1 - распорки; 2 - петля; 3 - подвески; 4 - бетонные утолщения (d = 75 мм внутреннего железобетонного слоя); 5 - подкос
2 - Конструкция трехслойной панели на гибких связях
4
Материал слоя | r0, кг/м3 | lБ, Вт/(м·°С) | Толщина слоя, мм | |||
Вдали от включений | в зоне подвески и петли | горизонтальный стык | вертикальный стык | |||
Наружный железобетонный слой | 2500 | 2,04 | 65 | 65 | 65 | 65 |
Теплоизоляционный слой - пенополистирол | 40 | 0,05 | 135 | 60 | - | - |
Минераловатные вкладыши | 150 | 0,075 | - | - | 135 | 60 |
Внутренний железобетонный слой | 2500 | 2,04 | 100 | 175 | 100 | 175 |
Порядок расчета
Конструкция ограждения содержит следующие теплопроводные включения: горизонтальные и вертикальные стыки, оконные откосы, утолщения внутреннего железобетонного слоя и гибкие связи (подвески, подкос, распорки).
Для определения коэффициента влияния отдельных теплопроводных включений предварительно рассчитаем по формуле (7) термические сопротивления отдельных участков панели:
в зоне утолщения внутреннего железобетонного слоя
Ry = 0,175/2,04 + 0,06/0,042 + 0,065/2,04 = 1,546 м2×°С/Вт;
по горизонтальному стыку
Rjng = 0,1/2,04 + 0,135/0,047 + 0,065/2,04 = = 2,95 м2×°С/Вт;
по вертикальному стыку
Rjnv = 0,175/2,04 + 0,06/0,047 + 0,065/2,04 = 1,394 м2×°С/Вт;
термическое сопротивление панели вдали от теплопроводных включений
Rkcon = 0,1/2,04 + 0,135/0,042 + 0,065/2,04 = 3,295 м2×°С/Вт.
Условное сопротивление теплопередаче вдали от теплопроводных включений
Rocon = 1/8,7 + 3,295 + 1/23 = 3,453 м2×°С/Вт.
Так как панель имеет вертикальную ось симметрии, то определение последующих величин осуществляем для половины панели.
Определим площадь половины панели без учета проема окна
А0 = 0,5 (2,8×2,7 - 1,48×1,51) = 2,66 м2.
Толщина панели dw = 0,3 м.
Определим площадь зон влияния Аi и коэффициент fi для каждого теплопроводного включения панели:
для горизонтального стыка
Rjng/Rkcon = 2,95/3,295 = 0,895.
По таблице H.3 fi = 0,1. Площадь зоны влияния по формуле (15)
Ai = 0,3×2×1,25 = 0,75 м2;
для вертикального стыка
Rjnv/Rkcon = 1,394/3,295 = 0,423.
По таблице H.3 fi = 0,375. Площадь зоны влияния по формуле (15)
Ai = 0,3×2,8 = 0,84 м2;
для оконных откосов при dF¢ = 0,065 м и dw¢ = 0,18 м, по таблице H.3 fi = 0,374. Площадь зоны влияния половины оконного проема с учетом угловых участков определяется по формуле (16)
Ai = 0,5[2×0,3×(1,53 + 1,56) + 3,14×0,32] = 1,069 м2;
для бетонных утолщений внутреннего железобетонного слоя в зоне подвески и петли при Ry¢/Rkcon = 1,546/3,295 = 0,469 по таблице H.3 fi = 0,78. Суммарную площадь зоны влияния утолщений подвески и петли находим по формуле (17)
Аi = (0,6 + 2×0,3)×(0,47 + 0,1) + (0,2 + 0,3 + 0,1)×(0,42 + 0,3 + 0,075) = 1,161 м2;
для подвески (диаметр стержня 8 мм) по таблице H.3 fi = 0,16, площадь зоны влияния по формуле (17)
Ai = (0,13 + 0,3 + 0,14)×(0,4 + 2×0,3) = 0,57 м2;
для подкоса (диаметр стержня 8 мм) по таблице H.3 fi = 0,16, по формуле (17)
Аi = (0,13 + 0,3)×(0,22 + 0,3 + 0,09) = 0,227 м2;
для распорок (диаметр стержня 4 мм) по таблице H.3 fi = 0,05.
При определении суммарной площади зоны влияния пяти распорок следует учитывать, что ширина зоны влияния со стороны стыка ограничена краем панели и составляет 0,09 м. По формуле (18)
Ai = 5(0,3 + 0,3)×(0,3 + 0,09) = 1,17 м2.
Рассчитаем r по формуле (14)
r = 1/{1 + [2/(3,453×2,66)]×(0,84×0,375 + 0,75×0,1 + 1,069×0,374 + 1,161×0,78 + 0,57×0,16 + 0,227×0,16 + 1,17×0,05)} = 0,71.
Приведенное сопротивление теплопередаче панели определим по формуле (11)
Ror = 0,71×3,453 = 2,45 м2×°С/Вт.
ПРИЛОЖЕНИЕ П
(обязательное)
ОПРЕДЕЛЕНИЕ ПРИВЕДЕННОГО СОПРОТИВЛЕНИЯ ТЕПЛОПЕРЕДАЧЕ НЕОДНОРОДНЫХ УЧАСТКОВ ТРЕХСЛОЙНЫХ ПАНЕЛЕЙ ИЗ ЛИСТОВЫХ МАТЕРИАЛОВ
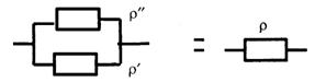
В зонах соединительных элементов трехслойных панелей из листовых материалов (тавров, двутавров, швеллеров, z-образных профилей, стержней, болтов, обрамляющих торцы панелей элементов и прочее) условно полагается, что теплопередача через ограждение происходит двумя путями: преобладающая - через металлические включения и через утеплитель. Такое расчленение теплового потока позволяет представить прохождение теплоты через цепь, состоящую из последовательно и параллельно соединенных тепловых сопротивлений ri, °С/Вт, для которой возможно рассчитать общее сопротивление по следующим элементарным зависимостям:
r¢ + r" = r, °С/Вт; (П.1)

1/r¢ + 1/r" = 1/r, Вт/°C; (П.2)

Ro = rА, м2×°С/Вт. (П.3)
Наиболее распространенные тепловые сопротивления, встречающиеся в трехслойных панелях из листовых материалов, следует определять по формулам для:
1) примыкания полки профиля к облицовочному металлическому листу

где ![]()
a - коэффициент теплоотдачи поверхности панели, Вт/(м2×°С);
lт - теплопроводность металла, Вт/(м×°С);
А = BL - площадь зоны влияния теплопроводного включения, м2, шириной В и длиной L, для профилей, когда В превышает ширину зоны теплового влияния профиля, L = 1 м;
d - толщина облицовочного листа, м;
при bB/2 > 2th(bB/2) » 1.
При примыкании полки металлического профиля теплопроводностью lт к неметаллическому листу с теплопроводностью lпт при lт >> lnm
r = r¢r"/(r¢ + r") - 1/(Aa);
r¢ = (d/lnm + 1/a)/(BL);
при В >> d; (П.5)
2) примыкания торца металлического стержня (болта) к облицовочному листу

r = {1/[2plmdf(b, r1, r2)]} - п/(Aa), (П.6)
где п - число болтов на расчетной площади;
r1 - радиус стержня, м;
r2 - радиус влияния болта, м.
Значения функции f(b, r1, r2) получают из графика рисунка П.1.
При r2 >> r1 f(b, r1, r2) = 1/[0,1 - ln(br1)];
1 - Функция f(b, r1, r2)
3) стенки профиля
r = h/(lmdL). (П.7)

Для стенки с перфорацией (круглые, прямоугольные, треугольные отверстия) в формулу следует подставлять
leqv = xlm,
где x - коэффициент, принимаемый по таблице П.1, h = r/с; r = у/(2с).
Для стенки с перфорацией (круглыми отверстиями радиусом с с расстоянием между центрами соседних отверстий 2с) в формулу (П.7) вместо lт следует подставить leqv = xlm;
4) металлического стержня

r = h/(lтpr12); (П.8)
5) примыкания металлического стержня к полке профиля

r = [ln(b/r1)]/(2plmd) при b >> r1; (П.9)
6) термовкладышей между облицовочным листом и полкой профиля

r = 1/{L[l1(b/h1) + l2(2/p)]}; (П.10)
7) теплоизоляционного слоя

r = h/(linsBL), (П.11)
где lins - теплопроводность материала теплоизоляционного слоя, Вт/м×°С;
8) наружной и внутренней поверхностей панели
rext = 1/(aextA); rint = 1/(aintA). (П.12)
1 - Значения коэффициента x
b\h | 0,1 | 0,2 | 0,3 | 0,4 | 0,5 | 0,6 | 0,7 | 0,8 | 0,9 |
0,4 | 0,932 | ||||||||
0,5 | 0,954 | 0,829 | |||||||
0,6 | 0,966 | 0,869 | 0,731 | ||||||
0,7 | 0,973 | 0,895 | 0,777 | 0,638 | |||||
0,8 | 0,978 | 0,913 | 0,811 | 0,684 | 0,547 | 0,412 | 0,286 | ||
0,9 | 0,982 | 0,926 | 0,836 | 0,720 | 0,618 | 0,479 | 0,322 | 0,201 | |
1,0 | 0,984 | 0,936 | 0,856 | 0,750 | 0,625 | 0,491 | 0,355 | 0,226 | 0,107 |
1,1 | 0,986 | 0,944 | 0,873 | 0,774 | 0,655 | 0,523 | 0,385 | 0,249 | 0,119 |
1,2 | 0,988 | 0,950 | 0,885 | 0,794 | 0,681 | 0,552 | 0,413 | 0,272 | 0,131 |
1,3 | 0,989 | 0,955 | 0,895 | 0,811 | 0,703 | 0,577 | 0,438 | 0,291 | 0,143 |
1,4 | 0,990 | 0,959 | 0,904 | 0,825 | 0,723 | 0,600 | 0,462 | 0,310 | 0,155 |
1,5 | 0,991 | 0,962 | 0,912 | 0,838 | 0,740 | 0,620 | 0,487 | 0,328 | 0,166 |
Пример расчета
|
Из за большого объема этот материал размещен на нескольких страницах:
1 2 3 4 5 6 7 8 9 10 11 12 13 14 15 16 17 18 19 20 21 22 23 24 25 26 27 |




