакционные центры оптимизированной молекулы фосфолипида (показаны стрелками)
Активные центры поверхности фосфолипида – CO, PO и OH группы, наиболее прочные связи образуются при участии атома водорода у О12Н39 группы фосфолипида.
Для установленных вариантов образования адсорбционных комплексов в системе сероводород-фосфолипид были рассчитаны геометрические, зарядовые и энергетические характеристики, представленные в таблице 3.
Таблица 3. Характеристики моделей АК в системе фосфолипид – сероводород
|
АК |
По связи |
R, Ǻ |
∆q, e |
DEадс, кДж/моль |
|
1 |
O33...Н80 |
1,818 |
-0,011 |
-8,823 |
|
2 |
O12...Н80 |
1,887 |
-0,0111 |
1,930 |
|
3 |
O10...Н80 |
1,879 |
-0,0113 |
-3,751 |
|
4 |
Н39...S81 |
2,449 |
0,0243 |
-10,005 |
Связь в модели АК1 образуется за счет атома кислорода РО группы молекулы поверхности и атома водорода сорбата. Длина образованной водородной связи, изменения в геометрии поверхности, перераспределение зарядов и энергия адсорбции подтверждают существование именно данного реакционного центра.
В соединении АК2 происходит взаимодействие атома водорода сероводорода с атомом кислорода гидроксильной группы поверхности. На образование водородной связи и наличие активного центра поверхности указывает значение длины связи между взаимодействующими атомами. Величина переноса заряда предполагает перераспределение электронной плотности на поверхность, что указывает на образование связи именно между кислородом и водородом. Минимум ППЭ найден только локальный.
Молекулярная модель соединения АК3 по всем параметрам демонстрирует образование водородной связи между атомом водорода молекулы сероводорода и атомом кислорода молекулы поверхности фосфолипида. Найден минимум ППЭ, что указывает на устойчивость данной конструкции. Величина переноса зарядов отрицательна в силу перераспределения электронной плотности на молекулу сероводорода.
Система АК5 демонстрирует водородную связь при взаимодействии серы у сероводорода и водорода гидроксильной группы поверхности. Молекула сероводорода поворачивается водородами к кислороду O4 карбонильной группы поверхности, слабо притягиваясь к нему, но, не образовывая с ним достаточно очевидной связи. Зарядовые характеристики указывают на перераспределение зарядов на поверхность токсиканта, что объясняется образующейся связью с серой. Данное соединение энергетически устойчиво.
Для выявления реакционных центров в структуре мальтозы было составлено и исследовано множество различных моделей взаимодействий в системе сорбат-сорбент, среди которых выявились основные реакционные центры молекулы поверхности. На рисунке 7 представлены вероятные активные центры молекулы мальтозы.

Рис.7. Реакционные центры оптимизированной молекулы мальтозы (показаны стрелками)
Для полученных вариантов образования адсорбционных комплексов в системе сероводород-мальтоза были рассчитаны геометрические, зарядовые и энергетические характеристики, представленные в таблице 4.
Таблица 4. Характеристики АК в системе сероводород - гликозид
|
АК |
По связи |
R, Ǻ |
∆q, e |
DEадс, кДж/моль | |||
|
PM3 |
STO-3G |
PM3 |
STO-3G |
PM3 |
STO-3G | ||
|
1 |
H28...S45 |
2,523 |
0,0113 |
-0,0445 |
-0,941 |
-11,716 | |
|
O7...H46 |
1,883 |
1,787 | |||||
|
2 |
H46...O12 |
1,867 |
1,716 |
-0,0117 |
-0,0642 |
-1,027 |
-20,127 |
|
3 |
H48...O3 |
2,834 |
1,729 |
0,0022 |
-0,0632 |
-6,181 |
-15,803 |
|
H46...O17 |
3,041 | ||||||
|
4 |
H46...O17 |
2,933 |
1,915 |
-0,007 |
-0,0731 |
-11,324 |
-22,898 |
|
H48...O3 |
1,871 |
1,811 | |||||
|
5 |
H46...O17 |
1,871 |
1,676 |
-0,007 |
-0,0569 |
-11,101 |
-21,678 |
|
6 |
H46...O22 |
1,919 |
1,763 |
-0,0095 |
-0,0530 |
-1,330 |
-19,189 |
|
7 |
H46...O23 |
1,878 |
1,717 |
-0,0104 |
-0,0651 |
0,437 |
-21,571 |
|
8 |
H46...O21 |
1,877 |
1,580 |
-0,0075 |
-0,0993 |
2,020 |
-28,694 |
|
9 |
H46...O18 |
1,892 |
1,774 |
-0,0093 |
-0,0526 |
7,928 |
-16,450 |
|
10 |
H46...O5 |
1,878 |
1,750 |
-0,0099 |
-0,0588 |
0,819 |
-15,094 |
Активные центры поверхности мальтозы – гидроксильные группы и лактамный кислород у одного из колец.
В системе АК1 для одинаковых начальных параметров структуры результаты полуэмпирического и неэмпирического методов различны. Согласно данным расчетов методом PM3, связь, преимущественно, происходит при взаимодействии серы с водородом гидроксильной группы поверхности. По результатам неэмпирического расчета наиболее реакционноспособным в гидроксогруппе оказывается кислород. И тот и другой метод дают хорошие значения энергии адсорбции, что говорит о прочности образованных соединений. Величины переноса зарядов указывают на перераспределение зарядов на поверхность для ab initio расчетов и на молекулу токсиканта для полуэмпирических расчетов.
В модели АК2 водородная связь образуется посредством влияния водорода сорбата на кислород гидроксильной группы мальтозы. Хорошее согласие неэмпирического и полуэмпирического методов расчета указывает на удачно выбранную модель для поиска взаимодействия сорбат – сорбент.
Анализ результатов показывает, что в некоторых случаях (АК7, АК8, АК10) поиск минимума полной энергии в случае расчета методом PM3 ограничивается локальной точкой, которая находится выше заданных начальных условий, что требует критического отношения к получаемым значениям. Для данных систем можно считать, что в результате оптимизации получен ложный минимум. В этом случае применение неэмпирического метода STO-3G имеет свою значимость. Однако, для выявления активного центра молекулы нам важно не то, как молекула принимает такое положение, а то, какое положение для неё наиболее вероятно среди множества возможных.
Ввиду вышеперечисленного можно говорить о корректности использования данного кластерного моделирования и применении данной методики для расчетов подобных взаимодействий.
Полученные данные могут быть использованы для разработки средств и методов детоксикации сероводорода с целью уменьшения его воздействия на биологические мембраны и на живые организмы в целом.
Для создания антидотов, в перспективе, требуются расчеты энергий взаимодействия сероводорода с рядом нетоксичных или малотоксичных антидотов, при этом суммарная энергия таких взаимодействий должна быть меньше той, что получается при расчетах систем “сероводород – структурные элементы клеточных мембран”.
В отличие от лабораторных исследований, здесь можно использовать огромное множество претендентов на роль антидотов. Эта задача может быть решена при использовании методов квантовой механики, физики и физико-химического моделирования сорбционных процессов, моделирования технологических установок жизнеобеспечения при наличии в естественной среде токсикантов.
В приложении представлены z-матрицы и рисунки составленных и оптимизированных молекул отдельных компонентов клеточных мембран.
ОСНОВНЫЕ РЕЗУЛЬТАТЫ РАБОТЫ И ВЫВОДЫ
1. На основе применения математического моделирования, численных методов и комплексов программ установлен механизм воздействия сероводорода на отдельные структурные элементы клеточных мембран.
2. Проведен анализ квантово-химических методов, обеспечивающих наиболее корректное решение задачи моделирования процесса воздействия сероводорода на структурные элементы клеточных мембран, и требующих минимальных затрат ресурсов ЭВМ. Проведен анализ комплексов программ для решения поставленной задачи.
3. Сформированы кластерные модели структурных элементов клеточных мембран.
4. Методом PM3 и неэмпирическим методом в базисе STO-3G по программному комплексу GAMESS выполнены расчеты оптимизации структур адсорбционных комплексов воздействия сероводорода на поверхность компонентов с градиентом оптимизации 10-4.
5. На основе полученных расчетных данных были выявлены активные центры поверхности мембраны, которые с наибольшей вероятностью атакуются сероводородом.
6. Совокупность результатов, полученных применительно к исследованным соединениям, может стать научной основой для создания технологий снижения риска и уменьшения последствий воздействия различных токсикантов в результате природных и техногенных катастроф.
Моделирование процесса влияния сероводорода на биологическую мембрану позволяет считать, что выбранные методы расчета могут быть распространены для случаев расчета взаимодействий других токсикантов со структурными элементами клеточных мембран.
ОСНОВНЫЕ РЕЗУЛЬТАТЫ ДИССЕРТАЦИИ ОПУБЛИКОВАНЫ В СЛЕДУЮЩИХ РАБОТАХ
1. Головацкая (Жарких) -химическое моделирование образования адсорбционных комплексов между молекулой гербицида и поверхностью алюмосиликатов / , , //Эколого-биологические проблемы бассейна Каспийского моря: Материалы VII Международной науч. конф. Астрахань. – 2004. – С.33-35.
2. Головацкая (Жарких) -химическое кластерное моделирование адсорбции фенола на поверхности алюмосиликатов / , , //Экологические системы и приборы. – 2005. – № 9. – С.27-29.
3. Жарких -химическое кластерное моделирование адсорбции сероводорода на липидный компонент биологической мембраны / , , //Фундаментальные и прикладные проблемы современной химии в исследованиях молодых ученых: Материалы Международной науч. конф. 10-12 сентября 2006г. – Астрахань: Издательский дом «Астраханский университет», – 2006. – С. 199-202.
4. Жарких моделирование процесса адсорбции сероводорода на углеводный компонент клеточной мембраны / , , //Фундаментальные и прикладные проблемы современной химии в исследованиях молодых ученых: Материалы Международной науч. конф. 10-12 сентября 2006г. – Астрахань: Издательский дом «Астраханский университет», – 2006. – С. 205-207.
5. Жарких процесса взаимодействия сероводорода с белковым компонентом клеточной мембраны / // Южно-Российский вестник геологии, географии и глобальной энергии. – 2006. – №7. – С.107-109.
6. Жарких -химическое кластерное моделирование процесса адсорбции сероводорода на поверхности белковой мембраны / // Вестник МГОУ. Серия химическая. – 2006. – №9. – С. 56-59.







