'2x1=2. Дробь ^ примет вид -^. Затем 12:3=4, 4x3=12,
4x2 = 8. Дробь д - примет вид -^-. Следовательно, дроби ^-, -^ и - у
25 8 примут соответственно вид -™-, - гя - и - г*-, т. е. окажутся выражен-
ными в одинаковых долях.
Проводятся упражнения, которые позволяют сформировать умения приведения дробей к общему наименьшему знаменателю.
с о о
Например, надо выразить в одинаковых долях дроби ттг и •*•• тт.
I 3 I- Т
Чтобы учащиеся не забывали то частное, которое получается от деления большего знаменателя на меньший, целесообразно его
с
записывать над дробью с меньшим знаменателем. Например, - т^- и
2х,д,51
-у, тт и ТВ"' Можно также предложить сравнить дроби -^ и т^.
4227
5 И ТВ"' 3 и? и Т- д'
Затем рассматриваются такие дроби, у которых больший знаменатель не делится на меньший и, следовательно, не является
3 5 общим для данных дробей. Например, •§• и ^-. Знаменатель 8 не
делится на 6. В этом случае больший знаменатель 8 будем последовательно умножать на числа числового ряда, начиная с 2, до тех пор, пока не получим число, которое делится без остатка на оба знаменателя 8 и 6. Чтобы дроби остались равными данным, числители нужно соответственно умножить на те же числа. На-
3 5 пример, чтобы дроби •§• и -^ были выражены в одинаковых долях,
больший знаменатель 8 умножаем на 2(8x2 = 1не делится на 6, значит, 8 умножаем на следующее число 3(8x3=2делится на 6 и на 8, значит, 24 — общий знаменатель для данных дробей. Но чтобы дроби остались равными, числители их надо увеличить во столько же раз, во сколько раз увеличили знаменатели, 8 увеличили в 3 раза, значит, и числитель этой дроби 3
увеличим в 3 раза.
3 9
Дробь - д примет вид щ. Знаменатель 6 увеличили в 4 раза.
Дроби - д и - г - примут соответственно вид ^т и ~^-
Таким образом, подводим учащихся к общему выводу (правил знакомим их с алгоритмом выражения дробей в одинаковых дс
3 5 Например, даны две дроби т и у.
ч
1. Находим наименьший общий знаменатель: 7x2=14, 7x3=1..
7x4=делится на 4 и на— наименьший общий знам<
, а 3 5 натель для дробей т и у-
2. Находим дополнительные множители: 28:4=7,
\7
28:7=4.
= \4
3. Запишем их над дробями: —г - и -=-
4. Числители дробей умножим на дополнительные множителц|
3x7=21, 5x4=20.
„ ,о
Получим дроби с одинаковыми знаменателями ^г и ^тг. Значит,!
_. 3 5 дроби х и 7 мы привели к общему наименьшему знаменателю.
Опыт показывает, что ознакомление учащихся с преобразование» дробей целесообразно проводить перед изучением различных ариф метических действий с дробями. Например, сокращение дробей ил», замену неправильной дроби целым или смешанным числом целесооб-^ разно дать перед изучением сложения и вычитания дробей с одина-| ковыми знаменателями, так как в полученной сумме или разноси придется делать либо одно, либо оба преобразования.
и 1,,15, 7 • 12 ,
Например, т+т=т=7; 7+7=7=\7; ^+^-^-=1
Приведение дробей к наименьшему общему знаменател, лучше изучать с учащимися перед темой «Сложение и вычитание! дробей с разными знаменателями», а замену смешанного числа! неправильной дробью — перед темой «Умножение и деление дро-' бей на целое число».
Сложение и вычитание обыкновенных дробей
1. Сложение и вычитание дробей с одинаковыми знаменателями.
Исследование, проведенное 1, свидетельствует о целесообразности при изучении действий сложения и вычитания обыкновенных дробей с одинаковыми знаменателями использовать аналогию со сложением и вычитанием уже известных учащимся
Алышева арифметических действий с обыкновенными дробями учащимися вспомогательной школы //Дефектология.—1992.— № 4.— С. 25-27.
308
исел, полученных в результате измерения величин, и проводить ручение действий дедуктивным методом, т. е. «от общего к частому».
Сначала повторяется сложение и вычитание чисел с наимено-»аниями мер стоимости, длины. Например, 8 р. 20 к. ± 4 р. 15 к.
Лри выполнении устного сложения и вычитания нужно склады-
1ать (вычитать) сначала рубли, а потом копейки.
3 м 45 см ± 2 м 24 см — сначала складываются (вычитаются) метры, а потом сантиметры.
; При сложении и вычитании дробей рассматривается общий случай: выполнение этих действий со смешанными дробями (знаменатели одинаковые): 3-?- ± 1-г. В этом случае надо: «Сложить (вычесть) целые числа, затем числители, а знаменатель остается тем же». Это общее правило распространяется на все случаи сложения и вычитания дробей. Постепенно вводятся частные случаи: сложение смешанного числа с дробью 1у + -=•= \-= \, потом
( 1 1\ ^ '
смешанного числа с целым \-= + 4 = 5у. После этого рассматриваются более трудные случаи вычитания: 1) из смешанного числа дроби: 4д~п=4д-; 2) из смешанного числа целого: 4д—2=2-д-.
После усвоения этих достаточно простых случаев вычитания учащиеся знакомятся с более трудными случаями, когда требуется преобразование уменьшаемого: вычитание из одной целой единицы или из нескольких единиц, например:
\ О О О 2, л О <-)Э О п~
1~Ь-~Ь~Ь-~5' 6~~5~2Ь~'5-2'5-
В первом случае единицу нужно представить в виде дроби со знаменателем, равным знаменателю вычитаемого. Во втором случае из целого числа берем единицу и также ее записываем в виде неправильной дроби со знаменателем вычитаемого, получаем в уменьшаемом смешанное число. Вычитание выполняется по общему правилу.
Наконец рассматривается наиболее трудный случай вычитания: из смешанного числа, причем числитель дробной части меньше
1 3
числителя в вычитаемом: 5^—^. В этом случае надо уменьшаемое изменить так, чтобы можно было применить общее правило, т. е. в уменьшаемом занять из целого одну единицу и раздробить
309
.5 1 6
в пятые доли, получим 1=-г, да еще - г, получится - г, прим<-|>
,&
примет такой вид: 4^~^, к его решению уже можно применим
общее правило.
Использование дедуктивного метода обучения сложению и вычп танию дробей будет способствовать развитию у учащихся умении обобщать, сравнивать, дифференцировать, включать отдельные случаи вычислений в общую систему знаний о действиях с дробями.
2. Сложение и вычитание дробей и смешанных чисел с разными знаменателями*.
а) больший знаменатель является НОЗ:
о?+|, Н; 2) 1|+', 4-ш' 3> 4+4 4-4
б) больший знаменатель не является НОЗ:
п г.3 , 7 ,3 2. 04^2.. 1 гЗ 92 1} Б-+7' 8-9' 2) %+8' 15—5' 3) %+%' 5Т-23'
Выполнение сложения и вычитания дробей, имеющих разные з менатели, представляет значительные трудности для умственно - сталых школьников, так как, прежде чем выполнять действия, требуется привести дроби к наименьшему знаменателю, в связи с чем внимание учащихся переключается на дополнительную операцию (удлиняется запись выражения — требуется несколько раз переписывать выражение, ставя знак равенства). Это требует от учащихся сосредоточенности внимания. А внимание учащихся с нарушением интеллекта характеризуется, как известно, отвлекаемостью, рассеянностью. Это нередко приводит к потере целых, знака равенства, а то и компонента. Чтобы избежать подобных ошибок, можно на первых порах предложить учащимся запись выражения проговорить устно, а именно сказать, какие операции надо выполнить и в какой последовательности: 1) привести дроби к наименьшему знаменателю; 2) выполнить действие; 3) произвести, если нужно, преобразование в ответе.
При выполнении сложения дроби со смешанным числом надо обратить внимание учащихся на значение суммы и каждого слагаемого, сравнив со свойством суммы целых чисел.
То же самое необходимо сделать и при знакомстве с вычитанием дробей, подчеркнув общность свойств разности целых и дробных чисел.
Для этого целесообразно решить и сравнить пары примеров на нахождение суммы и разности целых и дробных чисел: 310
396+127
4,3 . 3 , -1 5 + 5' 1ТО+5ТО
Вывод: сумма больше каждого из слагаемых, разность меньше или равна уменьшаемому.
Сложение и вычитание дробей необходимо связать с жизненно-практическими заданиями и упражнениями, которые могут быть мыполнены и устно. Например:
«На отделку блузки отрезали -^ м белой и -^ м синей тесьмы.
Сколько тесьмы пошло на отделку блузки?»
ъ - - о -3
«От рейки длиной 2 м отпилили один кусок длиной -% м и
„ 1 ,, - ->
второй — длиной 4" м. Какова длина оставшейся рейки?»
Отметим, что в этих задачах даны числа, полученные от измерения величин. Это позволяет закрепить в памяти учащихся наиболее употребительные в повседневной жизни соотношения: •к - м — это 50 см, -^ м — это 25 см, -? м — это 20 см, -^ ч — это 15 мин и т. д.
В этот период следует решать с учащимися примеры на нахождение неизвестных компонентов сложения и вычитания, сопоставляя нахождение неизвестных компонентов сложения и вычитания дробных и целых чисел.
Учащиеся должны убедиться, что переместительный и сочетательный закон арифметических действий над целыми числами распространяются и на действия над дробными числами. Так же как и при изучении действий с целыми числами, учащиеся получают
лишь практическое знакомство с законами — их использование
3 для рационализации вычислений. Например, решить пример -^+2
удобнее, переставив местами слагаемые, т. е. использовав переместительный закон сложения.
Решение примеров с предварительным обдумыванием порядка выполнения действий развивает сообразительность, смекалку, предупреждает шаблонность и имеет большое корригирующее значение.
УМНОЖЕНИЕ И ДЕЛЕНИЕ ОБЫКНОВЕННЫХ ДРОБЕЙ*
В школе VIII вида рассматривается только умножение и деление дробей и смешанных чисел на целое число. Изучение этих
311
действий, так же как и изучение сложения и вычитания, дает параллельно.
Для удобства изложения мы сначала рассмотрим методику зь
комства с умножением дроби на целое число, а затем с деление
дроби на целое число. •
Прежде чем знакомить учащихся с умножением дроби на цел^ число, необходимо повторить умножение целых чисел.
При рассмотрении умножения дроби на целое число необхоД| мо соблюдать определенную последовательность разных случае] которая определяется степенью их трудности.
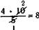
1.Умножение дроби на целое число.
2. Умножение смешанного числа на целое.
Подготовительными заданиями к объяснению умножения дрой
на целое число являются задания на умножение целых чисел | последующей заменой действия умножения действием сложений например: заменить умножение 7-3=21 сложением 7+7+7=21| заменить действие умножения (первый множитель — дробь второй множитель — целое число) действием сложен» д-хЗ=д-+д-4-д-=-д. При этом обращается внимание на числитель знаменатель произведения и первого множителя. С помощью во просов: «Изменился ли знаменатель дроби при умножении? Чт| произошло с числителем дроби?» — учащиеся приходят к выводу^ что числитель увеличился в 3 раза, а знаменатель не изменился.. Для вывода правила умножения дроби на целое число недостаточно ограничиться рассмотрением только одного примера, нужно, рассмотреть еще несколько примеров:
2 7 * -
2,2,2 2+2+2 =++7=~7~
2 • 3 6
- ~-7;
3,3
3 • 2 6 3 ~
Правильность ответов в этих примерах необходимо подтвердить демонстрацией рисунков.
В рассмотренных примерах внимание учащихся надо обратить на то, что в числителе сумму одинаковых слагаемых (трех двоек) можно заменить произведением (2 • 3). Это позволит подвести их
л » 2 о 2 • 3 6
к более сокращенной записи: у 3= — ^ — =у, а следовательно, и к
выводу правила. Кроме того, при умножении дроби на целое число получается произведение, большее первого множителя. После усвоения правила умножения дроби на целое число необходимо показать учащимся, что до умножения числителя на целое 312
Исло надо сопоставить эти числа со знаменателем и, если у них Ьть общий делитель, разделить на него и только потом произвес-умножение. Такой прием предварительного сокращения чисел,
![]()
10 =
Е
писанных в числителе и знаменателе, облегчает вычисления, пример: - г-10=—?—=-г-=8. Это же действие выполним с пред-рительным сокращением числителя и знаменателя на общий |делитель:
I Дети с интеллектуальным недоразвитием редко прибегают к | рациональным приемам вычисления, используя, как правило, только те приемы, которые стали стереотипными. Поэтому учителю надо иногда просто требовать, чтобы учащиеся использовали рациональные способы действий.
Перед объяснением умножения смешанного числа на целое необходимо повторить умножение чисел, полученных при измерении величин, вида 15 р. 32 к.-3. Сначала следует дать подробную запись при решении этого примера: 1 р. = 100 к.
1532 к.
15 р. = 100 к.-15=1500 к. 1500 к.+32 к. = 1532 к.
4596 к.
Однако тут же надо показать, что некоторые примеры легче решать в уме, умножая отдельно число рублей и копеек.
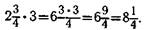
При умножении смешанного числа на целое обращается внимание на то, что смешанное число надо выразить (записать) в виде неправильной дроби, а затем выполнять умножение по правилу умножения дроби на целое число, например:
![]()
-4 _ 35 „
(Сопоставить с умножением 15 р. 32 к. на целое число 3.)
Недостатком этого способа вычислений является его громоздкость: большие числа, которые получаются в числителе, затрудняют вычисления. Однако у этого способа есть и преимущество: в дальнейшем, когда учащиеся будут знакомиться с делением смешанного числа на целое, перед выполнением действия им потребуется выразить смешанное число неправильной дробью.
313
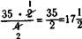
Наиболее сильным учащимся можно показать и второй сп| умножения смешанного числа на целое (без записи смешан| числа неправильной дробью), например:
![]()
(Сопоставить с умножением чисел, полученных от измерения личин, устно: 15 р. 32 к. -3=45 р. 96 к.)
В этом случае умножается целое число на целое, получен», произведение записывается целым числом, затем умножаете!, дробная часть числа по правилу умножения дроби на целое число,.
При изучении темы «Умножение дроби на целое число» следу*! ет решать примеры и задачи на увеличение дроби в несколько!
2 раз. Необходимо показать учащимся, что пример у 3 можно про*
2 2 I
читать по-разному: у умножить на 3, у увеличить в 3 раза, найти!
22 I
произведение у и 3; множители у и 3, найти произведение. После!
2 о 6 '
решения примера уЗ=у следует сравнить произведение и пер-
6 ' 2 ~ 2 6 0
выи множитель: у больше у в 3 раза, •=• меньше у в 3 раза.
Надо решать примеры и с неизвестным числителем или знаменателем в первом множителе вида: -~--2=-г, т=г-2=-я-.
Можно предложить и более трудные примеры вида:
. а, 4 1 ,-, 3 П г-, 2
1-а-4=Ъи'а=Г> П'П=5
2. Дробь тг увеличить в 3 раза.
Деление дроби на целое число дается в следующей последовательности:
1.Деление дроби на целое число без предварительного сокра
щения.
2. Деление смешанного числа на целое число без предваритель
ного сокращения.
3. Деление с предварительным сокращением.
Учащимся необходимо показать и такие случаи деления дроби или смешанного числа на целое, когда предварительное сокращение облегчает процесс выполнения действия. Например:
4Ж2 315Ш5
5-2=7^-=5' 34-9 = Т":9 = 4^=Т2-
1 3
314
На основе наблюдений и конкретной деятельности учащиеся
н'мнодятся к выводу: при делении дроби на целое число доли
1.ПЮВЯТСЯ мельче, число же долей не изменяется. Например,
| гни взять половину яблока и разделить эту половину на 2 рав-
ц. к' части (-я - : 2 ] , то получится по -т яблока. Записываем: -к\2=-^.
Каждый ученик должен самостоятельно половину круга (полоски, Отрезки) разделить на 2 равные части и записать результат деле-
ния.
Далее рассматривается деление, например, -^ на 3 равные
2 2
Части: -^:3=к - Учащиеся видят, что получились при делении девятые доли, а число их не изменилось. Сравниваются числитель и знаменатель частного и делимого: знаменатель увеличился в 3 раза, а числитель не изменился. Отсюда можно сделать вывод: чтобы разделить дробь на целое число, нужно знаменатель умножить на это число, а числитель оставить тот же. На основе правила решается пример:
Затем на предметах уча-
щиеся должны еще раз показать процесс деления и убедиться, что пример решен верно.
Деление дроби на целое число необходимо сопоставить с умножением дроби на целое число, решая взаимно обратные примеры вида
При этом следует сравнить
произведение и частное соответственно с первым множителем и делимым. Это надо для того, чтобы учащихся подвести к обобщению: при умножении дроби на целое число произведение во столько раз больше первого множителя, сколько единиц содержится во втором множителе. Аналогичный вывод нужно сделать и для частного.
Деление смешанного числа на целое дается по аналогии со вторым способом умножения смешанного числа на целое, например:
Смешанное число обращается в непра-
вильную дробь и деление производится по правилу деления дроби на целое число.
Наиболее сильных учащихся нужно познакомить и с особыми случаями деления. Если целая часть смешанного числа нацело делится на делитель, то смешанное число не обращается в непра-
315
вильную дробь, например: 2-^'.2=\-^. Нужно делить сначала
часть, результат записать в частное, затем делить дробную част
2 22
правилу деления дроби на целое число: 12^:3=47^=4-^. В
случае деление смешанного числа нужно показать на предметиц пособиях. После изучения всех четырех действий с обыкновений ми дробями предлагаются сложные примеры со скобками и порядок действий.
НАХОЖДЕНИЕ ОДНОЙ И НЕСКОЛЬКИХ ЧАСТЕЙ ОТ ЧИСЛА
Данная тема изучается сразу же после изучения темы чение дроби».
Объяснение нового понятия следует начать с решения практ! ческой задачи, например: «От доски длиной 80 см отпилили -^ част Какой длины доску отпилили?» Эту задачу нужно показать,-,, щимся на предметных пособиях. Взять планку длиной 80 ск
проверить ее длину с помощью метровой линейки, а затем спре
I сить, как найти -т часть этой планки. Учащиеся знают, что план
нужно разделить на 4 равные части и отпилить одну четверту! часть. Отпиленный кусок планки измеряется. Его длина оказыв* ется равной 20 см. «Как получили число 20 см?» — спрашивав учитель. Ответ на этот вопрос вызывает у некоторых учащихс затруднение, поэтому надо показать, что раз планку делили на равные части, то, следовательно, делили 80 см на 4 равные часп Запишем решение этой задачи: -% от 80 см составляет 80 см:4-=20 см.
Нахождение нескольких частей от числа в школе VIII шадв производится с помощью двух арифметических действий. В первом действии определяется одна часть от числа, а во вто-
2
ром — несколько частей. Например, надо найти -5- от 15. Находим
1 21
•д - от 15, 15:3=5; -? больше -о - в 2 раза, поэтому 5 нужно умножить на 2. Находим •*• от 15, 5-2 = 10.
3 от 15 15:3=5; | от=10.
Затем запись свертывается: 15:3-2=10. Далее решаются задачи на нахождение нескольких частей от числа.
316
НАХОЖДЕНИЕ ЧИСЛА ПО ОДНОЙ ЕГО ЧАСТИ*
|Работу над данной темой следует связать с задачами чисто
] I
|ктического содержания, например: «Известно, что ^ р. со-
|вляет 50 к. Чему равно все число? (Сколько копеек в целом бле?)» Учащиеся знают, что целый рубль — это 100 к. I Если это известно, то зная, чему равна его •*• часть, они опре-1лят неизвестное число, •*• часть рубля, т. е. 50 к., умножаем на! (знаменатель дроби).
Таким образом рассматриваем решение еще ряда задач, связан-йх с определенным жизненным опытом и наблюдениями учащих-К: «-т - м составляет 25 см. Сколько сантиметров в 1 м?»
Решение. 25 см-4= 100 см.
«На платье израсходовали 3 м материи, что составляет - з - всей пленной материи. Сколько материи купили?» Решение. 3 мхЗ=9 м — это вся купленная материя. Теперь надо убедиться, что -^ от 9 м составляет 3 м, т, е. выполнить проверку, - д - от 9 м мы находить умеем. Нужно 9 м:3=3 м. 3 м — это - т часть всей купленной материи. Значит, задача решена верно.
Когда учащиеся научатся решать задачи на нахождение числа по одной части, необходимо сопоставить решение этих задач с уже известными, т. е. с задачами на нахождение одной части от числа, выявляя сходство, различие в условии, вопросе и решении задач.
Только прием сравнительного анализа позволит отдифференцировать задачи этих двух видов и сознательно подойти к их решению. Для сопоставления эффективнее всего, как показывает опыт, предлагать задачи с одинаковой фабулой:
«В классе 16 учащихся. Девочки составляют - т - часть всех учащихся. Сколько девочек в классе?» Решение Найти -г от 16 учеников. 16 уч.:4=4 уч.
Ответ. В классе 4 девочки.
317
«В классе 4 девочки, что составляет - у часть всех учащи}! класса. Сколько всего учащихся в классе?»
Решение
4 уч. -4=16 уч.
Ответ. В классе 16 учащихся.
Вопросы и задания
1.Покажите систему изучения обыкновенных дробей.
2. Разработайте конспект урока, основной целью которого является озн|
комление с получением дроби.
3. Раскройте методику ознакомления с алгоритмами сложения и вычит|
ния обыкновенных дробей с одинаковыми знаменателями.
4. Составьте фрагмент урока по ознакомлению учащихся с сокращение»
дробей. На каком свойстве дробей основано правило сокращения дробей?
Глава 18
МЕТОДИКА ИЗУЧЕНИЯ ДЕСЯТИЧНЫХ ДРОБЕЙ И ПРОЦЕНТОВ
С десятичными дробями учащиеся школы VIII вида знакомятс* после изучения целых чисел и обыкновенных дробей.
Изучение десятичных дробей позволяет закрепить знания щихся о целых числах, лучше осознать принцип десятичной сис-| темы счисления, поместное значение цифр в числе, закрепить навыки выполнения арифметических действий, глубже осознать свойства, преобразования и действия с дробями вообще. Кром< того, это дает возможность обобщить знания учащихся о все; изученных числах.
Десятичные дроби чаще, чем обыкновенные, используются в| жизни и имеют большое практическое применение. С десятичными дробями учащиеся будут встречаться и в учебных мастерских,) и на производстве, и в быту.
Последовательность изучения десятичных дробей такова: полу-1 чение и запись десятичных дробей, преобразование, сравнение,! арифметические действия, запись чисел, полученных при измерении величин, в виде десятичной дроби и наоборот.
При изучении этой темы необходимо широко использовать на-1 глядные пособия: квадрат, разделенный на 10 горизонтальных) 318
полос и на 100 равных клеток (каждая из полос обозначает 0,1, а каждая из клеток — 0,01 часть квадрата); отрезки, разделенные на 10 равных частей: метры, разделенные на дециметры, сантиметры и миллиметры; таблица классов разрядов и десятичных долей.
ПОЛУЧЕНИЕ ДЕСЯТИЧНЫХ ДРОБЕЙ
Успех усвоения десятичных дробей во многом зависит от знания учащимися нумерации целых чисел, свойств десятичной системы счисления и десятичного соотношения мер метрической системы (длины, стоимости, массы). Все эти знания необходимо воспроизвести в памяти учащихся перед тем, как переходить к изучению десятичных дробей.
Учитывая конкретность мышления умственно отсталых учащихся, понятие о десятичной дроби целесообразнее всего сформировать, используя знания учащихся о соотношениях метрической системы единиц измерения длины. В качестве наглядного пособия используется метр, разделенный на дециметры, сантиметры и миллиметры. Учащиеся вспоминают, что в 1 м содержится 10 дм, 100 см и 1000 мм. Теперь можно установить, какую часть метра
составляет 1 дм, 1 см, 1 мм, и записать: 1 дм=-^ м, 1 см=-щу м,
1 ММ=ТШО м' 1 М=ТШО км'
Таким образом повторяется соотношение единиц измерения стоимости и устанавливается, что 1 к.=-г^я - р. После повторения соотношения единиц измерения массы учитель на доске, а уча-
щиеся в тетрадях записывают, что 1 г=1000 кг, 1 кг= ,000 г,
1127 25
1 4=-^ т, 1 1"-=-^ ц, 2 кг=ш ц, 7 м=тш км, 25 к.=ш р.
Учитель просит учащихся записать подряд без наименования все дроби, которые получили, с тем чтобы обратить внимание на знаменатели этих дробей. Учащиеся на основе наблюдений устанавливают, что у всех дробей знаменатели 10, 100, 1000, т. е. единица с одним или несколькими нулями. Учитель формулирует вывод: дробь, у которой знаменатель — единица с одним или несколькими нулями, называется десятичной дробью.
Далее учащимся предлагается записать под диктовку несколько
л „ ( \ > , дробей (^, то, ж - ТОО' ШОО' ТЗ' ТО' 20' Ш ) и объяснить, как
319
получилась каждая из дробей, а затем назвать и написать толы десятичные дроби. При этом следует подчеркнуть общность в I чении обыкновенных и десятичных дробей: при получении деся ных дробей целое (единица) делится на 10, 100, 1000 и • равных частей, т. е. на столько равных частей, сколько едмшч| в знаменателе. Например, чтобы получить дробь - г^-, надо в. ш
отрезок (единицу) и разделить его на 10 равных частей, а за км взять 7 таких частей (рис. 27).

Десятичная дробь может получаться и при измерении. Напри) мер, при измерении ленты длина ее оказалась равной 8 дм, ил»
ОЛ 8I
80 см, а это составляет - утт м, или - гщ - м. -™- и -г^ — десятичны!
дроби.
Письменная нумерация десятичных дробей тесно связана с нуме рацией целых чисел, со свойствами десятичной системы счисления Поэтому, прежде чем дать запись десятичных дробей, следует вспом нить нумерацию целых чисел, повторить поместное значение цифрь в числе. Например, в числе 111 цифра 1, стоящая на первом мест( справа, означает 1 единицу; цифра 1, стоящая на втором месте спра ва, означает 1 десяток; цифра 1, стоящая на третьем месте справа означает 1 сотню.
Таким образом, каждая цифра, стоящая левее данной, обозна^ чает единицы, которые в 10 раз больше данной.
Таким образом, выделяется главное свойство соседних разря-1 дов: единицы разряда справа в 10 раз меньше единиц разряда] находящегося от него слева. Если, например, разрядную едини! переместить слева направо, то она уменьшится в 10 раз. СпраЕ от разряда единиц, за границей целых чисел, находится разряд, 10 раз меньший, т. е. десятые доли, далее сотые, тысячные и т. д| Таким образом, место десятичных долей в таблице классов разрядов определено.
Если рассматривать цифры в числе 111 слева направо, тс каждая цифра, стоящая справа от данной, обозначает единицы,]
320
Сотни
Десятки
Единицы
1
1
1
„оторые в 10 раз меньше данной. |«пишем число 111 и обозначим •зряды в этом числе. [ Если справа от числа 111 напирать цифру 1, то она будет обозначать число, в 10 раз меньшее, Чем 1 единица. Это одна десятая доля единицы.
Доли целых
дес.
ед.
десятые
сотые
тысячные
1
1
1
1
1
1
|
Если справа записать еще 1 единицу, то она будет меньше десятой доли в 10 раз и единицы в 100 раз. Это1 одна сотая доля единицы.
В таблице целые числа от десятичных долей отделяются чертой. На письме целая часть от дробной части отделяется запятой: 111, 1. Читается эта десятичная дробь так: сто одиннадцать целых
одна десятая.
Если в дроби нет ни одной целой, то вместо нее пишется нуль.
Десятичные дроби
Запись
Чтение
0,3
Нуль целых три десятых
4,1
Четыре целых одна десятая
I Например, обыкновенную дробь - пу можно записать без знаменателя так: 0,1. Читается эта дробь так: нуль целых одна десятая. Следует сравнить и запись обыкновенных и десятичных дробей:
Обыкновенные дроби
Запись
Чтение
3 ТО
Три десятых
^
Четыре целых одна десятая
Объяснить запись десятичной дроби можно, используя числа, полученные от измерения. Сначала взять числа с соотношением между крупными и мелкими мерами, равными 10, затем 100,
наконец 1000.
Например, 1 см 5 мм можно записать с одним наименованием, рассуждая следующим образом: в числе 1 см 5 мм есть 1 целый сантиметр и 5 мм, которые составляют 5 десятых сантиметра, т. к. 1 мм равен одной десятой сантиметра. Это число можно записать десятичной дробью: 1, 5 см, т. е. написать целое число сантиметров (1) поставить запятую, а 5 десятых сантиметра, т. е. десятые доли сантиметра пишутся после целых (после запятой).
Знаменане пишется, но читается: одна целая пять десян сантиметра. После записи чисел с соотношением между мерш измерения, равным 10, аналогично объяснить запись чисел полу ченных от измерения с соотношением мер, равным 100 (зак м 1000) и запись этих чисел десятичной дробью.
Например, 3 р. 25 к.=3,25 р. (в одном рубле 100 копеп значит 25 к. — это 25 сотых частей рубля: записывается цел^ число 3, ставится запятая, а после нее пишется 25 сотых, т. 3,25 р., знаменатель не пишется, но читается. 10 р. 08 к.=10,08 | 1 ц 05 кг= 1,05 ц и т. д.
Аналогично записываются десятичной дробью именованные чжмм с соотношением мер, равным 1000. Например, 1 кг 375 г= 1,375 К1. 5 кг 085 г=5,085 кг, 7 т 004 кг=7,004 т.
При записи десятичных дробей используют разрядную сетку, и которой указаны десятичные доли.
Целые
числа
Десятичные доли
ед. тыс.
сотни
десятки
единицы
десятые
сотые
тысячные
Разрядная сетка помогает правильно записывать десятичные дроби, например: 17,8; 4,76; 375,6;и т. д.
Наибольшую трудность для учащихся представляет запись де сятичных дробей (так же как и целых чисел) с отсутствующими разрядными долями, например: 19,07; 25,905; 27,009. Поэтому эти дроби даются для записи только тогда, когда учащиеся хорошо усвоят запись дробей с наличием всех разрядных долей, могут объяснить, как называется каждая разрядная доля, на каком месте справа от запятой она стоит, поймут, что каждая последующая доля в 10 раз меньше предыдущей (если имеет одно и то же число долей). Например, 5 сотых в 10 раз меньше, чем 5 десятых, а 5 тысячных в 10 раз меньше, чем 5 сотых.
При знакомстве с письменной нумерацией десятичных дробей необходимо обратить внимание учащихся на то, что после запятой в десятичной дроби должно стоять столько знаков, сколько нулей в знаменателе дроби. Например, надо записать дробь семь целых восемь сотых. Знаменатель дроби 100, т. е. имеет два нуля. Следовательно, после запятой должно быть два знака, произносится же только один знак (число 8), значит, сразу после запятой надо написать нуль: 7,08. На особенность, которую мы используем при записи десятичных дробей, следует обратить внимание учащихся и при их чтении.
322
При чтении десятичных дробей учащиеся школы VIII вида за-
Ч'удняются в назывании знаменателя десятичной дроби. Они либо
не называют (например, дробь 0,375 читают так: нуль целых
1ста семьдесят пять), либо вместо тысячных говорят десятые,
ые (нуль целых триста семьдесят пять сотых, десятых).
Чтобы снять эту трудность при чтении десятичных дробей,
•дует показать учащимся, что если после запятой стоит один
1К (цифра), то знаменатель этой дроби — единица с одним
С
улем, т. е. десять, и нужно добавлять слово «десятых» (соответ-твенно указать на дроби с сотыми и тысячными долями).
СРАВНЕНИЕ ДЕСЯТИЧНЫХ ДРОБЕЙ
Начинать сравнение десятичных дробей следует с дробей со „аменателем 10, например 0,3 и 0,5. Сначала нужно каждую из тих дробей показать на метровой линейке, разделенной на деци-||етры. Известно, что
1 дм — это 0,1 м 9 дм<5 дм, значит,
3 дм — это 0,3 м 0,3 м<0,5 м
5 дм — это 0,5 м 0,3<0,5
Далее следует каждую из этих дробей сравнить с помощью любого отрезка (рис. 28). 0,3
0,5
Рис. 28 Легко сравнить эти десятичные дроби, если записать их со
5 3 знаменателями: ух - и - щ. Как сравнить обыкновенные дроби с
5 3 одинаковыми знаменателями, учащиеся знают: -|ф>-щ-
После рассмотрения еще нескольких пар десятичных дробей на конкретных примерах можно подвести учащихся к выводу: из сравниваемых десятичных дробей та дробь больше, у которой число целых больше; если же целые равны (например, в дробях 0,3 и 0,5), то сравниваются десятые доли, и тогда та дробь больше, у которой число десятых долей больше.
По аналогии с десятичными дробями со знаменателем 10 сравниваются десятичные дроби со знаменателем 100 (0,08 и 0,05) и со знаменателем 1000 (0,007 и 0,004).
п*
323
В качестве пособий для сравнения дробей со знаменателем I можно использовать метр, деленный на сантиметры, или квад|и деленный на 100 клеток:
0,008>0,005 0,08>0,05
1 см=0,01 м 8 см=0,08 м 5 см=0,05 м
После усвоения этого материала для сравнения можно пред г. являть десятичные дроби с различными знаменателями:
0,7 и 0,13 0,08 и 0,1
0,08 и 3,1 7,3 и 7,119
Если учащиеся затрудняются сравнивать дроби, то следу г I прибегнуть к использованию наглядных пособий, которыми в дан ном случае служат меры длины, стоимости, массы, а также отрем ки и квадраты, или привести дроби к общему знаменателю. Срам нивать нужно равные десятичные дроби, но имеющие различное написание, например: 0,3 и 0,30. Что эти дроби равны, учащиеся могут убедиться с помощью метровой линейки или квадрата, раз деленного на 100 равных клеток.
0,3 м = 3 дм 1 Отсюда следуеТ1 что 0,3=0,30. 0,30 м = 3 дм]
0,1=0,10 (так как каждая полоса — это 0,1, а каждая клетка — это 0,01); 0,3=0,30; 0,5=0,50 и т. д.
На подобных примерах учащиеся убеждаются, что десятые доли могут быть выражены в сотых и, наоборот, сотые — в десятых долях. Это закрепляется с помощью упражнений, например таких:
Сколько десятых долей в 1 м? Чему равна одна десятая доля метра? Сколько сотых долей в 1 м? Чему равны 10 сотых метра?
0,1 м=0,10 м 0,1=0,10
Чему равны 4 десятых метра? Чему равны 40 сотых метра?
0,4 м=0,40 м 0,4=0,40
Сколько десятых в 0,1; в 0,10? Сколько десятых в 0,8; в 0,80?
|
Из за большого объема этот материал размещен на нескольких страницах:
1 2 3 4 5 6 7 8 9 10 11 12 13 14 15 16 17 18 19 20 21 22 23 24 |



