Литература: [I, § 23-27]; [II, § 8.1-8.4]
Методические указания
Сила тяжести – равнодействующая сил притяжения к Земле, она распределена по всему объему тела. Силы притяжения, приложенные к частицам твердого тела, образуют систему сил, линии, действия которых сходятся в центре Земли. Поскольку радиус Земли значительно больше размеров любого земного тела, силы притяжения можно считать параллельными.
Из теоремы Вариньона следует:



В однородном теле сила тяжести пропорциональна объему V:
G = γ V,
где
γ - вес единицы объема.
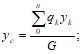
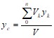
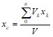
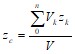
Для однородных тел:
;
;
,
где
V – объем всего тела;
Vк – объем элемента тела.
Центр тяжести однородных плоских тел (плоских фигур)
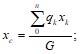
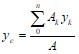
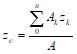
Координаты центра тяжести плоских фигур определяем по формуле:
;
;
,
где
Ак – площадь части сечения;
xk, yk – координаты ЦТ (центра тяжести) частей сечения.
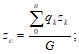
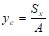
Координаты центра тяжести плоских фигур можно выразить через статический момент.
;
;
; ![]()
Оси, проходящие через центр тяжести, называются центральными осями. Статический момент относительно центральной оси равен нулю.
Нахождение координат центра тяжести судна при перемещении грузов
Вычисление координат центра тяжести судна при перемещении груза основывается на применении теоремы:
Если в системе, состоящей из нескольких тел, одно из тел переместится в каком - либо направлении, то и центр тяжести всей системы переместится в том же направлении параллельно перемещению центра тяжести этого тела. При этом величина перемещения составит такую часть перемещения центра тяжести системы, какую вес тела составляет от веса всей системы.
Определение центра тяжести судна имеет значение при решении ряда вопросов, связанных с морской практикой и теорией корабля: погрузка и распределение грузов по трюмам для создания дифферента или выравнивания крена, крепления грузов, обеспечение остойчивости.
Остойчивость – способность судна, отклоненного действием внешних сил из положения равновесия возвращаться в исходное положение равновесия после прекращения действия этих сил.
Дифферент - разность осадки носа или кормы судна
Осадка судна – расстояние от грузовой ватерлинии до самой нижней точки судна.
Решить задачи:
Определить величину и направление смещения центра тяжести судна, при перемещении груза. Определить координаты центра тяжести судна при погрузо-разгрузочных работах.Последовательность решения типовой задачи:
Вычертить расчетную схему. Выбрать в соответствии с условиями конкретной задачи систему координат. Показать на схеме начальное положение центра тяжести судна и положение груза, также показать указанные в задаче перемещения груза. Величину перемещения центра тяжести судна определить по формуле;![]()
Вопросы для самоконтроля
1. Что такое главный вектор и главный момент?
2. В каком случае главный вектор плоской системы сил является ее равнодействующей?
3. Как аналитически найти главный вектор и главный момент плоской системы сил?
4. Какие уравнения можно составить для уравновешенной произвольной плоской системы сил?
КИНЕМАТИКА
Тема 1.7 Основные понятия кинематики
Понятие о механическом движении. Основные понятия кинематики: траектория, путь, время, скорость и ускорение. Способы задания движения. Средняя скорость и скорость в данный момент. Ускорение полное, нормальное и касательное. Частные случаи движения точки.
Литература: [I, § 58]; [II, § 9.1].
Методические указания
В кинематике изучают движение материальной точки и системы материальных точек, независимо от действующих на них сил.
Определить движение материальной точки – это значит задать положение этой точки относительно выбранной системы отсчета в любой момент времени. Систему отсчета можно связать с любым неподвижным или движущимся телом.
Определить движение тела – это значит задать положение каждой точки этого тела относительно выбранной системы отсчета в любой момент времени.
Вопросы для самоконтроля
1. Что изучает кинематика?
2. Что такое система отсчета?
3. Дайте определение основных понятий кинематики: траектория, расстояние, путь и время.
Тема 1.8 Кинематика точки
Средняя скорость и скорость в данный момент. Ускорение полное, нормальное и касательное. Частные случаи движения точки. Кинематические графики.
Литература: [I, §59 - 61]; [II, § 9.3 – 9.12].
Методические указания
Существует три способа задания движения точки: естественный, координатный и векторный.
Естественный способ задания движения точки. Траектория и закон движения.
Линию, описываемую движущейся точкой относительно выбранной системы отсчета, называют траекторией точки. Форма траектории зависит от выбора системы отсчета.
Если траектория движения точки – прямая линия, то движения точки называют прямолинейным, если траектория движения точки – кривая линия, то движение точки называют криволинейным.
При естественном способе задают траекторию (графически или в виде уравнения) и закон движения точки по траектории:
,
где
S – расстояние, пройденное точкой от начала отсчета.
Скорость.
Вектор
, характеризующий для каждого момента времени быстроту и направление движения точки, называют скоростью точки.
Вектор скорости всегда направлен вдоль касательной к траектории в сторону движения.
Модуль скорости определяется как производная от функции расстояния по времени, т. е.
, при
> 0 движение происходит в сторону положительного отсчета расстояний; движение происходит в сторону положительного отсчета расстояний, точка не движется; при
0, движение происходит в сторону отрицательного отсчета расстояний. Размерность скорости:
.
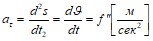
Ускорение.
Характеристикой быстроты изменения скорости по величине и направлению является вектор ускорения ![]()
Модуль касательного ускорения определяется второй производной расстояния по времени:
,
Если
> 0 и
> 0 или
0 и
0, то движение ускоренное и вектор
направлен в сторону вектора скорости.
Если
0 и
> 0 или
> 0 и
0, то движение замедленное и вектор
направлен в сторону, противоположную вектору скорости.
Изменение скорости по направлению характеризуется нормальным ускорением ![]()
![]()
Нормальное ускорение всегда положительно и направлено к центру кривизны движения материальной точки:
,
.
Вопросы для самоконтроля
Как формулируется закон движения точки, и какими способами его можно задать? Что называется скоростью равномерного движения точки? Что она характеризует? Как направлен вектор скорости точки при криволинейном движении?4. Как определить касательное и нормальное ускорение точки?
|
Из за большого объема этот материал размещен на нескольких страницах:
1 2 3 4 5 6 7 8 9 |



