На правах рукописи
СВИРИДОНОВА МАРИНА АЛЕКСАНДРОВНА
КЛИНИЧЕСКОЕ ЗНАЧЕНИЕ ЦИРКАДИАННОЙ И ИНДИВИДУАЛЬНОЙ ВАРИАБЕЛЬНОСТИ УРОВНЯ ТИРЕОТРОПНОГО ГОРМОНА
14.01.02 –Эндокринология
АВТОРЕФЕРАТ
диссертации на соискание ученой степени
кандидата медицинских наук
Москва 2010
Работа выполнена в ФГУ Эндокринологический научный центр Росмедтехнологий (директор – академик РАН и РАМН )
Научный руководитель: | , доктор медицинских наук, профессор |
Официальные оппоненты: | , доктор медицинских наук , доктор медицинских наук, профессор |
Ведущее учреждение: | Московский областной научно-исследовательский клинический институт им. |
Защита состоится «____» ______________ 2010 г. в 14 часов на заседании
Диссертационного Совета Д 208.126.01 при ФГУ Эндокринологический научный центр Росмедтехнологий
С диссертацией можно ознакомиться в библиотеке ФГУ Эндокринологический научный центр Росмедтехнологий
Автореферат разослан «____» ______________ 2010 г.
Ученый секретарь диссертационного совета доктор медицинских наук, профессор |
Список принятых сокращений
H | Критерий Крускала-Уоллиса |
L-Т4 | Левотироксин [в контексте - таблетированный препарат тироксина] |
Me | Медиана |
р | Критический уровень значимости, соответствующий вероятности нулевой гипотезы |
Q | Критерий Дана |
r | Критерий ранговой корреляции Спирмена |
U | Критерий Манна-Уитни |
W | Критерий Вилкоксона |
χ2 | Критерий «хи-квадрат» |
АИТ | Аутоиммунный тиреоидит |
АКТГ | Адренокортикотропный гормон |
АТ | Антитела |
ДТЗ | Диффузный токсический зоб |
ЛГ | Лютеинизирующий гормон |
ПРЛ | Пролактин |
СГ | Субклинический гипотиреоз |
СД | Сахарный диабет |
СТГ | Соматотропный гормон |
Т3 | Трийодтиронин [в контексте – гормон щитовидной железы] |
Т4 | Тироксин [в контексте – гормон щитовидной железы] |
ТРГ | Тиротропин-рилизинг гормон |
ТТГ | Тиреотропный гормон |
ФСГ | Фолликулостимулирующий гормон |
ХГ | Хорионический гонадотропин |
ЩЖ | Щитовидная железа |
ОБЩАЯ ХАРАКТЕРИСТИКА РАБОТЫ
Актуальность
Уровень тиреотропного гормона (ТТГ) является наиболее чувствительным маркером функции щитовидной железы (ЩЖ) и в комплексе с другими клинико-лабораторными показателями определяет лечебно-диагностическую тактику при её заболеваниях. Общепринятым нижним пределом референсного диапазона для сывороточной концентрации ТТГ считается 0,3 – 0,4 мЕд/л, а верхним – 4,0 – 5,0 мЕд/л. В то же время, в литературе появились данные о том, что при исключении из общей популяции лиц с тиреоидной патологией и носителей антител к ЩЖ лишь в 5% случаев уровень ТТГ превышает 2,5 – 3 мЕд/л [Hollowell J. G. et al., 2002]. Было высказано предположение, что высоконормальный уровень ТТГ является предиктором развития гипотиреоза. Национальной Академией Клинической Биохимии США в 2003 году были даны рекомендации по более активному наблюдению лиц с подобным уровнем ТТГ [Baloch Z. et al., 2003]. Кроме того, было рекомендовано поддерживать низконормальный уровень ТТГ на фоне заместительной терапии гипотиреоза. В литературе появились многочисленные публикации с рассуждениями о целесообразности снижения верхнего норматива значений ТТГ [Brabant G. et al., 2006; Wartofsky L. et al., 2005].
При определении референсных границ того или иного показателя учитываются возможные влияния времени проведения исследования, ряда средовых и физиологических факторов. В отношении референсного диапазона для уровня ТТГ особого внимания заслуживают циркадианные колебания его секреции. В норме секреция ТТГ происходит в пульсирующем режиме. Частота и амплитуда пульсации увеличиваются в ночное время. Пиковый уровень приходится на 2-4 часа ночи, минимальный - на послеполуденное время [Persani L. et al., 1995]. Тем не менее, до настоящего времени вопрос о времени суток для определения уровня ТТГ практически не обсуждался, хотя амплитуда его циркадианного ритма может значительно превышать суженные референсный и рекомендуемый для поддержания на фоне заместительной терапии диапазоны.
Результаты ряда исследований свидетельствуют о выраженной вариабельности уровня ТТГ и при субклиническом гипотиреозе [Karmisholt J. et al., 2008]. На сегодняшний день единого подхода к вопросу о целесообразности лечения субклинического гипотиреоза (за исключением беременных) нет [Glinoer D., 1998]. Длительные проспективные работы, посвященные этому вопросу, отсутствуют. Общепринятым показанием для назначения заместительной терапии при гипотиреозе являются ситуации, когда уровень ТТГ превышает 10 мЕд/л. Таким образом, по современным представлениям, показания для заместительной терапии гипотиреоза определяются уровнем ТТГ, в связи с чем возникает закономерный вопрос о стабильности повышения уровня ТТГ у пациентов с субклиническим и манифестным гипотиреозом, как в течение суток, так и на протяжении более длительного времени.
Как указывалось, в литературе активно обсуждается вопрос о сужении целевого интервала для ТТГ (до 0,4-2,5 мЕд/л) на фоне заместительной терапии препаратами тиреоидных гормонов при гипотиреозе [McDermott M. T. et al., 2001]. Установлено, что циркадианная вариабельность ТТГ при приеме L-тироксина (L-T4) аналогична таковой при нормальной функции ЩЖ [Persani L. et al., 1995]. Маркером адекватности заместительной терапии опять же является уровень ТТГ. Однако, несмотря на очевидную простоту как самой терапии, так и методов ее контроля, значительная доля пациентов находится в состоянии декомпенсации заболевания (до 62%) [, 2009]. Наряду с неточными рекомендациями специалистов, низкой комплаентностью и особенностями психологии пациентов, фактором, определяющим сложность подбора дозы L-T4, может являться и вариабельность уровня ТТГ.
Циркадианный ритм продукции ТТГ может иметь значение и в случае диагностики и лечения тиреотоксикоза, хотя этому вопросу посвящены лишь единичные работы. В одной из них было отмечено, что некоторые пациенты с ДТЗ и узловым токсическим зобом демонстрируют аналогичный лицам с эутиреозом ритм секреции ТТГ [Evans P. J. et al., 1986]. Особое клиническое значение может иметь вариабельность уровня ТТГ на фоне супрессивной терапии при раке ЩЖ, однако современных исследований на эту тему не найдено.
Суточная динамика секреции тиреоидных гормонов изучена в меньшей степени, чем циркадианная вариабельность уровня ТТГ. В большинстве работ суточных колебаний гормонов ЩЖ выявлено не было [Azukizawa M. et al., 1979]. Однако, по данным некоторых исследований максимальные концентрации тироксина и трийодтиронина приходятся на утренние часы [Weeke J. et al., 1978]. Есть данные о том, что продукция Т3 имеет схожую с ТТГ циркадианную динамику, при стабильности уровня Т4 на протяжении суток [Russell W. et al., 2008].
Помимо циркадианных ритмов секреции большое значение может иметь индивидуальная вариабельность уровня ТТГ и тиреоидных гормонов при повторных определениях, наблюдаемая как при нормальной, так и сниженной функции ЩЖ [Fisher D. A., 1996; Baloch Z. et al., 2003]. Её могут предопределять многочисленные внутренние и внешние факторы, включая использование различных методов гормонального анализа.
В целом, в настоящее время оценка функции ЩЖ и разного рода клинические решения базируются на конкретных показателях уровня ТТГ и тиреоидных гормонов, которые рекомендуется поддерживать в достаточно узких диапазонах. В этой ситуации даже небольшая вариабельность этих показателей, связанная с циркадианными и другими факторами, может приобрести существенное клиническое значение, что и определяет актуальность представленного исследования.
Цель работы
Оценить клиническую значимость индивидуальной и циркадианной вариабельности уровня тиреотропного гормона в норме и при различных нарушениях функции щитовидной железы.
Задачи исследования
1. Изучить циркадианные колебания уровня ТТГ на основании результатов его определения в утренние и дневные часы за один календарный год.
2. Изучить циркадианную и индивидуальную вариабельность уровней ТТГ, св. Т4 и св. Т3 у лиц без нарушений функции ЩЖ.
3. Изучить циркадианную и индивидуальную вариабельность уровней ТТГ, св. Т4 и св. Т3 при субклиническом гипотиреозе.
4. Изучить циркадианную и индивидуальную вариабельность уровня ТТГ на фоне заместительной терапии манифестного гипотиреоза.
5. Изучить суточный ритм секреции ТТГ на фоне супрессивной терапии L-тироксином.
Научная новизна
1. Проведено комплексное изучение индивидуальной и суточной вариабельности уровня ТТГ у лиц без нарушений функции ЩЖ, у пациентов с субклиническим гипотиреозом и пациентов, получающих заместительную терапию гипотиреоза препаратами тироксина.
2. Изучена циркадианная и индивидуальная вариабельность тиреоидных гормонов у лиц без нарушений функции ЩЖ и пациентов с субклиническим гипотиреозом.
3. Изучена суточная вариабельность уровня ТТГ на фоне супрессивной терапии L-тироксином.
4. Проведена оценка клинической значимости вариабельности уровня ТТГ при использовании как действующих, так и предлагаемых новых референсных и целевых интервалов.
Практическая значимость
1. Установлено, что действующий референсный диапазон для уровня ТТГ (0,4 – 4,0 мЕд/л) полностью перекрывает как индивидуальные, так и циркадианные колебания уровня ТТГ у лиц без нарушений функции ЩЖ.
2. Обоснована клиническая значимость циркадианной и индивидуальной вариабельности уровня ТТГ при субклиническом гипотиреозе и на фоне заместительной терапии гипотиреоза препаратами L-Т4.
3. Показано, что сужение референсного интервала для уровня ТТГ (0,4 – 2,5 мЕд/л) приведет к необходимости учета суточной вариабельности уровня ТТГ при оценке функции ЩЖ и значительному росту выявляемости гипотиреоза.
4. Рекомендовано ограничение времени забора крови для определения уровня ТТГ и/или разработка отдельных нормативов для уровня ТТГ в разные часы.
5. Показано, что стабильность супрессивной терапии L-Т4 (подавление продукции ТТГ) на протяжении суток у пациентов с высокодифференцированным раком ЩЖ при пограничных значениях ТТГ требует уточнения с учетом его циркадианной продукции ТТГ.
Апробация работы и публикации
Основные положения диссертации были представлены на межотделенческой конференции ФГУ ЭНЦ 28 мая 2010 г. По теме диссертации опубликовано 5 печатных работ.
Структура и объем диссертации
Диссертация состоит из введения, обзора литературы, описания материалов и методов исследования, описания результатов исследования и их обсуждения, выводов, практических рекомендаций и списка литературы. Работа изложена на 96 страницах, содержит 17 таблиц, 48 рисунков. Список литературы содержит 120 источников.
МАТЕРИАЛЫ И МЕТОДЫ
Объем, общая структура проведенных исследований, клиническая характеристика обследованных больных
1. Ретроспективное исследование
1. Было проведено изучение результатов определения уровня ТТГ и св. Т4 в группе из 1014 пациентов, госпитализированных с 2004 по 2007 гг. в подразделения ФГУ ЭНЦ, где целенаправленно не наблюдаются пациенты с патологией ЩЖ (отделения Институтов Диабета и Репродуктивной Эндокринологии).
2. Было проведено изучение результатов определения уровня ТТГ у пациентов (n=14760), обращавшихся в консультативно-диагностическое отделение ФГУ ЭНЦ с октября 2008 по октябрь 2009 гг. Были сформированы 2 группы: в первую (n=14397) вошли результаты определения ТТГ в утренние часы (8-11.00), во вторую (n=363) – после обеда (15-17.00).
2. Проспективное исследование
В исследование были включены:
- 27 лиц без нарушения функции ЩЖ (ТТГ - 0,4-4 мЕд/л);
- 20 пациентов с субклиническим гипотиреозом в исходе АИТ (ТТГ>4 мЕд/л, св. Тпмоль/л);
- 22 пациента, получающие препараты L-Т4 с заместительной целью (15 - по поводу манифестного гипотиреоза в исходе АИТ, 7 – по поводу послеоперационного гипотиреоза) в дозе 75 – 150 мкг/сут.;
- 17 пациентов, получающих ТТГ-супрессивную терапию препаратами L-Т4 по поводу ДРЩЖ в дозе 125 – 200 мкг/сут.
Возраст исследуемых составил 18-60 лет. Общими критериями исключения явились диффузный/узловой зоб, гипоталамо-гипофизарные заболевания и облучение гипоталамо-гипофизарной области в анамнезе, гиперкортицизм, сахарный диабет и другие тяжелые соматические заболевания, психические заболевания, ночной график работы, беременность, прием тиреостатических препаратов. Для группы лиц без нарушений функции ЩЖ и пациентов с субклиническим гипотиреозом критерием исключения также служил прием препаратов тиреоидных гормонов.
Для изучения циркадианной вариабельности ТТГ, св. Т4, св. Т3 у лиц без нарушения функции ЩЖ и у пациентов с субклиническим гипотиреозом исследование сыворотки крови проводилось в 8.00-9.00 и 14.00-16.00 ч одного дня; для изучения индивидуальной вариабельности - в 8.00-9.00 ч через 4-6 недель. Для изучения вариабельности уровня ТТГ у пациентов, получающих заместительную и супрессивную терапию L-Т4, исследование сыворотки крови проводилось по той же схеме.
Лабораторные методы
Исследование уровней ТТГ, св. Т4 и св. Т3 в сыворотке крови выполнялось в лаборатории гормонального анализа ФГУ ЭНЦ (руководитель – ) методом усиленной хемилюминисценции на автоматическом анализаторе Architect (фирма Abbott Diagnostics, Лос-Анджелес, США).
Статистический анализ
Проводился с использованием пакета прикладных программ Statistica (StatSoft Inc. США, версия 6.0). Качественные признаки описывались в виде долей и абсолютных значений. Для количественных признаков вычислялись медиана, крайние квартили [25, 75] и диапазон min-max. Для сравнения несопоставимых по объему выборок (при ретроспективном анализе) использовался метод рандомизации. Для сравнения независимых выборок применялись непараметрические критерии Данна (Q), Краскела-Уоллиса (Н) и Манна-Уитни (U). Для сравнения зависимых выборок - непараметрический критерий Вилкоксона (W). Для оценки значимости различий частот использовался критерий χ2 Пирсона с поправкой Йетса (в независимых группах) и Макнемара (в зависимых группах). Для изучения взаимосвязи количественных признаков применялся непараметрический метод Спирмена. Для коэффициента корреляции рассчитывался 95%-доверительный интервал. Статистически значимыми считались значения критериев и коэффициентов, соответствующие р < 0.05.
РЕЗУЛЬТАТЫ И ИХ ОБСУЖДЕНИЕ
Ретроспективное исследование
Оценка возможных последствий сужения референсного интервала для уровня ТТГ
В общей выборке пациентов (n=1014) уровень ТТГ менее 0,4 мЕд/л был выявлен в 6% случаев, в интервале 0,4 – 4 мЕд/л – в 84%, более 4 мЕд/л – у 10% пациентов. В соответствии с принятым в настоящее время референсным диапазоном ТТГ, распространенность гипотиреоза в выборке составила 10% (n = 104). Среди всех случаев гипотиреоза в 91% имел место субклинический гипотиреоз (n = 95), а в 9% - манифестный (n = 9). Уровень ТТГ у 70% пациентов (n = 703) находился в интервале 0,4 – 2,5 мЕд/л, и только у 14% (n = 146) - в интервале 2,5 – 4,0 мЕд/л (рис.1).

Рисунок 1. Распространенность различных уровней ТТГ в обследованной выборке
Для того чтобы оценить последствия предлагаемого изменения референсного диапазона для ТТГ, нами был рассмотрен более узкий интервал его значений – 0,4 – 2,5 мЕд/л. Уровни св. Т4 в интервалах ТТГ 0,4 – 2,5 мЕд/л и 2,5 - 4 мЕд/л не отличались друг от друга (Q = 2,239, р > 0,05), что может свидетельствовать об отсутствии принципиальных отличий в функционировании ЩЖ у лиц с этими уровнями ТТГ (рис. 2).

Рисунок 2. Уровни св. Т4, соответствующие различным интервалам для уровня ТТГ (Me [25; 75] min – max)
Распространенность гипотиреоза в соответствии с референсным диапазоном 0,4-2,5 мЕд/л составила 24% (n = 250), что достоверно отличалось от распространенности гипотиреоза при использовании действующего референсного интервала (χ2 = 499,38, р < 0,0001; χ2 = 144,01, р < 0,0001).
В соответствии с полученными результатами сужение референсного интервала для уровня ТТГ может привести к тому, что число лиц с гипотиреозом увеличится в 2,5 раза. В связи с тем, что уровень св. Т4 с клинических позиций мало отличается в группах пациентов с низко - и высоконормальным уровнем ТТГ, очевидно, что этот прирост произойдет исключительно за счет субклинического гипотиреоза. Вероятно, в действительности прирост распространенности субклинического гипотиреоза окажется существенно ниже, поскольку наши данные получены на госпитальной выборке, но даже если этот показатель сократится вдвое, распространенность «повышенного» уровня ТТГ и тогда будет колоссальной.
Изучение циркадианных колебаний уровня ТТГ на основании валовых результатов его определения в утренние и дневные часы за один календарный год
В группе пациентов, обследованных в утренние часы (9–11.00), медиана уровня ТТГ составила 1,58 мЕд/л, крайние квартили составили 0,87 и 2,66 мЕд/л. Соответствующие характеристики пациентов, обследованных во второй половине дня (15 – 17.00), оказались существенно ниже: медиана – 1,1 мЕд/л, крайние квартили – 0,65 и 1,85 мЕд/л (U = 25; р < 0,0001) (рис.3).

Рисунок 3. Уровни ТТГ в разные часы (Ме [25;75])
С целью демонстрации характерных суточных колебаний уровня ТТГ у лиц без выраженных нарушений функции ЩЖ из обеих групп были удалены значения ТТГ менее 0,4 мЕд/л, и последовательно – значения выше 20, 10 и 4,0 мЕд/л (табл.).
Таблица. Уровень ТТГ (мЕд/л) в различных подгруппах пациентов
Время суток | n | Медиана | Минимальное значение | Максимальное значение | Нижний квартиль | Верхний квартиль |
ТТГ 0,4 – 20 мЕд/л | ||||||
8-11.00 | 12386 | 1,75 | 0,40 | 19,96 | 1,13 | 2,83 |
15-17.00 | 302 | 1,21 | 0,40 | 18,90 | 0,86 | 2,04 |
ТТГ 0,4 – 10 мЕд/л | ||||||
8-11.00 | 12113 | 1,72 | 0,40 | 9,97 | 1,11 | 2,71 |
15-17.00 | 301 | 1,21 | 0,40 | 8,74 | 0,86 | 2,03 |
ТТГ 0,4 – 4,0 мЕд/л | ||||||
8-11.00 | 10724 | 1,57 | 0,40 | 4,00 | 1,05 | 2,30 |
15-17.00 | 284 | 1,17 | 0,40 | 3,94 | 0,84 | 1,81 |
Более низкие уровни ТТГ характеризовали все выборки, полученные при определении ТТГ в дневные часы. Суточная динамика показателей составила 24-31%.
В дальнейшем исходные данные были разбиты на интервалы: <0,4 мЕд/л, 0,4-4 мЕд/л и >4 мЕд/л. Обращает на себя внимание, что в группе утреннего определения ТТГ распространенность гипотиреоза (ТТГ > 4 мЕд/л) составила 13%, а при определении ТТГ в дневные часы – 6% (χ2 = 14,27, р < 0,0002) (рис. 4). Следует отметить, что в группе дневного определения ТТГ отсутствовали наблюдения в интервале 9-19 мЕд/л, что может являться следствием выраженных циркадианных колебаний ТТГ в указанном диапазоне.
Рисунок 4. Распределение уровней ТТГ в разные часы

В связи с актуальностью вопроса о референсном диапазоне для ТТГ, а также для получения более детального представления о различиях между группами, дополнительно был рассмотрен интервал ТТГ 0,4 – 2,5 мЕд/л. В первой группе уровень ТТГ в обсуждаемом диапазоне был выявлен в 60% случаев, во второй - в 69% (рис. 4). При этом в дневное время была определена существенно меньшая распространенность не только значений ТТГ, превышающих 4,0 мЕд/л, но и значений в интервале 2,5 – 4,0 мЕд/л (χ2 = 9,25, р < 0,0024). Изменения, коснувшиеся интервала 0,4-2,5 мЕд/л свидетельствуют не в пользу сужения референсного/целевого диапазона значений ТТГ.
Результаты проспективного исследования
Изучение циркадианной вариабельности ТТГ и тиреоидных гормонов у лиц без нарушений функции ЩЖ
Определение уровня ТТГ в динамике было проведено в сыворотке крови 27 здоровых лиц. У 88,9 % из них (n=24) уровни ТТГ при определении в дневные часы оказались ниже утренних, и только у 11,1% (n=3) - выше. Медиана концентраций ТТГ в утренние часы составила 2,28 мЕд/л, крайним квартилям соответствовали 1,74 и 3,16 мЕд/л. Медиана уровней ТТГ в дневные часы оказалась ниже – 1,6 мЕд/л, крайние квартили составили 1,35 и 2,15 мЕд/л (рис. 5). Различия между группами по критерию Вилкоксона явились статистически значимыми (p=0,000021). Диапазон изменений уровня ТТГ составил (-2,1,095 мЕд/л (Ме – (-0,49) мЕд/л). В процентном отношении от уровней ТТГ в утренние часы его концентрации в дневное время снизились на 21,45% [-58; 3] (рис.6).

Рисунок 5. Уровни ТТГ в утренние и дневные часы (Me [25;75] min-max) у лиц без нарушений функции ЩЖ

Рисунок 6. Колебания уровня ТТГ в течение дня у лиц без нарушений функции ЩЖ
Кроме того, была выявлена умеренная положительная корреляция между утренними уровнями ТТГ и динамикой его продукции в течение дня (r =0,54, р=0,0038; 95%ДИ 0,18-0,77). Т. е., чем выше был утренний ТТГ, тем большая амплитуда циркадианных колебаний наблюдалась. Корреляций между диапазоном изменений уровня ТТГ и его концентрациями в дневные часы выявлено не было (р=0,7).
В связи с актуальностью вопроса о снижении верхнего норматива уровня ТТГ, нами был дополнительно рассмотрен диапазон его концентраций 0.4-2.5 мЕд/л.
Если в соответствии с действующим референсным интервалом 0,4-4 мЕд/л у всех лиц, включенных в исследование, и в утренние, и в дневные часы определялся эутиреоз (ТТГ≤4 мЕд/л), то в соответствии с предлагаемым референсным интервалом 0,4-2,5 мЕд/л у 44,4% лиц (n=12) в утренние и 14,8% лиц (n=4) в дневные часы определялся гипотиреоз (ТТГ≤ 2,5 мЕд/л).
Выявляемость гипотиреоза в разные часы в соответствии с референсным диапазоном 0,4-2,5 мЕд/л статистически значимо отличалась (Макнемара χ2=5.26, р=0.021; χ2=6.13, р=0.013). Различия по распространенности гипотиреоза в соответствии с действующим и предлагаемым референсными интервалами в утренние часы также оказались статистически достоверными (χ2 с поправкой Йетса - 12.96, р=0.0003). Однако, в дневные часы значимых различий выявлено не было (χ2 с поправкой Йетса - 2.43, р=0.12), что свидетельствует на примере нашей выборки о минимальных клинических последствиях изолированного сужения референсного диапазона в дневное время.
Уровни св. Т4 при утреннем и дневном определении статистически значимо не отличались (критерий Вилкоксона, р=0.078). Диапазон изменений св. Т4 составил (-5.7)-4.5 пмоль/л (Ме – 0,55 пмоль/л). Уровни св. Т4 в дневные часы оказались ниже утренних у 61,5% лиц (n=16), выше – у 38,5% лиц (n=10). В процентном отношении концентрации св. Т4 в дневные часы отличались от утренних уровней на (-25)-35% (Ме – 3,76). Уровни св. Т4, а также диапазоны их изменений не коррелировали ни с концентрациями ТТГ в разное время, ни с диапазонами их колебаний (p>0.05).
В то же время уровни св. Т3 при определении в разное время суток отличались статистически значимо (критерий Вилкоксона, р=0.015). При определении в дневные часы уровни св. Т3 оказались ниже утренних у 16 лиц (64%), выше – у 6 лиц (24%), неизменными – у 3 лиц (12%). Динамика продукции составила (-0.8)-0.4 пмоль/л (Ме – (-0.1) пмоль/л). В процентном отношении от уровней св. Т3 в утренние часы его концентрации в дневное время отличались на (-5,,09% (Ме – (-2,17)%). Уровни св. Т3 с уровнями ТТГ не коррелировали, однако между амплитудами изменений св. Т3 и ТТГ была выявлена умеренная положительная корреляция (r = 0.45, р=0.023, 95%ДИ 0.05-0.73). Таким образом, циркадианный характер продукции ТТГ в большей степени отражался на суточной динамике уровня св. Т3, а не св. Т4.
Изучение индивидуальной вариабельности ТТГ и тиреоидных гормонов у лиц без нарушений функции ЩЖ
При проведении парных сравнений результатов определения ТТГ через 4-6 недель с исходными, были выявлены статистически значимые различия (p=0,013). Уровни ТТГ через 4-6 недель оказались ниже исходных у 81,8% лиц (n=9), выше – у 18,2% лиц (n=2). Диапазон изменений составил (-0,92)-0,18 мЕд/л (Ме – (-0,37) мЕд/л). В процентном отношении от исходных уровней ТТГ его концентрации через 4-6 недель отличались на % (Ме – (-15,03)). Корреляций между диапазонами изменений ТТГ, исходными уровнями и уровнями ТТГ через 4-6 недель выявлено не было (p>0.05).
В соответствии с референсным диапазоном 0,4-4 мЕд/л у всех лиц, оставшихся в исследовании, исходно и через 4-6 недель определялся эутиреоз (ТТГ≤4 мЕд/л), в соответствии с предлагаемым референсным интервалом 0,4-2,5 мЕд/л у 54,5% лиц (n=6) исходно и у 45,5% лиц (n=5) через 4-6 недель – определялся гипотиреоз (ТТГ≤2,5 мЕд/л).
Выявляемость гипотиреоза в соответствии с референсным диапазоном 0.4-2.5 мЕд/л исходно и через 4-6 недель статистически значимо не отличалась (Макнемара χ2=0.125, р=0.724; χ2=0.00, р=1.00). При сравнении распространенности гипотиреоза через 4-6 недель в соответствии с разными референсными интервалами были получены статистически значимые различия (χ2 с поправкой Йетса - 4.14, р=0.042).
Уровни св. Т4 при определении с интервалами 4-6 недель статистически значимо не отличались (критерий Вилкоксона, р=0.8). Концентрации св. Т4 оказались ниже исходных у 57,1% лиц (n=4), выше – у 42,9% лиц (n=3). Диапазон изменений уровня св. Т4 составил (-9.6)-3.6 пмоль/л (Ме – (-0,1) пмоль/л). Концентрации св. Т4 через 4-6 недель отличались от исходных на (-42,3)-37,5% (Ме – (-0,83)). Уровни св. Т4, а также диапазоны их изменений не коррелировали ни с уровнями ТТГ в разное время, ни с диапазонами их колебаний (р>0.05).
Уровни св. Т3 при определении с интервалами 4-6 недель отличались статистически значимо (критерий Вилкоксона, p=0.038). Концентрации св. Т3 оказались ниже исходных у 80% лиц (n=8), выше – у 10% пациентов (n=1). Диапазон изменений уровня св. Т3 составил (-1пмоль/л (Ме – (-0.3) пмоль/л). Концентрации св. Т3 через 4-6 недель отличались от исходных на (-25)-5,89 % (Ме – (-6,25)). Уровни св. Т3, а также диапазоны их изменений не коррелировали ни с уровнями ТТГ в разное время, ни с диапазонами их колебаний (р>0.05).
Таким образом, между индивидуальной вариабельностью уровня ТТГ и колебаниями тиреоидных гормонов не было выявлено взаимосвязи.
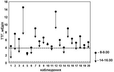
Изучение циркадианной вариабельности ТТГ и тиреоидных гормонов у пациентов с субклиническим гипотиреозом
У 95% пациентов с субклиническим гипотиреозом (n=19) уровни ТТГ при определении в дневные часы оказались ниже утренних, у 5% (n=1) - выше. Медиана концентраций ТТГ в утренние часы составила 5,83 мЕд/л, крайним квартилям соответствовали 4,54 и 7,3 мЕд/л. Медиана уровней ТТГ в дневные часы оказалась ниже – 3,79 мЕд/л, крайние квартили составили 2,99 и 5,17 мЕд/л (рис.7). Различия между группами по критерию Вилкоксона явились статистически значимыми (p<0,001). Диапазон изменений составил (-7,1)-0,5 мЕд/л (Ме – (-1,7) мЕд/л)(рис.8). В процентном отношении от уровней ТТГ в утренние часы его концентрации в дневное время снизились на 28,5% [-73; 10].

Рисунок 7. Уровни ТТГ в утренние и дневные часы (Me [25;75] min-max) у лиц с субклиническим гипотиреозом

Рисунок 8. Колебания уровня ТТГ в течение дня при субклиническом гипотиреозе
Кроме того, была выявлена умеренная положительная корреляция между утренним уровнем ТТГ и динамикой его продукции в течение дня (r = 0,70, р< 0,001; 95%ДИ 0,35-0,88). Корреляций между диапазонами изменений уровня ТТГ и его концентрациями в дневные часы выявлено не было (р=0,33). Т. е., более высокий утренний уровень ТТГ определял более широкий диапазон его циркадианных колебаний.
В соответствии с действующим референсным интервалом 0,4-4 мЕд/л гипотиреоз (ТТГ>4 мЕд/л) в утренние часы определялся у 95% включенных в исследование (n=19), а в дневные – лишь у 50% (n=10) (рис.9). Таким образом, можно говорить о клинической
значимости вариабельности уровня ТТГ в рамках действующего референсного диапазона.

Рисунок 9. Выявляемость гипотиреоза в разные часы при использовании референсного интервала для уровня ТТГ 0.4-4 мЕд/л у лиц с субклиническим гипотиреозом.
В соответствии с предлагаемым референсным интервалом 0,4-2,5 мЕд/л в утренние часы гипотиреоз (ТТГ>2,5 мЕд/л) определялся у 95% лиц (n=19), в дневные - у 80% (n=16).
По распространенности гипотиреоза в утренние и дневные часы при использовании действующего референсного интервала были выявлены статистически значимые различия (χ2=7.11, р=0.0077; χ2=5.82, р=0.016). Различия по распространенности гипотиреоза при использовании референсного диапазона 0,4-2,5 мЕд/л в утренние и дневные часы оказались статистически не значимыми (χ2=1.33, р=0.25; χ2=11.5, р=0.00069).
Различий по распространенности гипотиреоза в утренние часы при использовании разных референсных интервалов выявлено не было, различия в дневные часы оказались статистически не достоверными (χ, р=0.09).
Таким образом, на примере нашей выборки было показано, что сужение референсного диапазона для уровня ТТГ в дневные часы лишено клинических последствий при субклиническом гипотиреозе.
Уровни св. Т4 при утреннем и дневном определении статистически значимо не отличались (критерий Вилкоксона, р=0.36). Диапазон изменений св. Т4 составил (-0.7)-1.9 пмоль/л (Ме – 0,05 пмоль/л). В процентном отношении концентрации св. Т4 в дневные часы отличались от утренних уровней на (-6)-17% (Ме – 0,4). Уровни св. Т4, а также диапазоны их изменений не коррелировали ни с концентрациями ТТГ в разное время, ни с амплитудами их колебаний (p>0.05).
В то же время уровни св. Т3 при определении в разное время суток отличались статистически значимо (критерий Вилкоксона, р=0.0006). При определении в дневные часы уровни св. Т3 оказались ниже утренних у 84,2% лиц (n=16), выше – у 10,5% лиц (n=2), неизменными – у 5,2% пациентов (n=1). Динамика продукции составила (пмоль/л (Ме – (-0.3) пмоль/л). В процентном отношении от уровней св. Т3 в утренние часы его концентрации в дневное время отличались на (-,6% (Ме–(-7,9)). Уровни св. Т3 с уровнями ТТГ не коррелировали, однако между относительными величинами изменений св. Т3 и ТТГ была выявлена умеренная положительная корреляция (r = 0,48, р=0.039, 95%ДИ 0-0.78).
Таким образом, можно говорить о сохранности при субклиническом гипотиреозе взаимосвязи между циркадианными ритмами продукции ТТГ и св. Т3.
Изучение индивидуальной вариабельности ТТГ и тиреоидных гормонов у пациентов с субклиническим гипотиреозом
Уровни ТТГ, определенные через 4-6 недель, при сравнении с исходными отличались статистически значимо. Концентрации ТТГ снизились у 73,3% лиц (n=11), повысились – у 26,7% лиц (n=4). Диапазон изменений составил (-5,2) - 3,6 мЕд/л (Ме – (-0,78) мЕд/л). В процентном отношении от исходных уровней ТТГ его концентрации через 4-6 недель отличались на% (Ме – (-9,4)%). Корреляций между диапазонами изменений ТТГ, исходными уровнями и уровнями ТТГ через 4-6 недель выявлено не было (p>0.05).
В соответствии с референсным диапазоном 0,4 – 4,0 мЕд/л из 15 оставшихся в исследовании лиц через 4-6 недель гипотиреоз определялся лишь у,7%), а в соответствии с предлагаемым референсным интервалом 0,4-2,5 мЕд/л – у 14 пациентов (93,3%). Однако, при использовании как действующего, так и предлагаемого референсных интервалов распространенность гипотиреоза через 4-6 недель по сравнению с исходной статистически значимо не отличалась (p>0.05).
Достоверных различий по уровню св. Т4 при определении с интервалами 4-6 недель выявлено не было. Концентрации св. Т4 оказались ниже исходных у 30,8% лиц (n=4), выше – у 69,2% лиц (n=9). Диапазон изменений уровня св. Т4 составил (-1пмоль/л (Ме – 0,6 пмоль/л). Концентрации св. Т4 через 4-6 недель отличались от исходных на (-% (Ме – 4,8%). Уровни св. Т4, а также диапазоны их изменений не коррелировали ни с уровнями ТТГ в разное время, ни с диапазонами их изменений (р>0.05).
Уровни св. Т3 при определении с интервалами 4-6 недель также статистически значимо не отличались (p=0.55). Концентрации св. Т3 оказались ниже исходных у 6 лиц (40%), выше – у 8 пациентов (53,3%), остались неизменными – в одном случае (6,7%). Диапазон изменений уровня св. Т3 составил (-1пмоль/л (Ме – 0.1 пмоль/л). Концентрации св. Т3 через 4-6 недель отличались от исходных на (-24)-104 % (Ме – 2,08%). Уровни св. Т3, а также диапазоны их изменений не коррелировали ни с уровнями ТТГ в разное время, ни с диапазонами их колебаний (р>0.05).
Таким образом, было установлено отсутствие четкой взаимосвязи между индивидуальной вариабельностью уровня ТТГ и колебаниями тиреоидных гормонов при субклиническом гипотиреозе.
Изучение циркадианной вариабельности ТТГ у пациентов, получающих заместительную терапию L-Т4
У всех 22 пациентов с гипотиреозом, включенных в данную группу, уровни ТТГ при определении в дневные часы оказались ниже утренних. Медиана концентраций ТТГ в утренние часы составила 3,27 мЕд/л, крайним квартилям соответствовали 1,42 и 5,15 мЕд/л. Медиана уровней ТТГ в дневные часы оказалась ниже – 2,18 мЕд/л, крайние квартили составили 1,03 и 3,37 мЕд/л. Различия между группами по критерию Вилкоксона явились статистически значимыми (p=0,00004) (рис.10).

Рисунок 10. Уровни ТТГ в утренние и дневные часы (Me [25;75] min-max) у лиц, получающих заместительную терапию L-Т4
Диапазон изменений составил (-9,,02) мЕд/л (Ме – (-0,82) мЕд/л). В процентном отношении от уровней ТТГ в утренние часы его концентрации в дневное время снизились на 31,2% [-64.7; 1.8]. Кроме того, между диапазонами изменений уровней ТТГ и их утренними концентрациями была выявлена сильная положительная корреляция (r =0.86, р=0.000; 95%ДИ 0.66-0.94), а их дневными уровнями - умеренная корреляция (r =0.6, р=0.0034; 95%ДИ 0.2-0.82).
В связи с актуальностью вопроса о целесообразности снижения верхнего норматива уровня ТТГ, нами был дополнительно рассмотрен диапазон его концентраций 0.4-2.5 мЕд/л.
В соответствии с действующим референсным интервалом 0,4-4 мЕд/л в утренние часы у 10 включенных в исследование пациентов (45,5%) определялась недостаточная компенсация гипотиреоза (ТТГ>4 мЕд/л), а в дневные – у 2 (9%) (рис.11). В соответствии с предлагаемым целевым интервалом 0,4-2,5 мЕд/л в утренние часы недостаточная компенсация гипотиреоза (ТТГ>2,5 мЕд/л) определялась у 12 лиц (54,5%), а в дневные - у 9 (40%). Передозировка L-Т4 (ТТГ<0.4 мЕд/л) была выявлена у одного пациента (4.5%) в утренние часы и двух пациентов (9%) в дневное время.

Рисунок 11. Выявляемость недостаточной компенсации гипотиреоза в разные часы при использовании целевого интервала 0.4-4 мЕд/л у лиц, получающих заместительную терапию L-Т4
Распространенность недостаточной компенсации гипотиреоза в соответствии с действующим референсным интервалом в утренние и дневные часы отличалась статистически значимо (Макнемара χ2=5.8, р=0.016; χ2=6.2, р=0.013). Различия по выявляемости недостаточной компенсации гипотиреоза в соответствии с предлагаемым целевым диапазоном в разные часы оказались статистически незначимыми (Макнемара χ2=1.33, р=0.25; χ2=0,00 р=1.00). Статистически достоверные различия по распространенности недостаточной компенсации гипотиреоза в утренние часы были получены при использовании разных целевых интервалов (χ2 с поправкой Йетса - 12.1, р=0.0005). Однако, в дневные часы различия оказались статистически не достоверными (χ2 с поправкой Йетса - 1.06, р=0.3).
Кроме того, не было получено статистически значимых различий по распространенности недостаточной компенсации гипотиреоза в утренние часы в соответствии с референсным диапазоном 0,4-4 мЕд/л и в дневные часы в соответствии с интервалом 0,4-2,5 мЕд/л (χ2=0.21, р=0.65; χ2=0,00 р=1.00).
Таким образом, изолированное сужение целевого диапазона для уровня ТТГ в дневные часы было лишено каких-либо клинических последствий при оценке адекватности компенсации гипотиреоза.
Изучение индивидуальной вариабельности ТТГ у пациентов, получающих заместительную терапию L-Т4
При сравнении результатов определения ТТГ через 4-6 недель с исходными не было получено статистически значимых различий (p=0,36). Уровни ТТГ через 4-6 недель оказались ниже исходных у 50% лиц (n=7), выше – также у 50% лиц (n=7). Диапазон изменений составил (-14,6)-1,6 мЕд/л (Ме – (-0,01) мЕд/л). В процентном отношении от исходных уровней ТТГ его концентрации через 4-6 недель отличались на% (Ме – (-0,96)). Между диапазонами изменений уровней ТТГ и их исходными концентрациями была выявлена умеренная положительная корреляция (r =0.68, р=0.008; 95%ДИ 0.17-0.9).
В соответствии с референсным диапазоном 0,4-4 мЕд/л из 14 оставшихся в исследовании лиц через 4-6 недель недостаточная компенсация гипотиреоза определялась лишь у 3 лиц (21,4%), а в соответствии с предлагаемым целевым интервалом 0,4-2,5 мЕд/л – у 5 пациентов (35,7%).
Однако, при использовании как действующего, так и предлагаемого целевых интервалов распространенность недостаточной компенсации гипотиреоза через 4-6 недель статистически значимо не отличалась от исходной (p>0.05).
Изучение циркадианной вариабельности ТТГ у пациентов, получающих супрессивную терапию L-Т4
У 58,8%пациентов (n=10) уровни ТТГ при определении в дневные часы оказались ниже утренних, у 29,4% пациентов (n=5) – выше, у 11,8% (n=2) остались неизменными. Медиана концентраций ТТГ в утренние часы составила 0,016 мЕд/л, крайним квартилям соответствовали 0,005 и 0,062 мЕд/л. Медиана уровней ТТГ в дневные часы оказалась немного ниже – 0,015 мЕд/л, крайние квартили составили 0,004 и 0,05 мЕд/л. Различия между группами оказались статистически незначимыми.
Диапазон изменений составил (-0,06)-(0,02) мЕд/л (Ме – (-0,001) мЕд/л). В процентном отношении от уровней ТТГ в утренние часы его концентрации в дневное время отличались на (-50) – 200% (Ме – (-19%)). Корреляций между диапазонами изменений уровней ТТГ и их утренними и дневными концентрациями выявлено не было (р>0,05).
В одном случае уровень ТТГ в утренние часы превышал пороговое значение 0.1 мЕд/л, а в дневные часы - оказался ниже 0,1 мЕд/л. В другом случае уровень ТТГ в утренние часы, удовлетворяющий требованиям супрессивной терапии, в дневные часы превышал 0,1 мЕд/л. Статистически значимых различий по распространенности неудовлетворительной ТТГ-супрессии в разные часы выявлено не было (χ2=9.6, р=0.002; χ2=0.5, р=0.48). Однако, можно говорить о возможной нестабильности супрессии уровня ТТГ в течение суток при его пограничных значениях.
ВЫВОДЫ
1. В норме продукция ТТГ характеризуется циркадианным ритмом, при этом снижение уровня ТТГ в течение дня достигает 58% (Ме-21,5%). Величина индивидуальной вариабельности уровня ТТГ на протяжении 4-6 недель у лиц без нарушений функции ЩЖ не превышает 43% (Ме-15%).
2. В норме статистически значимая суточная и индивидуальная вариабельность уровня свободного Т4 отсутствует. Циркадианные колебания уровня свободного Т3 в течение дня достигают 15,4% (Ме-2,2%), индивидуальная вариабельность - 25% (Ме-6,3%), при этом циркадианные колебания уровня свободного Т3 положительно коррелируют с динамикой продукции ТТГ.
3. При субклиническом гипотиреозе диапазон изменений уровня ТТГ в течение дня достигает 73% (Ме – 28,5%), а диапазон индивидуальной вариабельности – 139%, при этом уровень ТТГ может как возвращаться в пределы референсных значений (в норму), так и возрастать, соответствуя прогрессированию гипотиреоза.
4. Диапазон циркадианных колебаний уровня ТТГ у пациентов с гипотиреозом, получающих заместительную терапию L-тироксином, достигает 64% (Ме - 31,2%), а величина индивидуальной вариабельности приближается к 100%, при этом в пределах этих колебаний уровень ТТГ может выходить за границы референсного диапазона.
5. Циркадианные колебания продукции ТТГ на фоне супрессивной терапии L-тироксином сохраняются, достигают 200% и могут приводить к превышению уровнем ТТГ необходимого порога супрессии.
6. При нормальной функции ЩЖ действующий референсный диапазон для уровня ТТГ (0,4 – 4,0 мЕд/л) полностью перекрывает как его циркадианные, так и индивидуальные колебания. Клиническую значимость вариабельность уровня ТТГ в рамках действующих референсных значений приобретает при субклиническом гипотиреозе и на фоне заместительной терапии L-тироксином.
7. В случае сужения референсного интервала для уровня ТТГ до 0,4-2,5 мЕд/л можно ожидать увеличения распространенности гипотиреоза в 2,5 раза и многократного повышения затрат на мониторинг уровня ТТГ.
8. Использование действующего референсного (целевого) диапазона для уровня ТТГ в утренние часы и суженного - в дневные часы позволяет снизить клиническое значение вариабельности уровня ТТГ при субклиническом гипотиреозе и на фоне заместительной терапии L-тироксином.
ПРАКТИЧЕСКИЕ РЕКОМЕНДАЦИИ
1. Интерпретация уровня ТТГ требует учета времени забора крови, при этом в дневные часы как в норме, так и при гипотиреозе (включая пациентов, уже получающих заместительную терапию) происходит физиологическое снижение уровня ТТГ на 20 – 60% от исходного.
2. В широкой клинической практике следует использовать референсный диапазон для уровня ТТГ между 0,4 и 4,0 мЕд/л, при этом единственно приемлемым вариантом использования суженного референсного интервала (0,4 – 2,5 мЕд/л) в настоящее время является его применение в дневные часы.
3. С учетом использования действующего референсного диапазона (0,4 – 4,0 мЕд/л) для уровня ТТГ, забор крови для его определения рекомендуется осуществлять в утренние часы (8 – 9 часов).
4. Наибольшее значение учёт времени забора крови при определении ТТГ имеет при диагностике субклинического гипотиреоза и проведении заместительной терапии гипотиреоза L-тироксином, поскольку циркадианная динамика его продукции может приводить к спонтанной нормализации показателя в дневные часы и значимому повышению в ранние утренние.
СПИСОК ПУБЛИКАЦИЙ ПО ТЕМЕ ДИССЕРТАЦИИ
1. , Фадеев вариабельности уровня ТТГ в клинической практике // Клиническая и экспериментальная тиреоидология - 2008 - №4 – С. 16-24;
2. , , Возможные последствия сужения референсного интервала для уровня ТТГ // Клиническая и экспериментальная тиреоидология» - 2009 - №2 – С.34-40;
3. , , Ильин аспекты циркадианной вариабельности уровня ТТГ // Клиническая и экспериментальная тиреоидология» - 2009 - №4 – С.38-41;
4. , , Ильин и индивидуальная вариабельность уровня ТТГ и тиреоидных гормонов у лиц без нарушений функции щитовидной железы // Клиническая и экспериментальная тиреоидология» - 2010 - №1 – С. 39-45;
5. , , Ильин и индивидуальная вариабельность уровня ТТГ и тиреоидных гормонов у пациентов с субклиническим гипотиреозом // Клиническая и экспериментальная тиреоидология» - 2010 - №3 – С. 35-41.



