Министерство образования и науки Российской Федерации
Международный образовательный консорциум
«Открытое образование»
Московский государственный университет экономики,
статистики и информатики
АНО «Евразийский открытый институт»
Организация, технология и проектирование предприятий
Учебное пособие
Практикум
Тесты
Москва 2008
Тема 1. Коммерческие предприятия: их типы, виды, функции. 4
1.1. Понятие организации.. 4
1.2. Коммерческие организации.. 16
1.3. Некоммерческие организации.. 49
Тема 2. Принципы, нормы и методы проектирования коммерческих предприятий.. 56
2.1. Принципы проектирования организаций.. 56
2.2. Факторы проектирования организации.. 62
2.3. Элементы проектирования организации.. 77
Тема 3. Торгово-технологический процесс. 105
3.1. Основы построения процесса товародвижения. 105
3.2. Управление торгово-технологическим процессом на складах. 111
3.3. Тара и тарные операции.. 128
Тема 4. Оптовые торговые предприятия. 145
4.1. Роль оптовой торговли в системе хозяйственных отношений. 145
4.2. Виды, типы и функции оптовых предприятий. 155
4.3. Организация оптово-розничной сбытовой сети.. 163
Тема 5. Предприятия розничной торговли. 172
5.1. Розничные торговые предприятия, их классификация, функции и принципы размещения. 172
5.2. Устройство и технологические планировки магазинов. 189
5.3. Организация торгово-технологического процесса в магазине. 197
Тема 6. Проектирование предприятий торговли.. 211
6.1. Организация и технология проектирования предприятий.. 211
6.2. Организация капитального строительства и ремонта предприятий торговли.. 241
6.3. Организация и охрана труда на предприятиях торговли.. 245
Глоссарий.. 271
Практикум.. 283
Контрольные вопросы по темам: 283
Практические задания. 287
Тестовые задания. 293
Тема 1. Коммерческие предприятия: их типы, виды, функции.
1.1. Понятие организации
Производственная организация, предприятие, фирма – ключевой компонент хозяйственного потенциала страны
Наиболее крупным элементом государственного хозяйства с экономической, технической и социальной точек зрения является производственный потенциал, выступающий в виде предприятий, фирм и т. д. Содержательная сторона деятельности таких организаций крайне многообразна и оказывает существенное влияние на различные стороны жизни общества. Являясь частью этого общества, производственные организации и их члены сами подвержены процессам общественных изменений. Поэтому производственные организации и их влияние на общество можно рассматривать во многих аспектах. В рамках нашего курса выделим важнейшие из них.
Сама по себе производственная организация как сложная система, выступает в виде:
· юридически (законодательно) оформленного субъектно-объектного органа;
· хозяйственного объекта;
· социального организма;
· пространственно-технического организма.
Как целостная система, объект и субъект различных взаимоотношений производственная организация выступает в качестве юридического лица
, которое имеет в собственности, хозяйственном ведении или оперативном управлении обособленное имущество, осуществляет имущественные права и отвечает по своим обязательствам этим имуществом.
Как подсистема государственного (или мирового) хозяйства производственная организация может рассматриваться как представитель определенной отрасли хозяйства, типа производства регионального или государственного уровня.
Как система со сложной внутренней структурой производственная организация может выступать в виде организационной, производственной, технической, функциональной и иного вида структур, характеризующих взаимодействие многообразных факторов и элементов организации для достижения ее целей.
Производственные организации выделяются среди других организаций целым рядом особенностей.
Во-первых, являясь генератором общественного богатства, они - основной поставщик материальных благ.
Во-вторых, именно производственные организации решили одну из ключевых задач развития человеческого общества: они осуществляют расширенное воспроизводство, что позволяет не только накапливать материальные, интеллектуальные и духовные ценности (за счет полученной прибыли), но и качественно преобразовывают их т. е. по существу предоставляют саму возможность для развития общества.
В-третьих, фирмы, осуществляя свою хозяйственную деятельность, являются основным «донором» государства, направляя в казну налоговые платежи, которые используют для решения общенациональных и региональных задач.
В-четвертых, выплачивая заработную плату своим работникам, дивиденды акционерам, выступая в качестве продавца и покупателя на рынке предприятий, они формируют покупательную способность.
В-пятых, производственные организации формируют важнейшие рынки – рабочей силы, капиталов и инвестиций, товаров и средств производства.
В то же время сами производственные предприятия являются объектом воздействия со стороны общества.
Предприятие - самостоятельный хозяйствующий субъект с правами юридического лица, который производит и реализует продукцию, выполняет работы, оказывает услуги. Предприятие имеет право заниматься любой хозяйственной деятельностью, не запрещенной законодательством и отвечающей целям, предусмотренным в уставе предприятия. Предприятие имеет самостоятельный баланс, расчетный и иные счета в банках, печать со своим наименованием
Государственное предприятие State enterprise - предприятие, основные средства которого находятся в государственной собственности, а руководители назначаются или нанимаются по контракту государственными органами. Государственные предприятия получают основную часть своих доходов за счет продажи товаров и услуг, а не из государственного бюджета
Крупное предприятие, Крупная компания Big business - фирма, которая - производит большую долю общего объема продукции отрасли; и/или - считается крупной по числу занятых или по числу держателей акций, по объему продаж, по размеру активов или прибылей.
Малое предприятие Small enterprise - коммерческое предприятие с ограниченными дня каждого вида деятельности численностью работников и объемом хозяйственного оборота.
Промышленное предприятие - организация, производящая промышленную продукцию и являющаяся, как правило, точечным объектом: завод, фабрика, шахта, карьер, рудник, комбинат и др.
Внешняя среда - совокупность условий, в которых протекает деятельность организации. Внешняя среда зависит от внешних и внутренних факторов влияния
Внутренняя среда организации - часть общей среды, находящаяся в рамках организации:
· человеческие ресурсы;
· технические ресурсы.
· коммерческие ресурсы;
· финансовые ресурсы.
Внутренняя среда оказывает постоянное и непосредственное воздействие на функционирование организации.
Социальная среда организации - совокупность факторов, определяющих качество трудовой жизни работников:
· социальная инфраструктура организации;
· условия работы и охрана труда;
· социальная защищенность работников;
· социально-психологический климат коллектива;
· материальное вознаграждение труда и семейные бюджеты;
· внерабочее время и использование досуга.
Юридическим лицом признается организация, которая имеет в собственности, хозяйственном ведении или оперативном управлении обособленное имущество и отвечает по своим обязательствам этим имуществом, может от своего имени приобретать и осуществлять имущественные и личные неимущественные права, нести обязанности, быть истцом и ответчиком в суде.
Юридические лица должны иметь самостоятельный баланс или смету.
В связи с участием в образовании имущества юридического лица его учредители (участники) могут иметь обязательственные права в отношении этого юридического лица либо вещные права на его имущество.
К юридическим лицам, в отношении которых их участники имеют обязательственные права, относятся хозяйственные товарищества и общества, производственные и потребительские кооперативы.
К юридическим лицам, на имущество которых их учредители имеют право собственности или иное вещное право, относятся государственные и муниципальные унитарные предприятия, а также финансируемые собственником учреждения.
К юридическим лицам, в отношении которых их учредители (участники) не имеют имущественных прав, относятся общественные и религиозные организации (объединения), благотворительные и иные фонды, объединения юридических лиц (ассоциации и союзы).
Юридическое лицо может иметь гражданские права, соответствующие целям деятельности, предусмотренным в его учредительных документах, и нести связанные с этой деятельностью обязанности.
Коммерческие организации, за исключением унитарных предприятий и иных видов организаций, предусмотренных законом, могут иметь гражданские права и нести гражданские обязанности, необходимые для осуществления любых видов деятельности, не запрещенных законом.
Отдельными видами деятельности, перечень которых определяется законом, юридическое лицо может заниматься только на основании специального разрешения (лицензии).
Юридическое лицо может быть ограничено в правах лишь в случаях и в порядке, предусмотренных законом. Решение об ограничении прав может быть обжаловано юридическим лицом в суд.
Правоспособность юридического лица возникает в момент его создания и прекращается в момент внесения записи о его исключении из единого государственного реестра юридических лиц.
Право юридического лица осуществлять деятельность, на занятие которой необходимо получение лицензии, возникает с момента получения такой лицензии или в указанный в ней срок и прекращается по истечении срока ее действия, если иное не установлено законом или иными правовыми актами.
Юридическими лицами могут быть организации, преследующие извлечение прибыли в качестве основной цели своей деятельности (коммерческие организации) либо не имеющие извлечение прибыли в качестве такой цели и не распределяющие полученную прибыль между участниками (некоммерческие организации).
Юридические лица, являющиеся коммерческими организациями, могут создаваться в форме хозяйственных товариществ и обществ, производственных кооперативов, государственных и муниципальных унитарных предприятий.
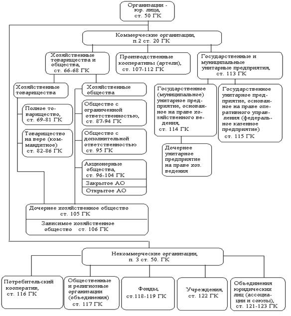
Юридические лица, являющиеся некоммерческими организациями, могут создаваться в форме потребительских кооперативов, общественных или религиозных организаций (объединений), финансируемых собственником учреждений, благотворительных и иных фондов, а также в других формах, предусмотренных законом. Организационно-правовые формы производственных организаций в соответствии с Гражданским кодексом РФ приведены на рис. 1.
Некоммерческие организации могут осуществлять предпринимательскую деятельность лишь постольку, поскольку это служит достижению целей, ради которых они созданы, и соответствующую этим целям.
Допускается создание объединений коммерческих и (или) некоммерческих организаций в форме ассоциаций и союзов.
Государственная регистрация юридических лиц
Юридическое лицо подлежит государственной регистрации в уполномоченном государственном органе в порядке, определяемом законом о государственной регистрации юридических лиц. Данные государственной регистрации включаются в единый государственный реестр юридических лиц, открытый для всеобщего ознакомления.
Отказ в государственной регистрации юридического лица допускается только в случаях, установленных законом.
Отказ в государственной регистрации юридического лица, а также уклонение от такой регистрации могут быть обжалованы в суд.
Юридическое лицо считается созданным со дня внесения соответствующей записи в единый государственный реестр юридических лиц.
Юридическое лицо действует на основании устава, либо учредительного договора и устава, либо только учредительного договора. В случаях, предусмотренных законом, юридическое лицо, не являющееся коммерческой организацией, может действовать на основании общего положения об организациях данного вида.
Учредительный договор юридического лица заключается, а устав утверждается его учредителями (участниками).
Юридическое лицо, созданное в соответствии с настоящим Кодексом одним учредителем, действует на основании устава, утвержденного этим учредителем.
В учредительных документах юридического лица должны определяться наименование юридического лица, место его нахождения, порядок управления деятельностью юридического лица, а также содержаться другие сведения, предусмотренные законом для юридических лиц соответствующего вида. В учредительных документах некоммерческих организаций и унитарных предприятий, а в предусмотренных законом случаях и других коммерческих организаций должны быть определены предмет и цели деятельности юридического лица. Предмет и определенные цели деятельности коммерческой организации могут быть предусмотрены учредительными документами и в случаях, когда по закону это не является обязательным.
В учредительном договоре учредители обязуются создать юридическое лицо, определяют порядок совместной деятельности по его созданию, условия передачи ему своего имущества и участия в его деятельности. Договором определяются также условия и порядок распределения между участниками прибыли и убытков, управления деятельностью юридического лица, выхода учредителей (участников) из его состава.
Изменения учредительных документов приобретают силу для третьих лиц с момента их государственной регистрации, а в случаях, установленных законом, - с момента уведомления органа, осуществляющего государственную регистрацию, о таких изменениях. Однако юридические лица и их учредители (участники) не вправе ссылаться на отсутствие регистрации таких изменений в отношениях с третьими лицами, действовавшими с учетом этих изменений.
Юридическое лицо приобретает гражданские права и принимает на себя гражданские обязанности через свои органы, действующие в соответствии с законом, иными правовыми актами и учредительными документами.
Порядок назначения или избрания органов юридического лица определяется законом и учредительными документами.
В предусмотренных законом случаях юридическое лицо может приобретать гражданские права и принимать на себя гражданские обязанности через своих участников.
Лицо, которое в силу закона или учредительных документов юридического лица выступает от его имени, должно действовать в интересах представляемого им юридического лица добросовестно и разумно. Оно обязано по требованию учредителей (участников) юридического лица, если иное не предусмотрено законом или договором, возместить убытки, причиненные им юридическому лицу.
Юридическое лицо имеет свое наименование, содержащее указание на его организационно-правовую форму. Наименования некоммерческих организаций, а в предусмотренных законом случаях наименования коммерческих организаций должны содержать указание на характер деятельности юридического лица.
Место нахождения юридического лица определяется местом его государственной регистрации. Государственная регистрация юридического лица осуществляется по месту нахождения его постоянно действующего исполнительного органа, а в случае отсутствия постоянно действующего исполнительного органа - иного органа или лица, имеющих право действовать от имени юридического лица без доверенности.
Наименование и место нахождения юридического лица указываются в его учредительных документах.
Юридическое лицо, являющееся коммерческой организацией, должно иметь фирменное наименование.
Юридическое лицо, фирменное наименование которого зарегистрировано в установленном порядке, имеет исключительное право его использования.
Лицо, неправомерно использующее чужое зарегистрированное фирменное наименование, по требованию обладателя права на фирменное наименование обязано прекратить его использование и возместить причиненные убытки.
Порядок регистрации и использования фирменных наименований определяется законом и иными правовыми актами в соответствии с настоящим Кодексом.
Представительством является обособленное подразделение юридического лица, расположенное вне места его нахождения, которое представляет интересы юридического лица и осуществляет их защиту.
Филиалом является обособленное подразделение юридического лица, расположенное вне места его нахождения и осуществляющее все его функции или их часть, в том числе функции представительства.
Представительства и филиалы не являются юридическими лицами. Они наделяются имуществом создавшим их юридическим лицом и действуют на основании утвержденных им положений.
Руководители представительств и филиалов назначаются юридическим лицом и действуют на основании его доверенности.
Представительства и филиалы должны быть указаны в учредительных документах создавшего их юридического лица.
Юридические лица, кроме финансируемых собственником учреждений, отвечают по своим обязательствам всем принадлежащим им имуществом.
Учредитель (участник) юридического лица или собственник его имущества не отвечают по обязательствам юридического лица, а юридическое лицо не отвечает по обязательствам учредителя (участника) или собственника, за исключением случаев, предусмотренных настоящим ГК либо учредительными документами юридического лица.
Если несостоятельность (банкротство) юридического лица вызвана учредителями (участниками), собственником имущества юридического лица или другими лицами, которые имеют право давать обязательные для этого юридического лица указания либо иным образом имеют возможность определять его действия, на таких лиц в случае недостаточности имущества юридического лица может быть возложена субсидиарная ответственность по его обязательствам.
Реорганизация юридического лица (слияние, присоединение, разделение, выделение, преобразование) может быть осуществлена по решению его учредителей (участников) либо органа юридического лица, уполномоченного на то учредительными документами.
В случаях, установленных законом, реорганизация юридического лица в форме его разделения или выделения из его состава одного или нескольких юридических лиц осуществляется по решению уполномоченных государственных органов или по решению суда.
Если учредители (участники) юридического лица, уполномоченный ими орган или орган юридического лица, уполномоченный на реорганизацию его учредительными документами, не осуществят реорганизацию юридического лица в срок, определенный в решении уполномоченного государственного органа, суд по иску указанного государственного органа назначает внешнего управляющего юридическим лицом и поручает ему осуществить реорганизацию этого юридического лица. С момента назначения внешнего управляющего к нему переходят полномочия по управлению делами юридического лица. Внешний управляющий выступает от имени юридического лица в суде, составляет разделительный баланс и передает его на рассмотрение суда вместе с учредительными документами возникающих в результате реорганизации юридических лиц. Утверждение судом указанных документов является основанием для государственной регистрации вновь возникающих юридических лиц.
В случаях, установленных законом, реорганизация юридических лиц в форме слияния, присоединения или преобразования может быть осуществлена лишь с согласия уполномоченных государственных органов.
Юридическое лицо считается реорганизованным, за исключением случаев реорганизации в форме присоединения, с момента государственной регистрации вновь возникших юридических лиц.
При реорганизации юридического лица в форме присоединения к нему другого юридического лица первое из них считается реорганизованным с момента внесения в единый государственный реестр юридических лиц записи о прекращении деятельности присоединенного юридического лица.
При слиянии юридических лиц права и обязанности каждого из них переходят к вновь возникшему юридическому лицу в соответствии с передаточным актом.
При присоединении юридического лица к другому юридическому лицу к последнему переходят права и обязанности присоединенного юридического лица в соответствии с передаточным актом.
При разделении юридического лица его права и обязанности переходят к вновь возникшим юридическим лицам в соответствии с разделительным балансом.
При выделении из состава юридического лица одного или нескольких юридических лиц к каждому из них переходят права и обязанности реорганизованного юридического лица в соответствии с разделительным балансом.
При преобразовании юридического лица одного вида в юридическое лицо другого вида (изменении организационно-правовой формы) к вновь возникшему юридическому лицу переходят права и обязанности реорганизованного юридического лица в соответствии с передаточным актом.
Передаточный акт и разделительный баланс должны содержать положения о правопреемстве по всем обязательствам реорганизованного юридического лица в отношении всех его кредиторов и должников, включая и обязательства, оспариваемые сторонами.
Передаточный акт и разделительный баланс утверждаются учредителями (участниками) юридического лица или органом, принявшим решение о реорганизации юридических лиц, и представляются вместе с учредительными документами для государственной регистрации вновь возникших юридических лиц или внесения изменений в учредительные документы существующих юридических лиц.
Непредставление вместе с учредительными документами соответственно передаточного акта или разделительного баланса, а также отсутствие в них положений о правопреемстве по обязательствам реорганизованного юридического лица влекут отказ в государственной регистрации вновь возникших юридических лиц.
Учредители (участники) юридического лица или орган, принявшие решение о реорганизации юридического лица, обязаны письменно уведомить об этом кредиторов реорганизуемого юридического лица.
Кредитор реорганизуемого юридического лица вправе потребовать прекращения или досрочного исполнения обязательства, должником по которому является это юридическое лицо, и возмещения убытков.
Если разделительный баланс не дает возможности определить правопреемника реорганизованного юридического лица, вновь возникшие юридические лица несут солидарную ответственность по обязательствам реорганизованного юридического лица перед его кредиторами.

Рис. 1. Классификация организационно-правовых форм
1.2. Коммерческие организации
Хозяйственные товарищества и общества
Хозяйственными товариществами и обществами признаются коммерческие организации с разделенным на доли (вклады) учредителей (участников) уставным (складочным) капиталом. Имущество, созданное за счет вкладов учредителей (участников), а также произведенное и приобретенное хозяйственным товариществом или обществом в процессе его деятельности, принадлежит ему на праве собственности.
В случаях, предусмотренных настоящим Кодексом, хозяйственное общество может быть создано одним лицом, которое становится его единственным участником.
Хозяйственные товарищества могут создаваться в форме полного товарищества и товарищества на вере (коммандитного товарищества).
Хозяйственные общества могут создаваться в форме акционерного общества, общества с ограниченной или с дополнительной ответственностью.
Участниками полных товариществ и полными товарищами в товариществах на вере могут быть индивидуальные предприниматели и (или) коммерческие организации.
Участниками хозяйственных обществ и вкладчиками в товариществах на вере могут быть граждане и юридические лица.
Государственные органы и органы местного самоуправления не вправе выступать участниками хозяйственных обществ и вкладчиками в товариществах на вере, если иное не установлено законом.
Финансируемые собственниками учреждения могут быть участниками хозяйственных обществ и вкладчиками в товариществах с разрешения собственника, если иное не установлено законом.
Законом может быть запрещено или ограничено участие отдельных категорий граждан в хозяйственных товариществах и обществах, за исключением открытых акционерных обществ.
Хозяйственные товарищества и общества могут быть учредителями (участниками) других хозяйственных товариществ и обществ, за исключением случаев, предусмотренных настоящим Кодексом и другими законами.
Вкладом в имущество хозяйственного товарищества или общества могут быть деньги, ценные бумаги, другие вещи или имущественные права либо иные права, имеющие денежную оценку.
Денежная оценка вклада участника хозяйственного общества производится по соглашению между учредителями (участниками) общества и в случаях, предусмотренных законом, подлежит независимой экспертной проверке.
Хозяйственные товарищества, а также общества с ограниченной и дополнительной ответственностью не вправе выпускать акции.
Участники хозяйственного товарищества или общества вправе:
· участвовать в управлении делами товарищества или общества, за исключением случаев, предусмотренных пунктом 2 статьи 84 ГК и законом об акционерных обществах;
· получать информацию о деятельности товарищества или общества и знакомиться с его бухгалтерскими книгами и иной документацией в установленном учредительными документами порядке;
· принимать участие в распределении прибыли;
· получать в случае ликвидации товарищества или общества часть имущества, оставшегося после расчетов с кредиторами, или его стоимость.
Участники хозяйственного товарищества или общества могут иметь и другие права, предусмотренные настоящим Кодексом, законами о хозяйственных обществах, учредительными документами товарищества или общества.
Участники хозяйственного товарищества или общества обязаны:
· вносить вклады в порядке, размерах, способами и в сроки, которые предусмотрены учредительными документами;
· не разглашать конфиденциальную информацию о деятельности товарищества или общества.
Участники хозяйственного товарищества или общества могут нести и другие обязанности, предусмотренные его учредительными документами.
Хозяйственные товарищества и общества одного вида могут преобразовываться в хозяйственные товарищества и общества другого вида или в производственные кооперативы по решению общего собрания участников в порядке, установленном настоящим Кодексом.
При преобразовании товарищества в общество каждый полный товарищ, ставший участником (акционером) общества, в течение двух лет несет субсидиарную ответственность всем своим имуществом по обязательствам, перешедшим к обществу от товарищества. Отчуждение бывшим товарищем принадлежавших ему долей (акций) не освобождает его от такой ответственности. Правила, изложенные в настоящем пункте, соответственно применяются при преобразовании товарищества в производственный кооператив.
Полное товарищество
Полным признается товарищество, участники которого (полные товарищи) в соответствии с заключенным между ними договором занимаются предпринимательской деятельностью от имени товарищества и несут ответственность по его обязательствам принадлежащим им имуществом.
Лицо может быть участником только одного полного товарищества.
Фирменное наименование полного товарищества должно содержать либо имена (наименования) всех его участников и слова "полное товарищество", либо имя (наименование) одного или нескольких участников с добавлением слов "и компания" и слова "полное товарищество ".
Полное товарищество создается и действует на основании учредительного договора. Учредительный договор подписывается всеми его участниками.
Учредительный договор полного товарищества должен содержать помимо сведений, указанных в пункте 2 статьи 52 ГК, условия о размере и составе складочного капитала товарищества; о размере и порядке изменения долей каждого из участников в складочном капитале; о размере, составе, сроках и порядке внесения ими вкладов; об ответственности участников за нарушение обязанностей по внесению вкладов.
Управление деятельностью полного товарищества осуществляется по общему согласию всех участников. Учредительным договором товарищества могут быть предусмотрены случаи, когда решение принимается большинством голосов участников.
Каждый участник полного товарищества имеет один голос, если учредительным договором не предусмотрен иной порядок определения количества голосов его участников.
Каждый участник товарищества независимо от того, уполномочен ли он вести дела товарищества, вправе знакомиться со всей документацией по ведению дел. Отказ от этого права или его ограничение, в том числе по соглашению участников товарищества, ничтожны.
Каждый участник полного товарищества вправе действовать от имени товарищества, если учредительным договором не установлено, что все его участники ведут дела совместно, либо ведение дел поручено отдельным участникам.
При совместном ведении дел товарищества его участниками для совершения каждой сделки требуется согласие всех участников товарищества.
Если ведение дел товарищества поручается его участниками одному или некоторым из них, остальные участники для совершения сделок от имени товарищества должны иметь доверенность от участника (участников), на которого возложено ведение дел товарищества.
В отношениях с третьими лицами товарищество не вправе ссылаться на положения учредительного договора, ограничивающие полномочия участников товарищества, за исключением случаев, когда товарищество докажет, что третье лицо в момент совершения сделки знало или заведомо должно было знать об отсутствии у участника товарищества права действовать от имени товарищества.
Полномочия на ведение дел товарищества, предоставленные одному или нескольким участникам, могут быть прекращены судом по требованию одного или нескольких других участников товарищества при наличии к тому серьезных оснований, в частности вследствие грубого нарушения уполномоченным лицом (лицами) своих обязанностей или обнаружившейся неспособности его к разумному ведению дел. На основании судебного решения в учредительный договор товарищества вносятся необходимые изменения.
Участник полного товарищества обязан участвовать в его деятельности в соответствии с условиями учредительного договора.
Участник полного товарищества обязан внести не менее половины своего вклада в складочный капитал товарищества к моменту его регистрации. Остальная часть должна быть внесена участником в сроки, установленные учредительным договором. При невыполнении указанной обязанности участник обязан уплатить товариществу десять процентов годовых с невнесенной части вклада и возместить причиненные убытки, если иные последствия не установлены учредительным договором.
Участник полного товарищества не вправе без согласия остальных участников совершать от своего имени в своих интересах или в интересах третьих лиц сделки, однородные с теми, которые составляют предмет деятельности товарищества.
При нарушении этого правила товарищество вправе по своему выбору потребовать от такого участника возмещения причиненных товариществу убытков либо передачи товариществу всей приобретенной по таким сделкам выгоды.
Прибыль и убытки полного товарищества распределяются между его участниками пропорционально их долям в складочном капитале, если иное не предусмотрено учредительным договором или иным соглашением участников. Не допускается соглашение об устранении кого-либо из участников товарищества от участия в прибыли или в убытках.
Если вследствие понесенных товариществом убытков стоимость его чистых активов станет меньше размера его складочного капитала, полученная товариществом прибыль не распределяется между участниками до тех пор, пока стоимость чистых активов не превысит размер складочного капитала.
Участники полного товарищества солидарно несут субсидиарную ответственность своим имуществом по обязательствам товарищества.
Участник полного товарищества, не являющийся его учредителем, отвечает наравне с другими участниками по обязательствам, возникшим до его вступления в товарищество.
Участник, выбывший из товарищества, отвечает по обязательствам товарищества, возникшим до момента его выбытия, наравне с оставшимися участниками в течение двух лет со дня утверждения отчета о деятельности товарищества за год, в котором он выбыл из товарищества.
Соглашение участников товарищества об ограничении или устранении ответственности, предусмотренной в настоящей статье, ничтожно.
В случаях выхода или смерти кого-либо из участников полного товарищества, признания одного из них безвестно отсутствующим, недееспособным, или ограниченно дееспособным, либо несостоятельным (банкротом), открытия в отношении одного из участников реорганизационных процедур по решению суда, ликвидации участвующего в товариществе юридического лица либо обращения кредитором одного из участников взыскания на часть имущества, соответствующую его доле в складочном капитале, товарищество может продолжить свою деятельность, если это предусмотрено учредительным договором товарищества или соглашением остающихся участников.
Участники полного товарищества вправе требовать в судебном порядке исключения кого-либо из участников из товарищества по единогласному решению остающихся участников и при наличии к тому серьезных оснований, в частности вследствие грубого нарушения этим участником своих обязанностей или обнаружившейся неспособности его к разумному ведению дел.
Участник полного товарищества вправе выйти из него, заявив об отказе от участия в товариществе.
Отказ от участия в полном товариществе, учрежденном без указания срока, должен быть заявлен участником не менее чем за шесть месяцев до фактического выхода из товарищества. Досрочный отказ от участия в полном товариществе, учрежденном на определенный срок, допускается лишь по уважительной причине.
Соглашение между участниками товарищества об отказе от права выйти из товарищества ничтожно.
Участнику, выбывшему из полного товарищества, выплачивается стоимость части имущества товарищества, соответствующей доле этого участника в складочном капитале, если иное не предусмотрено учредительным договором. По соглашению выбывающего участника с остающимися участниками выплата стоимости имущества может быть заменена выдачей имущества в натуре.
|
Из за большого объема этот материал размещен на нескольких страницах:
1 2 3 4 5 6 7 8 9 10 11 12 13 14 15 16 |



