
РОССИЙСКАЯ АКАДЕМИЯ НАУК
НАУЧНО-ИССЛЕДОВАТЕЛЬСКИЙ ИНСТИТУТ ЭЛЕКТРОМАШИНОСТРОЕНИЯ
РЕГУЛИРОВАНИЕ ВОЗБУЖДЕНИЯ СИНХРОННЫХ ГЕНЕРАТОРОВ
Ответственный редактор академик РАН

САНКТ-ПЕТЕРБУРГ
„НАУКА"
1996
ВБК 31.261.62
Ю 65
УДК 621.3l3.322
, Кожевников возбуждения синхронных генераторов. — СПб.: Наука, 1996. — 138 с.
Излагается оригинальная методика эквивалентирования внешней сети электростанции, моделирования систем регулирования возбуждения и анализа устойчивости синхронных генераторов, работающих в энергосистеме. Подробно описаны современный и перспективный регуляторы возбуждения, а также аппаратура для их проверки и наладки при вводе в работу и в процессе эксплуатации. Представлен программный комплекс для ПЭВМ, решающий вопросы проектирования, исследования и диагностирования аппаратуры регулирования возбуждения.
Книга может представлять интерес для инженеров и научных работников, специализирующихся в области разработки и эксплуатации систем возбуждения, сотрудников наладочных организаций, студентов энергетических специальностей вузов и техникумов.
Библиогр. 67 назв. Ил. 63. Табл. 5.
Рецензенты: С. В. СМОЛОВИК, М. Л. БОГАЧКОВ
Редактор издательства Л. С. ТИХОМИРОВА
Издание осуществлено при финансовой поддержке РФФИ и АО «Самараэнерго»
Ю
, II полугодие © , ,
1996
ISBN 2-3 © Российская академия наук, 1996
ПРЕДИСЛОВИЕ
Развитие энергетики постоянно требует решения комплекса теоретических и практических задач, среди которых важное место занимает проблема исследования и разработки средств повышения пропускной способности линий. Ее решением успешно занимались многие научные и проектные организации, а выполненные исследования явились важным вкладом в теорию и практику устойчивости электрических систем.
Одним из главных результатов этих исследований стало внедрение на электростанциях бывшего СССР сильного регулирования возбуждения синхронных генераторов, которое при минимальных капитальных затратах обеспечивает работоспособность генераторов как обычного, так и нетрадиционного исполнения, решает вопросы повышения устойчивости и надежности процесса передачи электроэнергии, а также распределения реактивной мощности и минимизации потерь в сетях. Поэтому сейчас, в 90-е годы, особенно дальновидной представляется техническая политика, проводившаяся в СССР начиная с 40-х годов. Она предусматривала формирование научных коллективов, создание самой передовой в то время исследовательской базы (цифроаналого-физических моделей энергосистем).
Исследование устойчивости дальних электропередач началось еще в предвоенные годы. Основы теории регулирования возбуждения в нашей стране заложили такие крупные ученые, как , , и . Однако крупномасштабные разработки стали выполняться начиная с 50-х годов в связи со строительством электропередач «Куйбышев—Москва» и «Сталинград—Москва». Обеспечить их устойчивость с помощью обычных для того времени инерционных в электромагнитном отношении электромашинных возбудительных систем было невозможно. Поэтому были созданы быстродействующие ионные, а затем тиристорные системы возбуждения. Эти работы были пионерскими не только в СССР, но и в мире. Результаты исследований, в частности анализ устойчивости гидрогенераторов при работе на ЛЭП большой протяженности и на ЛЭП, отходящих в несколько энергосистем, а также вопросы структуры и характеристик системы возбуждения полностью сохранили свое значение в настоящее время.
Теоретическая база развивалась по двум, иногда конкурирующим между собой, но всегда взаимообогащающим друг друга научным
1*
направлениям, которые можно условно назвать «школа МЭИ» и «школа ЛПИ». Большой научный вклад внесли такие ученые, как , , и др.
Они опубликовали рад монографий и учебников [1—8 ], составивших стройную теорию, отражающую уровень теоретических исследований 70-х годов, и позволивших воспитать целое поколение инженеров и научных работников. Особо следует отметить оригинальность подхода российских ученых к важным техническим проблемам, позволившую им намного опередить своих зарубежных коллег. Если в передовых странах Запада вплоть до 80-х годов существовало устойчивое мнение, что в мощных энергообъединениях со стабилизацией режимов вполне могут справиться инерционные системы возбуждения пропорционального типа, то в СССР сразу была поставлена задача исследования и внедрения регулирования возбуждения со стабилизацией по производным режимных параметров, получившего название «сильное регулирование». Развитие энергетики полностью подтвердило правильность этой концепции. В настоящее время оно внедряется всеми ведущими электротехническими фирмами мира.
Однако длительная успешная работа генераторов, оснащенных автоматическими регуляторами возбуждения (АРВ) сильного действия, породила парадоксальную ситуацию, когда в некоторых эксплуатационных и наладочных организациях появляются тенденции к упрощению алгоритмов АРВ, сокращению числа и упрощению функциональных блоков с целью сокращения объема наладочных работ и «повышения» надежности аппаратуры. Авторский надзор, непрерывно осуществляемый разработчиками аппаратуры, показывает, что довольно часто внесение изменений, выполняемых без достаточно полного теоретического анализа возможных последствий, приводит на практике к отрицательным результатам. Кроме того, встречаются случаи, когда персонал электростанций, не располагая простыми методами анализа и аппаратурой для проверки и наладки систем возбуждения, не может качественно выполнить полный объем регламентных работ. Результатом могут стать повреждения дорогостоящего оборудования и тяжелые системные аварии, приводящие к перерывам электроснабжения.
Многолетняя научная и инженерная работа авторов в области регулирования возбуждения убедила их в том, что актуальными задачами являются как совершенствование АРВ и возбудителей, так и устранение разрыва между теорией регулирования и практикой проектных, наладочных работ и эксплуатации аппаратуры регулирования на станциях.
К сожалению, в 80-е годы резко сократился выпуск монографий по вопросам регулирования возбуждения. Дело сводилось к переизданию трудов известных авторов. Из оригинальных изданий можно отметить только учебник и [9], «Микропроцессоры в энергетике» [10] и учебное пособие и [11 ], вышедшую очень малым тира-
жом книгу с поистине трагической судьбой. Будучи написанной в 1966 г., она увидела свет только в 1994 г. В результате многие ценные идеи авторов, опередивших свое время, остались неизвестными технической общественности и не были реализованы. Из зарубежных источников следует отметить книгу Андерсона и Фуада [12].
Многочисленные публикации в технических журналах и сборниках посвящены конкретным вопросам и ограничены по объему. В силу этого, а также потому, что был прекращен выпуск библиографических материалов, позволяющих охватить весь спектр публикаций, новое поколение исследователей часто только односторонне знакомится с проблемой, а инженеры-практики не имеют технического пособия, в котором в сжатом виде было бы изложено существо вопроса.
Задачами предлагаемой читателю книги являются:
— достаточно полное описание структуры, функциональных возможностей и особенностей систем возбуждения и АРВ, эксплуатируемых в настоящее время в России;
— краткое изложение способов математического описания генератора, работающего в системе, его системы возбуждения и АРВ;
— ознакомление с экспресс-методами оценки статической устойчивости электростанций в линейной постановке задачи, а также проверки и наладки действующих систем регулирования в процессе их эксплуатации при малых и больших возмущениях;
— показ возможностей современных пакетов прикладных программ для ПЭВМ при исследовании устойчивости систем регулирования возбуждения.
Для понимания изложенного материала от читателя не требуется знания специальных разделов математики и теории автоматического регулирования. Достаточно быть знакомым с основами операторного анализа и частотными методами.
Авторы надеются, что книга будет полезна инженерам, занимающимся вопросами проектирования энергосистем, разработки и эксплуатации систем их автоматического регулирования, а также студентам электромеханических специальностей вузов.
Авторы выражают благодарность редактору книги академику , рецензентам — д-ру техн. наук проф. и канд. техн. наук за ряд ценных замечаний, позволивших более ясно изложить материал, а также и , оказавшим неоценимую помощь в подготовке рукописи к изданию.
СПИСОК ПРИНЯТЫХ ОБОЗНАЧЕНИЙ
PS, QS — суммарные активная и реактивная мощности электростанции
P, Q — активная и реактивная мощности эквивалентного генератора, за- мещающего электростанцию
Ia, Ir — активный и реактивный токи статора эквивалентною генератора id, iq — продольный и поперечный токи статора
Ur, Uc — напряжения эквивалентного генератора и эквивалентных
шин бесконечной мощности
θГ, θВН, θ — внутренний, внешний и полным углы электропередачи
μ — коэффициент магнитной связи контуров статора с контуром возбуждения
σ — соответствующий коэффициент магнитного рассеяния, дополняющий до единицы коэффициент магнитной связи
Т do, T'd — постоянные времени в продольной оси — холостого хода
и переходная
ω0 — синхронная угловая частота машины
f — частота эдс машины
fН — частота напряжения на зажимах статора
Tj — постоянная инерции ротора агрегата, выраженная в с
Тj
Hj = —— — инерционная постоянная в синхронном времени
ω0
р — знак дифференцирования по времени
s — скольжение ротора
Еq — эдс за поперечной реактивностью машины
E’q — составляющая эдс за переходной составляющей машины
в продольной оси
Uf — приложенная здс в контуре возбуждения
е. в.х. х. — единица возбуждения холостого хода, равная единице при номинальном напряжении на зажимах статора при холостом ходе и номинальной скорости ротора
е. в.н. — единица возбуждения номинальная, равная единице при номинальном напряжении на зажимах статора при номинальной нагрузке машины и номинальной скорости ротора
е. в.н.
——— — Eqн = Ufн
е. в.х-x.
su =
*100 % — статизм системы регулирования напряжения
K0u, K1u — коэффициенты усиления регулятора возбуждения по отклонению и первой производной напряжения машины
k1if—коэффициент усиления регулятора возбуждения по первой производной тока возбуждения машины
K0f, K1f — коэффициенты усиления регулятора возбуждения по отклонению и первой производной частоты
Kf — эквивалентный коэффициент, учитывающий суммарное действие каналов отклонения и производной частоты
Глава 1
МАТЕМАТИЧЕСКАЯ МОДЕЛЬ
СИСТЕМЫ РЕГУЛИРОВАНИЯ ВОЗБУЖДЕНИЯ
СИНХРОННОЙ МАШИНЫ,
РАБОТАЮЩЕЙ В ЭНЕРГОСИСТЕМЕ
1.1. Метод эквнвалентирования внешней электрической сети станции
Теория статической устойчивости синхронных генераторов наиболее полно разработана для простейшей энергосистемы «машина—линия—шины бесконечной мощности». Именно эта расчетная схема подробно рассмотрена большинством авторов. Что касается исследования устойчивости сложных регулируемых систем, то его обычно рекомендуется проводить теми же общими методами, включающими анализ характера решений систем дифференциальных уравнений, частотные методы, метод D-разбиения, определение комплексных амплитуд переменных, непосредственный учет корней характеристического уравнения и различные модификации этих методов.
Однако суммарный порядок дифференциальных уравнений сложной схемы катастрофически возрастает, особенно при учете регулирования возбуждения. Современные методы вычислительной математики и цифровые вычислительные машины в некоторой степени позволяют бороться с беллмановским «проклятием размерности», но возможности их также ограничены. С одной стороны, по мере роста порядка дифференциальных уравнений возрастает время расчетов, повышаются требования к объему памяти и быстродействию ЭВМ, а с другой — даже в том случае, если удается получить решение задачи, перед исследователем неизбежно встает проблема осмысления и упорядочения огромного объема информации. В результате существенно осложняются постановка и решение задачи выбора оптимальных законов и коэффициентов регулирования,
Обычно применяют метод последовательных приближений, задавая коэффициенты регулирования на всех станциях, кроме одной, и определяя оптимальный закон регулирования для этой станции. Затем, зафиксировав его, повторяют расчет для следующей станции и т. д. Этот эмпирический метод весьма трудоемок и нет никакой гарантии, что в результате его применения будет получено общее, а не частное решение.
Для преодоления этих трудностей группой исследователей под руководством были разработаны изящные математические методы понижения порядка системы дифференциальных уравнений и поиска экстремума заданной целевой функции при одновременном воздействии на все корни характеристического уравнения
[13—14]. Результатом этих работ стала специализированная программа «Поиск» [15]. Однако и в этом случае после получения результатов очень трудно выдать рекомендации для проектирования и настройки АРВ на конкретных станциях.
Все эти методы доступны только очень квалифицированным исследователям, требуют специальной математической подготовки и весьма трудоемки. В то же время перед службами режимов Объединенных диспетчерских управлений и эксплуатационным персоналом электростанций достаточно остро стоят вопросы оценки качества настройки регуляторов возбуждения и возможностей стабилизации режима конкретной станции. При этом объем доступной информации о внешней сети, параметрах генераторов других станций, данных о перетоках и нагрузках в системе весьма ограничен.
Это постоянно заставляло искать достаточно простые и в то же время надежные способы эквивалентирования схем и режимов электроэнергетических систем [16—20]. В идеале было бы хорошо получить возможность замены всей внешней сети исследуемой станции эквивалентной схемой «линия—шины бесконечной мощности». Это дало бы возможность наиболее эффективно использовать весь накопленный для нее опыт исследований, но уже в конкретных условиях.
При разработке такого метода [21 ] особое внимание было обращено на то, что при исследовании устойчивости электростанций, примыкающих к энергосистеме, выборе и наладке систем регулирования возбуждения в подавляющем большинстве случаев определяющим является общее одночастотное движение исследуемых агрегатов относительно мощных энергообъединений. Это позволяет допустить возможность замещения всего энергообъединения шинами неизменного по фазе напряжения Uс, расположенными в центре электрических качаний, а сложной схемы электрических соединений — одной линией с сопротивлением ХВН. При этом все изменения режима исходной схемы (рис. 1.1, а) должны адекватно отображаться эквивалентной схемой (рис. 1. 1, б). Для наблюдателя, находящегося на шинах станции, любые изменения режима, нагрузок и связей во внешней сети воспринимаются как изменения установившегося значения модуля напряжения Uc, неизменного по фазе, а значения U, РΣ, QΣ совпадают в обеих схемах. Трудность состоит в определении параметра ХВН эквивалентной схемы. Зная его величину, всегда можно рассчитать неизменное для данного режима значение Uc на основе местной информации.
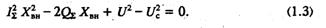
Рассмотрим известные уравнения активной и реактивной мощностей эквивалентной схемы:


Возведя (1.1) и (1.2) в квадрат и сложив их между собой, получим:

Разность (1.3) для двух отличающихся друг от друга режимов дает квадратное уравнение с одним неизвестным ХВН:

В процессе нормальной работы станции необходимо реализовать с минимально возможным разрывом по времени два установившихся режима и зафиксировать в них значения Ui, PΣi, QΣi. На практике проще всего в качестве первого, режима (i=1) принять режим с максимально допустимым напряжением на шинах станции, в качестве второго — с минимально допустимым по условиям потребления реактивной мощности напряжением генераторов. При проведении диспетчерских расчетов эта процедура должна быть выполнена в процессе вычислительного эксперимента с помощью специализирован-
ных программ, например [22—23 ]. Все вычисления по определению XВН можно проводить в именованных или относительных единицах (о. е.).
После определения XВН, режим работы станции можно задавать двумя способами.
1. Задавая значения Р, UГ, и UС, вычисляют реактивную мощность Q. Способ применяется при прикидочных диспетчерских расчетах.
2. Задавая Р, Q и UГ, вычисляют модуль напряжения на эквивалентных шинах по следующему из (1.3) соотношению

Способ удобен при расчетах режимов и границ устойчивости конкретных станции.
Все процедуры по определению XВН и режимов автоматизированы. Их можно выполнять с помощью блоков «Расчет XВН» и «Расчет режима» пакета прикладных программ (ППП) «Модель».
Упрощение схемы позволяет, как минимум в 20 раз, сократить время расчета, автоматизировать процесс изменения расчетных условий и использовать освобождающуюся вычислительную мощность для более точного учета характеристик возбудителей и регуляторов возбуждения исследуемой станции. В результате повышается достоверность расчетов и выдаваемых на их основе рекомендаций.
Точность метода оценена расчетами по программе «Область» [24 ] для объединенной энергосистемы Северо-Запада России и смежных энергосистем, содержащей 68 генераторов, 252 узла и 355 ветвей, и по программе «Поиск» для разработанной «Энергосетьпроектом» тестовой схемы [25], включающей в себя 7 генераторов соизмеримой мощности.
В первом случае значения XВН для основных станций составили:
1-я и 2-я очереди ЛАЭС — 0.276 и 0.374 о. е. соответственно, КАЭС — 0.2, Северо-Западная ТЭЦ — 0.282, Псковская ГРЭС — 0.2, Кольская АЭС — 0.49 о. е. Области устойчивости этих станций при одинаковых моделях АРВ в полной и эквивалентной схемах при варьировании ХВН на ±5 % относительно вычисленных значений практически совпадают. Эксперименты, проведенные более чем на 20 электростанциях СНГ и на АЭС «Козлодуй» (Болгария), показали, что погрешность определения XВН не превышает 5 %. Значения эквивалентных внешних сопротивлений составляют 0.1—0.5 о. е. при базисной мощности, равной суммарной полной кажущейся мощности генераторов станции, подключенных к данной системе шин. При этом XВН является долгоживущим параметром, который сколько-нибудь заметно изменяется только при вводе в эксплуатацию новой линии, отходящей непосредственно от шин станции, или в ремонтных режимах. Схемные изменения, происходящие за переключательными пунктами, незначительно влияют на его величину.
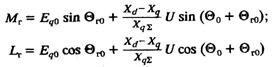
Идея эквивалентирования внешней сети с помощью определения эквивалентного сопротивления XВН до центра тяжести энергосистемы использована фирмой ABB при проектировании адаптивного системного стабилизатора [26 ]. Однако в отличие от точного вычисления xВН метод его определения состоит в следующем: для трех ожидаемых на основании практики эксплуатации заданных значений XВН, в соответствии с информацией о величинах PΣ, QΣ, U рассчитываются, согласно вытекающему из (1.1) и (1.2) выражению

фазовые углы Θвн, и их изменение во времени сравнивается с приблизительно измеряемым в той же точке изменением фазового угла. Наилучшее совпадение между рассчитанным при одном из принятых значений Хвн и измеренным значениями фазового угла позволяет выбрать соответствующее фиксированное значение внешнего сопротивления.
Этот метод имеет существенные недостатки:
1. Практически невозможно на основе только местной информации получить точное значение истинного фазового угла.
2. Для идентификации необходимо ожидать достаточно сильного возмущения во внешней сети.
3. Трудно оценить в каждом конкретном случае, насколько выбранное значение XВН отличается от реального; погрешность метода постоянно меняется.
Предлагаемый нами способ эквивалентирования внешней сети проще, надежнее и обеспечивает более высокую точность. Он успешно применяется при разработке аппаратуры регулирования возбуждения и рекомендуется для широкого применения на электростанциях, в научно-исследовательских и проектных организациях.
1.2. Математические модели объекта регулирования
для исследования внешнего
и внутригруппового движения
Одной из основных задач систем регулирования возбуждения является стабилизация режима станции. Общее движение всех генераторов относительно эквивалента системы получило в литературе название «внешнее». В то же время отдельные генераторы, работающие на общие шины, будучи все вместе устойчивы относительно UC, могут обмениваться электромагнитной энергией между собой. При этом они совершают так называемое внутригрупповое движение. Различные законы регулирования могут иметь внутренние противоречия, приводящие к подчеркиванию колебаний одного из типов при прекрасной стабилизации колебаний другого типа. Для сравнения между собой различных регуляторов необходимо
исследовать как внешнее, так и внутригрупповое движение. Следовательно, необходимо иметь или достаточно полную, но сложную модель, отражающую оба типа движения, или две более простые модели объекта: одну для случая внешнего, другую для случая внутригруппового движения, с тем чтобы проводить исследование эффективности любого регулятора или закона регулирования последовательно.
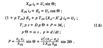
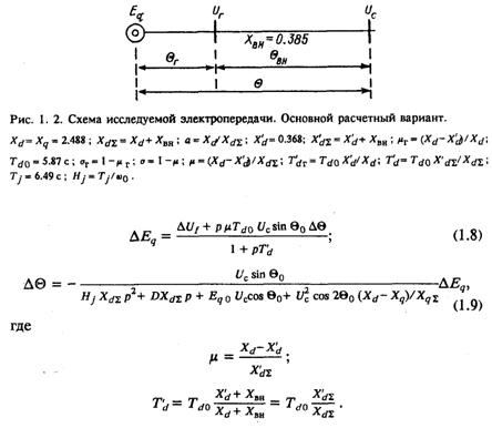
Такая модель для внешнего движения может быть составлена с помощью уравнений Парка—Горева для схемы «машина—линия— шины» (рис. 1.2) при условии, что параметры генератора соответствуют параметрам эквивалентного генератора станции [3 ], а связь с энергосистемой осуществляется через XВН. На основе предыдущих теоретических и экспериментальных исследований можно выделить определяющие связи и пренебречь второстепенными. Обычно [1, 3] пренебрегают активными сопротивлениями, эдс трансформации и скольжения и самовыравниванием. Наличие демпферных контуров на роторе синхронной машины может быть приближенно учтено введением в уравнение движения ротора члена, пропорционального первой производной фазового угла (демпферного момента). Методика его определения изложена в [27, 28 ].
С учетом этих допущений система уравнений, описывающих работу электропередачи, будет иметь вид [5]:

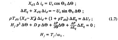
Линеаризованная система соответственно:

После несложных преобразований система (1.7) может быть сведена к двум уравнениям:

Для гидрогенераторов следует пользоваться уравнением (1.9). Для турбогенераторов Xd = Xq и уравнение движения упрощается:

В результате объект регулирования (синхронный генератор, работающий в энергосистеме) может быть представлен в виде структурной схемы рис. 1.3. В этой схеме апериодическое звено Wf отражает контур возбуждения, форсирующее звено Wя — реакцию якоря, а колебательное звено второго порядка Wрот — движение ротора гидрогенератора (1.9) или турбогенератора (1.10).
Что же касается внутригруппового движения, то в последние 40 лег его исследования базировались на расчетной схеме, полученной [29, 30] в результате анализа характеристического уравнения системы, описывающей группу параллельных симметричных генераторов станции, работающих через линию электропередачи на шины бесконечной мощности. Им показано, что «характеристический многочлен системы может быть разложен на n множителей
(n — число машин на станции), из которых один представляет

собой характеристический многочлен эквивалентного генератора, а остальные (n-1) одинаковы и отражают относительное движение каких-либо двух генераторов» [30].
Это положение совершенно справедливо, однако на его основе в дальнейшем [31 ] было принято недостаточно корректное допущение о том, что для анализа устойчивости внутригруппового движения достаточно выполнить расчеты для случая, когда шины станции представлены шинами бесконечной мощности. Оно молчаливо предполагает, что в процессе внутригрупповых качаний любого числа генераторов станции (в том числе и двух) напряжение U на общих шинах остается неизменным по модулю и фазе. На самом деле это напряжение может колебаться. Его колебания будут тем больше, чем меньшее число генераторов работает параллельно.
Для составления правильной расчетной модели рассмотрим систему из двух генераторов, включенных на общие шины и работающих через линию с сопротивлением XВН на систему бесконечной мощности (рис. 1.4). При этом за базисную мощность по-прежнему примем полную кажущуюся мощность одного генератора. При тех же допущениях, которые были приняты для внешнего движения, можно составить следующую систему уравнений:
![]() |
уравнения первой машины относительно ее осей d и q:

уравнения второй машины относительно ее осей d и q:

уравнения преобразования системы координат второй машины к осям первой машины:

уравнения внешней сети:

уравнения баланса токов:

Если предположить, что Г1 и Г2 — турбогенераторы с одинаковыми параметрами, то в уравнениях (1.11—1.15) следует положить

Тогда после линеаризации они преобразуются к виду

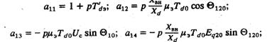
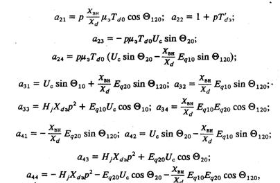
где Х — вектор переменных состояния системы, V — вектор управления; А — квадратная матрица 4 х 4 с коэффициентами:


где |

Преобразуем систему (1.16), предположив, что исходный режим обоих генераторов одинаков (Eq10 = Eq20 = Eqo; Θ10 = Θ20 = Θ0). Снова получим систему из двух уравнений:

В этом случае структурная схема системы регулирования по внешнему виду полностью идентична предыдущей (рис. 1.5), но имеет другие параметры, а индивидуальные переменные состояния заменяются их разностями и отклонением взаимного угла Θ12.
Именно она рекомендуется для исследования устойчивости внут-ригруппового движения. Допущения о равенстве параметров и совпадении установившихся режимов двух параллельно работающих генераторов, принятые при ее составлении, наиболее благоприятны для

Рис.Структурная схема объекта для исследования внутригруппового движения генераторов электростанции.
устойчивости внутригрупповых колебаний. Поэтому, если рассматриваемый закон регулирования возбуждения не обеспечивает ее, он, безусловно, должен быть отвергнут. В случае получения положительных результатов расчеты могут быть уточнены для более тяжелых вариантов по уравнениям (1.11)—(1.15).
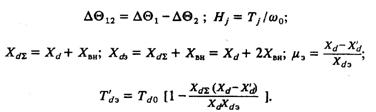
Следует обратить внимание на то, что постоянная времени контура возбуждения в данном случае не зависит от параметров внешней сети, во всех режимах постоянна и по величине всегда меньше T’d. (На рис. 1.6 приведены их зависимости от XВН. Видно, что при XВН = 0 T’d=T’dг, а в режиме холостого хода, когда XВН = ∞, T'd = Td0). Именно поэтому частота внутригрупповых колебаний всегда выше, чем внешних.
![]() |
Рис.Зависимость постоянных времени обмотки возбуждения от внешнего сопротивления.
2 ,
Анализ схемы рис. 1.5 подтверждает правильность полученного ранее вывода о том, что «если стабилизация всех генераторов производятся по одному общему параметру, то область устойчивости внут-ригруппового движения занимает всю плоскость в координатах стабилизирующего параметра и общая область устойчивости определяется основным движением» [31 ]. Такими общими параметрами являются напряжение генератора при наличии токовой компенсации и частота напряжения. Влияние других параметров регулирования на внутригрупповую устойчивость будет рассмотрено ниже.
1.3. Структурная схема системы автоматического регулирования напряжения генератора
Дополнив модель объекта звеньями, описывающими возбудитель и регулятор возбуждения, можно получить полную структурную схему для исследования внешнего движения. На первом этапе примем допущение о безынерционности АРВ и возбудителя. Тогда их действие можно отразить, записав закон регулирования, реализуемый регулятором.
Регулятор АРВ СДП1, которым оснащаются все выпускаемые в странах СНГ генераторы, является пропорционально-дифференциальным регулятором по отклонению напряжения со стабилизацией режима по производной тока возбуждения, отклонению и производной частоты напряжения. Алгоритм его действия достаточно точно отражает уравнение (4.6, см. гл. 4), которое в рассматриваемом случае удобно записать в виде:

Как показано в гл. 4, это выражение правильно отражает свойства регулятора в области частот электромеханических колебаний. При этом коэффициент
, имеющий размерность е. в. н./Гц или е. в. х. х./ (рад. c-1), является обобщенным коэффициентом, который по сигналу Δfu правильно отражает совместное действие реальных каналов отклонения и производной частоты напряжения при условии, что в настроечных делениях (К0f, К1f) шкал регулятора коэффициенты по ним всегда выбираются равными друг другу.
Для того чтобы получить структурную схему системы регулирования, необходимо все входящие в (1.19) переменные представить в виде комбинации двух независимых переменных ΔEq и ΔΘ[32].
Производная тока ротора совпадает с производной отклонения эдс за синхронной реактивностью ΔEq .
Выражения для ΔUГ и Δfu получим, разрешив относительно этих переменных систему из двух первых уравнений (1.7) и линеаризо-
ванных уравнений статора, записанных относительно внутреннего угла генератора:

Для общности решение будем искать для явнополюсной машины. При этом следует в уравнениях (1.7) и (1.20) заменить Xd на Xq, а величины Eq и ΔEq на ЕQ и ΔEQ, которые связаны с ними [3 ] следующими соотношениями:

После решения полученной системы, с учетом того, что
ΔΘВН = ΔΘ - ΔΘГ, получим следующие выражения:

где
α = Xd / XdΣ — коэффициент, характеризующий связь с системой;

— коэффициенты, зависящие от типа генератора и исходного режима.
Величина отклонения частоты напряжения генератора Δfu пропорциональна производной отклонения внешнего угла между векторами напряжения генератора и системы, т. е.

ще m — коэффициент, зависящий от единиц измерения частоты. Ее ли она измеряется в Гц, то m = 1 /2π, если — в рад/с, то m = 1. Таким образом,

Для гидрогенератора следует пользоваться полными выражениями (1.22), (1.24). В случае турбогенератора Xd = Xq и выражения для параметров регулирования существенно упрощаются:
2*

![]() |
Рис.Структурная схема САУВ для исследования внешних колебаний.
Подставив в (1.19) выражения для параметров регулирования как функций независимых переменных ΔUГ и ΔΘ, получим:

где

|
Из за большого объема этот материал размещен на нескольких страницах:
1 2 3 4 5 6 7 |






