На правах рукописи
Гидратация и ионный транспорт в катионообменных мембранах по данным ЯМР
02.00.04 – физическая химия
АВТОРЕФЕРАТ
диссертации на соискание ученой степени
кандидата химических наук
Черноголовка – 2010
Работа выполнена в Учреждении Российской академии наук Институте проблем химической физики
Научный руководитель: | доктор физико-математических наук, профессор |
Официальные оппоненты: | доктор химических наук, профессор , Филиал Московского государственного университета приборостроения и информатики в г. Серпухове доктор химических наук, профессор , Воронежский государственный университет, химический факультет |
Ведущая организация: | Санкт-Петербургский государственный университет |
Защита состоится 22 декабря 2010 года в 10:00 на заседании диссертационного совета Д 002.082.02 при учреждении Российской академии наук Институте проблем химической физики Московская обл., Ногинский р-н, г. Черноголовка, пр-т Академика Семенова,.
С диссертацией можно ознакомиться в библиотеке Института проблем химической физики.
Автореферат разослан 2010 года.
Ученый секретарь диссертационного совета,
доктор химических наук
ОБЩАЯ ХАРАКТЕРИСТИКА РАБОТЫ
Актуальность темы.
В последнее время возрос интерес к ионообменным мембранам, обладающим высокой ионной проводимостью при малых влагосодержаниях. Как показали исследования электромассопереноса в мембранах различного типа, высокая подвижность ионов и молекул воды в этих условиях может быть достигнута посредством введения в транспортные каналы полярных групп, формирующих дополнительную сетку водородных связей. Перспективным методом улучшения транспортных характеристик мембран при низких относительных влажностях является введения неорганических добавок в перфторированные сульфокатионитовые мембраны (мембраны Нафион и МФ-4СК, модифицированные оксидами кремния, циркония, вольфрамосодержащей гетерополикислотой). Особый интерес представляет композитные мембраны, например, мембраны на основе поливинилового спирта и фенолсульфокислоты, сшитые глутаровым альдегидом, а также мембраны, в которых дополнительные ионогенные группировки включены в состав полимерной матрицы (мембраны на основе ароматических сульфосодержащих полиамидов). Две последние системы рассмотрены в данной работе.
Научной базой для создания таких мембран является исследование процессов формирования транспортных каналов и особенностей ионного и молекулярного как в исходных полимерных материалах, так и в полученных из них пленках.
Ионный транспорт в мембранах во многом связан с подвижностью молекул воды и определяется характером гидратации мембран. Для выявления механизмов ионной проводимости важно сопоставить особенности гидратации ионогенных групп, трансляционную подвижность молекул воды и ионов и электропроводность мембран. Такое исследование, которое, прежде всего, необходимо осуществить на мембранах с хорошо изученной структурой транспортных каналов, может быть проведено методом ЯМР высокого разрешения и ЯМР с импульсным градиентом магнитного поля.
Представленные в диссертации исследования поддержаны грантами Российского фонда фундаментальных исследований: № -а, № -а, № -а и министерства образования и науки Российской Федерации № 02.740.11.0263.
Цель работы: Выявление механизмов ионной (протонной) проводимости в ионообменных мембранах на основании установления взаимосвязи между структурой мембран, гидратацией катионов, ионогенных и полярных групп и параметрами ионного и молекулярного транспорта.
· Для достижения цели необходимо было решить следующие задачи:
· Исследовать особенности гидратации в следующих ионообменных материалах:
· в гомогенных мембранах с различными катионообменными группами, выступающих как модельные системы (перфторированные сульфо и карбоксилсодержащие мембраны)
· в мембранах на основе ароматических сульфосодержащих полиамидаов различного химического состава
· в композитных мембранах на основе поливинилового спирта и фенолсульфокислоты в зависимости от соотношения компонентов и степени сшивки.
· Изучить процессы самодиффузии воды и ионов щелочных металлов и основные особенности ионной проводимости в данных системах.
Научная новизна. В результате детального исследования процессов гидратации в кислой и солевой формах сульфо - и карбоксильных перфторированных мембранах рассматриваемых как модельные системы с известной структурой транспортных каналов методами ЯМР спектроскопии на ядрах 1Н, 7Li, 23Na и 133Cs получены следующие фундаментальные результаты.
· Выявлены особенности гидратации противоионов Н+ и катионов щелочных металлов, фиксированных на ионогенных сульфо - и карбоксильных группах, определены числа гидратации этих катионов.
· Определены доли контактных ионных пар в зависимости от влагосодержания мембран.
· Эти результаты позволили понять особенности процессов гидратации в мембранах более сложного состава и объяснить механизм ионного и молекулярного транспорта.
· Впервые однозначно установлено, что молекулы воды в ароматических сульфосодержащих полиамидах связываются не только с сульфогруппами, но и с амидными группами, что сопровождается образованием дополнительной сетки водородных связей. Показано, что в композитных мембранах на основе поливинилового спирта допированного фенолсульфокислотами важную роль в формировании непрерывной сетки водородных связей играют ОН группы спирта.
· Установлено, что трансляционная подвижность молекул воды определяется особенностями гидратации катионов. Коэффициенты самодиффузии воды в перфторированных сульфокатионитовых мембранах возрастают в следующем ряду ионных форм Li+, Na+, Cs+, H+. Коэффициенты самодиффузии молекул воды в солевых формах перфторированных карбоксильных мембран изменяются в той же последовательности, в то время как, в кислых формах коэффициенты самодиффузии воды на несколько порядков ниже по сравнению с сульфокатионитовыми мембранами.
· Показано, что введение полярных групп в транспортные каналы мембран формирует дополнительную сетку водородных связей и, в результате этого, возрастает трансляционная подвижность молекул воды при малых влагосодержаниях.
· Сопоставлены результаты по самодиффузии молекул воды, ионов щелочных металлов и ионной проводимости. Величины ионной проводимости, рассчитанные на основании уравнения Нернста-Эйнштейна, исходя из коэффициентов самодиффузии катионов лития, совпадают с экспериментальными значениями. Ионные проводимости, рассчитанные по коэффициентам самодиффузии воды всего лишь в несколько раз выше экспериментальных, что свидетельствует о корреляции трансляционных перемещений воды и гидратированных катионов.
Практическая значимость работы. Исследуемые в работе ионообменники используются в качестве ионообменных и ионпроводящих мембран в различных электрохимических устройствах, таких как низкотемпературный водородный топливный элемент, устройствах для селективного разделения катионов металлов и водно-органических смесей.
Предложены новые перспективные мембранные системы на основе ароматических сульфосодержащих полиамидов. Выявлен механизм ионного и молекулярного транспорта и сформулированы рекомендации по созданию селективных ионообменных систем с высокой ионной проводимостью при низких влагосодержаниях.
Установленные общие закономерности электромассопереноса позволят прогнозировать транспортные свойства других мембран и способствовать целенаправленному синтезу новых мембран с заданными свойствами.
Публикации. Основное содержание работы отражено в 11 статьях, 8 из которых опубликованы в журналах, входящих в утвержденный ВАК РФ перечень научных изданий.
Апробация результатов исследования. Результаты работ были доложены на Всероссийской конференции "Структура и динамика молекулярных систем" (Казань – Москва – Йошкар-Ола – Уфа, 2007, 2008, 2009, 2010 г), научной конференции МФТИ (Москва – Долгопрудный, 2007, 2008, 2009 г.), Всероссийской научной конференции «Мембраны-2007» (Москва, 2007 г), Всероссийской конференции «Физические проблемы водородной энергетики» (С.-Петербург, 2007 г.), всероссийская конференция «Физико-химические процессы в конденсированных средах и на межфазных границах ФАГРАН – 2008» (Воронеж, 2008 г.), международном совещании «Фундаментальные проблемы ионики твердого тела» (Моск. область, г. Черноголовка, 2008 г.), Российская конференция с международным участием «Ионный перенос в органических и неорганических мембранах» (Туапсе, 2008, 2009, 2010 г.), международный симпозиум «ЯМР в гетерогенных системах» (С.-Петербург, 2008, 2009, 2010 г.).
Личный вклад диссертанта Получение образцов мембран в различных ионных формах, определение влагоемкости и обменной емкости мембран. Измерение коэффициентов самодиффузии методом ЯМР с импульсным градиентом магнитного поля, регистрация и обработка спектров ЯМР. Обработка экспериментальных данных и их интерпретация.
Структура работы. Диссертация состоит из введения, четырех глав, выводов и списка литературы, изложена на 120 страницах, содержит 34 рисунка, 9 таблиц. Список литературы включает 125 библиографических наименований.
ОСНОВНОЕ СОДЕРЖАНИЕ РАБОТЫ
В первой главе представлен обзор литературы по теме диссертации, рассмотрены способы получения мембран и их основные физико-химические свойства. Сформулированы основные направления исследований.
Во второй главе представлены характеристики объектов и методов исследования. Объектами исследования являлись перфторированные сульфокатионообменные мембраны МФ-4СК, карбоксильные мембраны Ф-4КФ, мембраны на основе ароматических сульфосодержащих полиамидов, а также композитные мембраны на основе поливинилового спирта и фенолсульфокислоты (ПВС/Ф-2,4-ДСК). Структура элементарного звена некоторых исследуемых полимеров представлена на рис. 1.
Мембраны исследовались как в кислой форме, так и в Li+, Na+, K+, Cs+-ионных формах. Описаны характеристики данных ионообменных систем и способы их подготовки для анализа методами ЯМР и импедансной спектроскопии. Влагосодержание мембран определялось гравиметрически – образцы помещались в эксикатор с определенной относительной влажностью и выдерживались до постоянной массы. Экспериментальные ЯМР спектры получены на приборе AVANCE-500 фирмы Bruker. Коэффициенты самодиффузии молекул воды и ионов измерялись на ЯМР-спектрометре с импульсным градиентом магнитного поля AVANCE-400 фирмы Bruker, а также на ЯМР-диффузометре с частотой на протонах 100 МГц, разработанном и изготовленном на кафедре физики молекулярных систем Казанского федерального университета.




Бисульфосодержащие ароматические полиамиды


Моносульфосодержащие ароматические полиамиды
Ароматические полиамиды без сульфогрупп (Фенилон)
Me = Li, Na, Cs

Мембраны на основе поливинилового спирта и фенолсульфокислоты
Рис. 1. Исследуемые образцы.
В третьей главе рассмотрены особенности гидратации противоионов Н+ водорода и ионов щелочных металлов в изучаемых полиэлектролитах. На основании анализа зависимостей химических сдвигов на ядрах 1Н, 7Li, 23Na, 133Cs от количества молекул воды, приходящихся на одну ионогенную группу (n) и химической природы полимерной матрицы оценены числа гидратации катионов и установлен механизм взаимодействия катион-ионогенная группа [1,2].
Зависимости химического сдвига 1Н воды от содержания воды для мембран МФ-4СК и Ф-4КФ приведены на рис. 2.

Рис.2. Зависимость химического сдвига δ протонов воды в мембране относительно химического сдвига объемной воды δH2O от влагосодержания в мембранах МФ-4СК и Ф-4КФ в различных ионных формах.
Химические сдвиги 1H резко изменяются, начиная с некоторого критического значения n. Причиной этого является то, что при низком содержании воды все молекулы воды входят в состав первой гидратной оболочки катиона. По сравнению с H+, Li+, Na+- ионными формами, в которой энергия гидратации больше чем энергия связи с водородом, энергия гидратации ионов Cs+ ниже, поэтому изменения химических сдвигов протона в Cs-пленках не так сильны. Экспериментальное значение химического сдвига протона определяется как
(1)
где δc является химическим сдвигом молекул воды в первой гидратной оболочке (δc составляет около 3-4 м. д. для катионов щелочных металлов и 11-13 для катиона H+), δw химический сдвиг свободной воды (δw составляет 4,7 м. д.), h0 - число гидратации (количество молекул воды в первой гидратной оболочке) n – общее количество молекул воды, приходящееся на одну ионогенную группу. Рассчитанные числа гидратации составляют 2,3 ± 0,5, 3,8 ± 0,5, 3,5 ± 0,5, 1,7 ± 0,5 и 1,3 ± 0,5, 2,8 ± 0,5, 2 ± 0,5, 1 ± 0,5 для H+, Li+, Na+, Cs+-форм сульфо - и карбоксильных перфторированных мембран, соответственно (рис. 3). Числа гидратации для катионов Li+, Na+, Cs+ также были оценены по зависимости 7Li, 23Na и 133Cs химических сдвигов от влажности. Эти значения находятся в хорошем согласии с данными протонного магнитного резонанса.

Рис. 3. Числа гидратации h0 H+, Li+ , Na+, Cs+ катионов в мембранах МФ-4СК и Ф-4КФ.
На Рис.4 приведены спектры ЯМР на ядрах 1Н молекул воды в Na+ форме перфторированных мембран, мембран на основе ароматических сульфосодержащих полиамидов и в полиамиде без сульфогрупп (фенилоне) при различных влагосодержаниях.
В отличие от перфторированных сульфокатионитовых мембран, в полиамидных системах химический сдвиг воды практически не зависит от влагосодержания и смещен в слабые поля.

Рис. 4. 1Н ЯМР спектры перфторированных сульфокатионитовых мембран МФ-4СК (а), ароматических моно-(б) и бисульфосодержащих (в) полиамидов, а также поли-м-фениленизофталамида (полиамид без сульфогрупп – фенилон) (г) при различной относительной влажности. Узкая вертикальная линия соответствует свободной воде.
Смещение химического сдвига в слабые поля в случае ароматических полиамидов происходит за счет дополнительного связывания молекул воды с полярными карбонильными и амидными группами полимерной матрицы и образования дополнительных водородных связей. В этом случае экспериментальные значения химического сдвига определяются как
(2)
где δa – химический сдвиг молекул воды на амидных группах, а m – количество этих молекул. Таким образом, относительное количество молекул воды, связанных с катионом меньше, по сравнению с перфторированными мембранами [3].
Аналогичный анализ спектров для мембран ПВС/ФСК позволил рассчитать параметры сольватного комплекса [4,5].
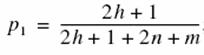
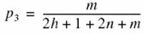
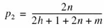
Между кислыми протонами, протонами молекул воды и, вероятно, в данном случае протонами ОН-групп ПВС (и ФСК) осуществляется быстрый обмен. Частота обмена превышает разность частот между резонансами индивидуальных компонентов, что приводит к тому, что спектр гидратированных (сольватированных) противоионов Н+ представляет собой синглетную линию. Наблюдаемый химический сдвиг δ представляет собой средневзвешенную сумму химических сдвигов протонов δi, входящих в состав молекулярных структур Н+(Н2O)h(Н2O)n(OН)m
δ = p1δ1 + p2δ2 + p3δ3 (3)
h – число гидратации кислого протона; значение h = 1 соответствует оксониевому иону Н3O+, h = 2 – иону гидроксония H5O2. Число n соответствует общему количеству молекул воды, приходящихся на одну ионогенную группу. Число m – количество гидроксильных групп поливинилового спирта и фенолсульфокислоты, участвующие в образовании сольватного комплекса. p1, p2, p3 – относительный вклад каждого типа протонов на общее значение химического сдвига. Если предположить, что количество молекул воды h в комплексе Н+(Н2O)h не зависит от концентрации ФСК и количества сшивающего агента, то для коэффициентов p1, p2 и p3 получаем:

(4)

Величина δ1 характеризует химический сдвиг устойчивого комплекса с сильной водородной связью H+(H2O)h. Типичное значение δ1 в сульфокатионитах составляет 11-13 м. д. относительно TMC (тетраметилсилан). Величина δ2 характеризует молекулы воды (4,7 м. д. относительно TMC), δ3 - химический сдвиг протонов гидроксильных групп ПВС и ФСК (5-6 м. д., относительно TMC) [3].
Рассчитанные параметры h и m, полученные из анализа ЯМР-спектров, и экспериментальные значения n приведены в таблице 1.
RH, % | Число молекул воды | Содержание ГА, мол% | ||||
0,5 | 1,5 | 2,5 | 3,5 | 4,0 | ||
10 | h | 1 | 1 | 1 | 1 | 1 |
n | 1,1 | 0,45 | 1,05 | 0,95 | 1,1 | |
m | 0,65 | 1,2 | 1,3 | 2,6 | 1,8 | |
32 | h | 1 | 1 | 1 | 1 | 1 |
n | 2,05 | 2,3 | 2,6 | 2,05 | 2,05 | |
m | -0,3 | 0,54 | -1,5 | 0,2 | 0,14 |
Табл. 1. Расчетные (h, m) и экспериментальные (n) значения стехиометрических коэффициентов для комплекса Н+(Н2O)h(Н2O)n(OН)m при различном влагосодержании и количестве сшивающего агента (глутарового альдегида – ГА) в пленках ПВС/ФСК = 4/1.
Увеличение доли ПВС в композиции, и уменьшение влагосодержания приводит к росту m, и, следовательно, к увеличению доли р3.
На рисунке 5 представлены зависимости химических сдвигов на ядрах 7Li от влагосодержания мембран МФ-4СК, Нафион 117 и карбоксильных мембран Ф-4КФ в Li+ формах.

Рис. 5. Зависимости химических сдвигов спектров ЯМР 7Li от влагосодержания в Li+-формах перфторированных сульфокатионных мембран МФ-4СК (1), Нафион и карбоксильных мембран Ф-4КФ (3).
При n>4 химические сдвиги слабо зависят от типа мембраны и ее влагосодержания. Начиная с n<4, наблюдается резкое уменьшение величины химического сдвига 7Li в сульфокатионных мембранах (рис. 5). Полуширины линий ЯМР 7Li в тех же образцах. При влагосодержаниях n>3÷4 практически одинаковы для всех мембран, а при n<2÷3, происходит их резкое увеличение, что обусловлено возрастанием времени жизни ионов Li+ на ионогенных группах.
Зависимости химических сдвигов от влагосодержания в Na+ формах аналогичны соответствующим кривым для Li+ форм мембран МФ-4СК и Ф-4КФ (рис. 6а).


а б
Рис. 6. Зависимости химических сдвигов спектров ЯМР 23Na(а) и 133Cs(б) от влагосодержания в Na+- и Cs - формах перфторированных сульфокатионных мембран МФ-4СК (1) и карбоксильных мембран Ф-4КФ (2).
Так, при высоких значениях n>4÷5 химические сдвиги ядер 23Na для сульфокатионных и карбоксильных мембран близки (рис. 5). Начиная с n<4÷5, происходит резкое уменьшение величины химических сдвигов линий ЯМР. Этот факт, как и в случае ионов Li+, можно объяснить образованием контактных пар ионогенная группа – катион и резким уменьшением подвижности ионов Na+, начиная с n<4÷5.
В отличие от ионов Li+ и Na+ для ионов Cs+ зависимости химических сдвигов линий ЯМР от влагосодержания выражены существенно слабее (рис. 6б).
Следует отметить, что для карбоксильных мембран химические сдвиги в большей мере смещены в область сильного поля по сравнению с сульфокатионными мембранами (рис. 6б). Слабое влияние влагосодержания на химический сдвиг и полуширину линий ЯМР 133Cs можно объяснить исходя из особенностей гидратации ионов цезия: в отличии от ионов Li+ и Na+, для него энергия взаимодействия катион – вода меньше, чем энергия водородной связи между молекулами воды. В литературе это явление иногда называют отрицательной гидратацией. Это обстоятельство, а также большой кристаллографический радиус Cs+, приводят к тому, что, даже при высоком влагосодержании, молекулы воды предпочитают формировать собственную сетку водородных связей, выталкивая катионы на периферию. При этом ионы Cs+ и ионогенные группы могут непосредственно взаимодействовать друг с другом при любой степени гидратации. На наш взгляд, по этой причине ближайшее окружение иона Cs+ будет лишь незначительно изменяться при варьировании влагосодержания, что выражается в слабой зависимости химического сдвига и полуширины линий ЯМР от количества молекул воды, приходящихся на ионогенную группу.
Наблюдаемые зависимости химических сдвигов и ширин линий ЯМР от влагосодержания n можно интерпретировать следующим образом. При n>>h0 (h0 - количество молекул воды в первой гидратной оболочке катиона) гидратное окружение катионов близко к таковому для водных растворов их солей и приближается к величинам химических сдвигов δр, полученных из зависимостей δ(n) при n→∞. В этих условиях противоион и ионогенная группа образуют разделенную ионную пару. Когда молекул воды недостаточно для заполнения координационной сферы иона (n<h0), в его окружении с высокой вероятностью могут оказаться SO3 - или COO- группа. В результате образования такой контактной ионной пары происходит искажение симметрии гидратной оболочки и уменьшение частоты поступательных движений ионов τd-1. Оба эти фактора приводят к возрастанию величин химических сдвигов и ширин линий ЯМР ионов щелочных металлов [2].
Химический сдвиг ядер щелочных металлов можно рассчитать по формуле:
(5)
где pk и pр – относительные доли контактных и разделенных ионных пар соответственно, δiк δiр – химические сдвиги ионов, образующих контактную и разделенную ионную пары соответственно [1].
Из этого уравнения, была рассчитана зависимость относительной доли контактных ионных пар от влагосодержания (рис. 7).

Рис. 8. Зависимость относительной доли контактных ионных пар pc от влагосодержания для сульфокатионитовых (1 – 3) и карбоксильных (4 – 6) мембран в различной ионной форме.
Доля контактных ионных пар увеличивается в ряду Cs+>Na+>Li+ ионных форм и при переходе от сульфокатионообменных мембран к карбоксильным.
В четвертой главе рассмотрены процессы самодиффузии молекул воды и ионов щелочных металлов в исследуемых системах и проведено сопоставление данных по самодиффузии с результатами по электропроводности [6-8].
Зависимости коэффициентов самодиффузии молекул воды от влагосодержания для перфторированных мембран в различной ионной форме представлены на рисунке 8а.


а б
Рис. 8. Зависимость коэффициентов самодиффузии молекул воды от влагосодержания для сульфокатионообменных и карбоксильных перфторированных мембран в различной ионной форме (а), Зависимость коэффициента самодиффузии молекул воды в кислой форме мембраны Ф-4КФ от времени диффузии при относительной влажности 95% (б).
Коэффициенты самодиффузии воды в сульфокатионитовых мембранах увеличиваются в ряду H+> Cs+> Na+> Li+. Коэффициенты самодиффузии воды в солевых формах карбоксильной мембраны располагаются в том же ряду. Но в отличие от мембран МФ-4СК, поведение воды в кислой форме карбоксильных мембран существенно отличается. В этих системах наблюдается ограниченная диффузия, которая проявляется в уменьшении коэффициента самодиффузии воды с увеличением времени диффузии (рис. 8б). Размер ограничений составляет около 1 мкм и уменьшается с уменьшением количества воды.
Причиной этого ограничения является, предположительно, образование внутренних водородных связей между ОН и СОО - группами соседних макромолекул.
Зависимости ионной проводимости мембран от влагосодержания представлены на рисунке 9.

Рис. 9. Зависимость электропроводности от влагосодержания для сульфокатионообменных и карбоксильных перфторированных мембран в различной ионной форме.
Проводимость образцов в области n<h0 резко падает с уменьшением влагосодержания. В сульфокатионитовых мембранах величина проводимости уменьшается с уменьшением радиуса иона в ряду Cs+, Na+, Li+ (кривые 2,3 и 4, Рис.9) , в то время как в карбоксильных мембранах наблюдается обратная картина (кривые 6,7,8). Для Li+ и Na+-ионных форм проводимость в сульфокатионных мембранах выше, чем в карбоксильных. Для Cs+-формы наблюдается обратная зависимость. Наиболее вероятно это объясняется большим радиусом ионов цезия. За счет этого их взаимодействие с матрицей мембраны и с молекулами воды оказывается достаточно слабым даже при низких степенях гидратации. Более того, при низких степенях гидратации перескок катионов цезия между атомами кислорода ионогенных групп лимитируется не столько отрицательным зарядом на ионах кислорода, сколько расстоянием между ними, которое близко для обоих типов мембран. В случае карбоксильных мембран это расстояние может оказаться меньше из-за большего отрицательного заряда на атомах кислорода.
Проводимость в кислой форме карбоксильных мембран на 4 порядка ниже по сравнению с проводимостью в кислой форме сульфокатионитовых мембран.
Данные по проводимости хорошо согласуются с данными по самодиффузии.
На основании уравнения Нернста-Эйнштейна
(6)
была рассчитана ионная проводимость, полученные данные представлены в таблице 2.
Ионная форма | МФ-4СК | Ф-4КФ | |||
σэксп., См/см | σрассч. , См/см | σэксп. , См/см | σрассч. , См/см | ||
H+ | 2,8·10-2 | 4.3·10-2 | 1,5·10-7 | 1.5·10-6 | |
Li+ | 6,2·10-3 | 1.1·10-2 | 6,5·10-3 | 1,01·10-3 | 4.3·10-3 |
Na+ | 6,1·10-3 | 1.2·10-2 | 1,2·10-3 | 4.6·10-3 | |
Cs+ | 3,4·10-4 | 8.3·10-4 | 3,7·10-4 | 7.2·10-4 | |
Табл. 2. Рассчитанные исходя из коэффициентов самодиффузии воды и измеренные значения ионной проводимости для мембран МФ-4СК и Ф-4КФ в различных ионных формах при относительной влажности 95%.
Для Li+ формы мембран МФ-4СК σэксп. и σрассч. , рассчитанное исходя из коэффициентов самодиффузии катионов лития совпадают в пределах ошибки измерения (6,2·10-3 См/см и 6,5·10-3 См/см, соответственно). Значения ионной проводимости, рассчитанное исходя из коэффициентов самодиффузии воды в несколько раз выше экспериментальных величин. Близость этих значений свидетельствует о том, что трансляционные перемещения катионов и молекул воды скоррелированы.
В композиционных мембранах на основе поливинилового спирта и фенолсульфокислоты самодиффузия воды характеризуется двумя коэффициентами самодиффузии Ds1 и Ds2 [4].
Уменьшение доли кислотных компонентов Ф-2,4-ДСК приводит к резкому замедлению подвижности воды. Коэффициент самодиффузии воды, обладающей максимальной трансляционной подвижностью, снижается примерно на порядок при изменении соотношения ПВС/Ф-2,4-ДСК от 4/1 до 10/1, в то же время коэффициент самодиффузии менее подвижной воды на данном интервале меняется почти на два порядка. Поведение проводимости и подвижности схоже. Проводимость снижается с уменьшением доли фенол-2,4-дисульфокислоты (рис. 10).

Рис. 10. Зависимость протонной проводимости, коэффициента самодиффузии воды (Ds1 и Ds2) и рассчитанных коэффициентов диффузии (Dsσ) в мембране ПВС/Ф-2,4-ДСК от мольной доли кислоты, при 75% относительной влажности.
В соответствии с полученными данными предположено, что за протонную проводимость отвечает наиболее подвижная компонента воды. При изменении относительной влажности от 10% до 95%, коэффициенты самодиффузии возрастают на два порядка (кривые Ds1 и Ds2), в то время как протонная проводимость в этих условиях увеличивается на один порядок (кривая σ). Это может быть объяснено совместным существованием нескольких механизмов протонной проводимости в мембране ПВС/Ф-2,4-ДСК. Предполагается, что при большом влагосодержании основной вклад в перенос протона вносит экипажный механизм проводимости, то есть диффузия гидратированных протонных комплексов. При малом влагосодержании определяющую роль в переносе протона играет его миграция по сетке водородных связей, в которой участвуют сульфогруппы Ф-2,4-ДСК и гидроксильные группы ПВС, что обуславливает эстафетный механизм переноса.
Были изучены зависимости коэффициентов самодиффузии воды и проводимости от концентрации сульфогрупп и влагосодержания в механических смесях моносульфосодержащего полиамида и фенилона [3,9,10]. Зависимости коэффициентов самодиффузии воды и удельной электропроводности пленок от относительной доли сульфосодержащего фрагмента α приведены на рис.11.

Рис. 11. Зависимости коэффициентов самодиффузии молекул воды Ds и удельной электропроводности σ от состава полиамида.
Важно отметить, что количество молекул воды было фиксировано и составляло около 4 молекул воды на звено (карбонильная группа и сульфогруппа). Варьирование α от 0 (фенилон) до 100% (моносульфосодержащий полиамид) сопровождалось возрастанием коэффициента самодиффузии воды всего лишь на порядок, в то время как электропроводность возрастала более чем на 2 порядка при изменении степени замещения α от 35% до 90%. Аналогичные результаты были получены для зависимостей коэффициентов самодиффузии и электропроводности от влагосодержания (рис.12).

Рис. 12. Зависимости коэффициентов самодиффузии молекул воды (кривая 1) и электропроводности (кривая 2) от влагосодержания в мембранах на основе моносульфосодержащих ароматических полиамидов. n – количество молекул воды, приходящееся на звено, включающее в себя сульфо - и амидную группу.
На Рис.13 представлены зависимости ионной проводимости от обменной емкости (ОЕ) для моносульфосодержащих полиамидов в различных ионных формах. Эта зависимость имеет пороговый характер. Величина ионной проводимости возрастает на 3 порядка в области ОЕ от 0,7 мг-экв/г – 1,4 мг-экв/г

Рис. 13. Зависимости ионной проводимости от величины обменной емкости для моносульфосодержащих ароматических полиамидов для различных ионных форм.
На рис. 14 представлен характерный пример зависимости спектров ЯМР на ядрах 1Н от величины градиента магнитного поля (диффузионное затухание) для бисульфосодержащих ароматических полиамидов.

Рис.14. Спектры ЯМР на ядрах 1Н при различных значениях амплитуды градиента магнитного поля в Li+ форме μПА, количество молекул воды на звено n = 100. Интенсивная линия справа принадлежит протонам молекул воды. Линии меньшей интенсивности относятся к протонам полимерных молекул
Диффузионное затухание протонов молекул воды имеет двухэкспоненциальный вид. Соответствующие значения коэффициентов самодиффузии Ds1 и Ds2 и относительных долей p1 и р2 приведены в таблице 3.
Тип полимера | n | Ds1, м2/с | p1 | Ds2, м2/с | p2 |
μПА, Li-соль | 50 | 4,5·10-10 | 0,97 | 3,0·10-11 | 0,03 |
8 | 7,0·10-11 | 0,76 | 2,0·10-11 | 0,24 | |
πПА, Li-соль | 50 | 9,0·10-10 | 0,93 | 3,0·10-11 | 0,05 |
4 | 6,0·10-11 | 0,60 | 1,5·10-11 | 0,40 |
Табл. 3. Значения коэффициентов Ds1 и Ds2, p1 и p2 при Т=293К для разных n в системах ПА-вода.
Трансляционная подвижность полимерной компоненты в μПА существенно выше по сравнению πПА. Так, например, при n=100, коэффициенты самодиффузии макромолекул составляют величины порядка 10-11м2/сек и 10-12м2/сек для μПА и πПА, соответственно.
Анализ формы диффузионного затухания показал, что в водных растворах полиамидов вода гидратации макромолекул существует в двух состояниях, отличающихся своей диффузионной подвижностью и характеризующихся коэффициентами самодиффузии Ds1 и Ds2. Даже при больших влагосодержаниях коэффициенты самодиффузии Ds1 и Ds2 заметно меньше коэффициента самодиффузии объемной воды, так, например, для литиевой соли μПА Ds2 = 3,0·10-11 м2/с и Ds1 = 4,5·10-10 при Т = 293 К, n = 50 (табл. 1), в то время как для объемной воды при этой температуре Ds = 2,3·10-9 м2/с. Отсюда следует, что, даже при больших n, вся вода связана с полярными группами макромолекул.
В бисульфосодержащих ароматических полиамидах надмолекулярная структура формируется в результате образования водородных связей между карбонильными и N-H группами соседних макромолекул с включением в их состав, в качестве структурообразующего агента, молекул воды (около одной – двух молекул воды на амидную группу). Молекулы воды, сорбированные сверх указанной выше величины, располагаются в ионогенных каналах, в которые кроме полярных амидных групп преимущественно входят гидратированные сульфогруппы.
Диффузионные затухания для ядер 7Li, 23Na, 133Cs является экспоненциальным (рис. 15). Значения коэффициентов самодиффузии ионов щелочных металлов в растворах разных концентраций приведены в табл. 4.

Рис. 15. Диффузионные затухания ядер 7Li, 23Na, 133Cs в Li+, Na+,Cs+ ионных формах полиамидов μПА, соответственно. Количество молекул воды, приходящееся на звено равно 100.
Тип полимера | n | Ds, м2/с |
μПА, Li-соль | 100 | 7,6·10-10 |
60 | 3,9·10-10 | |
μПА, Na-соль | 150 | 8,9·10-10 |
100 | 8,3·10-11 | |
60 | 6,6·10-10 | |
μПА, Cs-соль | 150 | 1,3·10-9 |
100 | 1,2·10-9 | |
60 | 1,0·10-9 |
Табл. 4 Значения коэффициентов самодиффузии катионов Li+, Na+, Cs+ в водных растворах μПА при разных значениях n.
Видно, что коэффициенты самодиффузии возрастают в ряду Li<Na<Cs. С возрастанием концентрации полимера, коэффициенты самодиффузии катионов уменьшаются. Наибольший интерес представляет анализ концентрационной зависимости коэффициентов самодиффузии в области малых влагосодержаний, когда количество молекул воды приходящихся на катион близко к числу гидратации катиона. К сожалению, в этих условиях, коэффициенты самодиффузии натрия и цезия не могут быть измерены, так как времена спин-спиновой релаксации ядер этих ионов слишком малы. Поэтому, детальный анализ концентрационных зависимостей коэффициентов самодиффузии был проведен только для ионов Li+ [3].
На рис.16 сопоставлены зависимости коэффициентов самодиффузии катионов лития от количества молекул воды приходящихся на сульфогруппу в бисульфосодержащих полиамидах (кривые 1,2) и перфторированных сульфокатионитовых мембранах МФ-4СК (кривая 3).

Рис. 16. Зависимость коэффициентов самодиффузии ионов лития от влагосодержания в ароматических бисульфосодержащих полиамидов (1 – тере, 2 – изо) и перфторированных мембранах МФ-4СК (кривая 3).
Видно, что при малых влагосодержаниях, трансляционная подвижность катионов лития в полиамидах на порядок выше по сравнению с МФ-4СК. Этот факт позволяет надеяться, что мембраны, изготовленные на основе бисульфосодержащих ароматических полиамидов, будут обладать рекордно высокой ионной проводимостью при малых относительных влажностях. В частности для Na-форм полиэлектролитных комплексов на основе бисульфосодержащих полиамидов ионная проводимость колеблется в пределах 2,5·10-6 до 5,2·10-2 См/см в зависимости от количества сшивающего агента.
ВЫВОДЫ
1. Выявлены основные особенности процессов гидратации в перфторированных сульфокатионитовых и карбоксильных мембранах, композиционных мембранах на основе поливинилового спирта и фенолсульфокислоты и ароматических сульфосодержащих полиамидов. В перфторированных мембранах найдены числа гидратации катионов H+, Li+, Na+, Cs+ и относительные доли контактных и разделенных ионных пар. Рассчитанные числа гидратации составляют 2,3 ± 0,5, 3,8 ± 0,5, 3,5 ± 0,5, 1,7 ± 0,5 и 1,3 ± 0,5, 2,8 ± 0,5, 2 ± 0,5, 1 ± 0,5 для H+, Li+, Na+, Cs+-форм сульфо- и карбоксильных перфторированных мембран, соответственно. Доля контактных ионных пар увеличивается в ряду Cs+>Na+>Li+ ионных форм и при переходе от сульфокатионообменных мембран к карбоксильным. Рассчитаны параметры сольватного комплекса, образующегося в композитных мембранах на основе ПВС/ФСК, показано, что в состав комплекса входят гидроксильные группы поливинилового спирта. Установлено, что в ароматических сульфосодержащих полиамидах молекулы воды сорбируются карбонильными и амидными группами, образуя дополнительные водородные связи.
2. Изучены процессы самодиффузии воды и ионов щелочных металлов Li+, Na+ и Cs+ в тех же самых полимерных системах. Коэффициенты самодиффузии воды в перфторированных сульфокатионитовых мембранах возрастают в следующем ряду ионных форм Li+, Na+, Cs+, H+. Коэффициенты самодиффузии молекул воды в солевых формах перфторированных карбоксильных мембран изменяются в той же последовательности, в то время как в кислых формах коэффициенты самодиффузии воды на несколько порядков ниже по сравнению с сульфокатионитовыми мембранами. Найдены пороговые значения влагосодержаний, при которых наблюдается резкое уменьшение значений коэффициентов самодиффузии. Выявлена структура транспортных каналов в ароматических сульфосодержащих полиамидах, показано участие карбонильных и амидных групп в их образовании и транспорте молекул воды и ионов. Установлено, что аминогруппы в ароматических сульфосодержащих полиамидах и гидроксильные группы в мембранах ПВС/ФСК участвуют в ионном переносе. Показано, что введение полярных групп в транспортные каналы мембран формирует дополнительную сетку водородных связей и, в результате этого, возрастает трансляционная подвижность молекул воды при малых влагосодержаниях. По этим причинам значения коэффициентов самодиффузии при малых влагосодержаниях в двух последних системах значительно выше, чем в перфторированных мембранах.
3. Данные по самодиффузии молекул воды и ионов сопоставлены с результатами измерения электропроводности. Зависимости проводимости от влажности также носят пороговый характер и в общем случае повторяют вид зависимостей коэффициентов самодиффузии от влагосодержания. Величины ионной проводимости, рассчитанные на основании уравнения Нернста-Эйнштейна, исходя из коэффициентов самодиффузии катионов лития, совпадают с экспериментальными значениями. Ионные проводимости, рассчитанные по коэффициентам самодиффузии воды всего лишь в несколько раз выше экспериментальных, что свидетельствует о корреляции трансляционных перемещений воды и гидратированных катионов.
Основное содержание работы изложено в следующих публикациях:
1. Волков подвижность катионов щелочных металлов в перфторированных сульфокатионных и карбоксильных мембранах по данным ЯМР на ядрах 1H, 7Li, 23Na, 133Cs / , , и др. // Журнал неорганической химии. – 2010. – №3. – С. 358–363
2. Воропаева транспорт в композиционных мембранах МФ-4СК, модифицированных неорганическими допантами / , , и др. // Журнал неорганической химии. – 2008. – т 53. – №10. – С. 1643 – 1649.
3. Волков самодиффузии воды и катионов щелочных металлов в системах бисульфосодержащие ароматические полиамиды – вода / , , и др.// Журнал физической химии. – 2010. – т. 84. – № 10. – С. 1 – 7.
4. Нурмиев подвижность в мембранах на основе поливинилового спирта и фенолсульфокислоты по данным ЯМР / , , и др. // Сб. статей XVI Всерос. конф. “Структура и динамика молекулярных систем”, Москва – Йошкар-Ола – Уфа – Казань. – 2010. – т. 2. – С. 154 – 159.
5. Волков протонной проводимости мембран на основе поливинилового спирта и фенолсульфокислоты по данным ЯМР на ядрах 1Н и 13С / , , и др. // Электрохимия. – 2009. – т. 45. – № 4. – С. 1-9.
6. Волков воды и ионная проводимость в перфторированных сульфокатионных мембранах МФ-4СК / , , и др. // Журнал неорганической химии. – 2010. – №3. – С. 355-357.
7. ЯМР в исследовании транспортных свойств протонпроводящих мембран / , , и др. // Альтернативная энергетика и экология. – 2008. – №2. – С. 99 – 104.
8. Pavlov A. Ionic conductivity and water self-diffusion in composite sulfo-carboxil perfluorinated membranes / A. Pavlov, E. Sanginov, S. Timofeev, V. Volkov // Proceeding of international conference «Ion transport in organic and inorganic membranes», Tuapse. – 2010. – p. 137 – 140.
9. Смирнова комплексообразования на сорбционные и диффузионные свойства сульфонатсодержащих полифениленфталамидов / , , и др. // Сб. статей XV Всерос. конф. “Структура и динамика молекулярных систем”, Москва – Йошкар-Ола - Уфа – Казань. – 2008. – С. 181 – 185.
10. Электропроводность и транспортные свойства мембран на основе моно - и бисульфосодержащих ароматических полиамидов / // XVI всероссийская конференция «Структура и динамика молекулярных систем». Йошкар-Ола – Казань – Москва – Уфа. – 2009. – С. 34.
11. . ЯМР-исследование гидратации сульфо - и карбоксильных групп в перфторированных катионообменных мембранах / C. Л. Шестаков, , и др. // Химическая физика. – 2010. – т.29. – №10. – С. 77.
12. Volkov V. I. Water and alkaline metal cation self-diffusion in sulfonated polyelectrolites by pulsed field gradient NMR / V. I. Volkov, G. A. Grigorieva, A. A. Pavlov, A. A. Marinin // Proceeding of international symposium «NMR in heterogeneous systems», Saint Petersburg. – 2010. – P.123.



