На правах рукописи
ПРЕДИКТОРЫ НЕБЛАГОПРИЯТНОГО РЕМОДЕЛИРОВАНИЯ МИОКАРДА У БОЛЬНЫХ ИНФАРКТОМ МИОКАРДА
С ПОДЪЕМОМ СЕГМЕНТА ST
14.01.05 – кардиология
автореферат
диссертации на соискание ученой степени
кандидата медицинских наук
Санкт-Петербург - 2013
Работа выполнена в Государственном бюджетном образовательном учреждении высшего профессионального образования «Северо-Западный государственный медицинский университет им. » Министерства здравоохранения Российской Федерации
Научный руководитель -
, академик РАМН, заслуженный деятель науки Российской Федерации, доктор медицинских наук, профессор.
Официальные оппоненты:
, доктор медицинских наук, профессор, Федеральное государственное бюджетное учреждение «Федеральный центр сердца, крови и эндокринологии имени » Министерства здравоохранения Российской Федерации, научно-исследовательский отдел сердечной недостаточности, заведующая.
, доктор медицинских наук, профессор, Федеральное государственное бюджетное образовательное учреждение высшего профессионального образования «Санкт-Петербургский государственный университет», кафедра госпитальной терапии, заведующий.
Ведущая организация – Федеральное государственное казенное военное образовательное учреждение высшего профессионального образования «Военно-медицинская академия имени » Министерства обороны Российской Федерации.
Защита состоится 16 декабря 2013 года в 15 часов на заседании диссертационного совета Д208.054.01 при Федеральном государственном бюджетном учреждении «Федеральный центр сердца, крови и эндокринологии имени » Министерства здравоохранения Российской Федерации ( Санкт-Петербург, ул. Аккуратова, д.2).
С диссертацией можно ознакомиться в библиотеке Федерального государственного бюджетного учреждения «Федеральный центр сердца, крови и эндокринологии имени » Министерства здравоохранения Российской Федерации.
Автореферат разослан « » 2013 г.
Ученый секретарь
диссертационного совета
доктор медицинских наук
Общая характеристика работы
Актуальность темы исследования и степень ее разработанности
Ишемическая болезнь сердца (ИБС) с преобладанием инфаркта миокарда с подъемом сегмента ST (ИМпST) в настоящее время является ведущей причиной смертности, как в России, так и в странах Европы и США. Ежегодная госпитализация в Европе составляет 800 на 1 миллион населения (Widimsky P., 2010). Смертность в России от ИБС составила 412,4 случаев на 100 тысяч населения в 2009 году и 418,3 – в 2010 году. В том числе от инфаркта миокарда (ИМ) умерло 48,0 человек на 100 тысяч населения в 2009 году и 47,2 – в 2010 году (Служба государственной статистики Здравоохранение в России – 2011г.).
В группу высокого риска неблагоприятных исходов, в том числе внезапной кардиальной смерти, развития реинфарктов, нарушений сердечного ритма, прогрессирования сердечной недостаточности (CH) вследствие развития ремоделирования миокарда, входят, прежде всего, пациенты, перенесшие острый коронарный синдром, как ИМ, так и нестабильную стенокардию (Национальные рекомендации ВНОК и ОССН по диагностике и лечению ХСН (третий пересмотр), 2010; Российские рекомендации по диагностике и лечению больных острым инфарктом миокарда с подъемом сегмента ST ЭКГ, 2007). Во многом развитие осложнений заболевания сопряжено с состоянием миокарда у этих пациентов. С точки зрения развития «ишемического каскада» у пациентов с ИБС наблюдаются нарушения перфузии и метаболизма миокарда, диастолической и систолической функций миокарда (Kaandorp T.A., 2005). При ИМ развивается постинфарктное ремоделирование, связанное с гибелью большого числа кардиомиоцитов и выпадением функции участка миокарда, усиливающееся при наличии гибернации в других участках миокарда при хронической ишемии, или оглушения миокарда при рецидивирующих эпизодах острой ишемии (, 2009). Не только состояние коронарного русла, но и собственно миокарда, во многом предопределяет исходы ИБС, что обуславливает актуальность изучения структурных и функциональных характеристик состояния миокарда, особенно у пациентов, перенесших ИМ, которые входят в группу высокого риска неблагоприятных исходов, в том числе развития неблагоприятного ремоделирования миокарда (Kaandorp T.A., 2005).
Цель исследования - выявить предикторы неблагоприятного ремоделирования миокарда у больных инфарктом миокарда с подъемом сегмента ST, оценить их значимость для прогноза заболевания при современных подходах к терапии.
Задачи исследования
1. Изучить клиническую характеристику больных ИМпST в зависимости от сроков и вариантов реваскуляризации миокарда в динамике на протяжении не менее одного года после перенесенного инфаркта миокарда.
2. Оценить степень и множественность поражения коронарных артерий у больных ИМпST по данным селективной коронароангиографии и проанализировать влияние выявленных изменений на развитие неблагоприятного ремоделирования миокарда.
3. Оценить влияние морфо-функциональных параметров (в т. ч. размеры зоны инфаркта миокарда, периинфарктной зоны, наличие микроваскулярной обструкции, степень гипертрофии миокарда, фракцию выброса по данным магнитно-резонансной томографии сердца) на прогноз, в т. ч. на течение постинфарктного ремоделирования.
4. Проанализировать частоту и характер осложнений у больных ИМпST в зависимости от объема пораженного миокарда.
Научная новизна
Выявлены предикторы неблагоприятного ремоделирования миокарда и определена их значимость для прогноза у больных ИМпST при различных сроках реваскуляризации миокарда.
Показано прогностическое значение инфарктной, периинфарктной зон и микроваскулярной обструкции по данным магнитно-резонансной томографии сердца с контрастированием для больных ИМпST, подвергшихся ангиопластике и/или стентированию коронарных артерий.
Уточнено влияние уровня окклюзии инфаркт-связанной коронарной артерии на объем пораженного миокарда и множественности поражения коронарных артерий на развитие постинфарктного ремоделирования миокарда.
Разработана математическая модель прогнозирования развития неблагоприятного ремоделирования миокарда в течение первого года у больных ИМпST, подвергшихся ангиопластике и/или стентированию коронарных артерий.
Теоретическая и практическая значимость
Проведение магнитно-резонансной томографии сердца с контрастированием на 9-11 сутки ИМпST у больных, подвергшихся ангиопластике и/или стентированию коронарных артерий, позволяет прогнозировать развитие неблагоприятного постинфарктного ремоделирования в течение первого года.
Разработанная модель прогнозирования развития неблагоприятного ремоделирования миокарда у больных ИМпST, подвергшихся ангиопластике и/или стентированию коронарных артерий, включает показатели контрастной магнитно-резонансной томографии сердца, клинические и ангиографические предикторы. Предложенная модель позволяет повысить эффективность прогнозирования развития неблагоприятного ремоделирования миокарда как непосредственную причину сердечной недостаточности у пациентов после ИМпST и может быть использована в лечебно-профилактических учреждениях.
Методология и методы исследования
В исследование было включено 137 пациентов с ИМпST, госпитализированных в отделение кардиологии больницы Петра Великого с 2009г. по 2011г. Методы обследования больных включали: общеклиническое, лабораторное исследование, ЭКГ в динамике, суточное мониторирование ЭКГ, эхокардиографию по стандартному протоколу, селективную коронароангиографию, магнитно-резонансную томографию (МРТ) сердца по стандартному протоколу, статистическую обработку полученных результатов.
Основные положения, выносимые на защиту
1. Морфо-функциональными предикторами неблагоприятного ремоделирования миокарда у больных ИМпST, подвергшихся ангиопластике и/или стентированию коронарных артерий, являются увеличение индексов конечного диастолического, систолического размеров и объемов левого желудочка, большая масса пораженного миокарда, наличие периинфарктной зоны и микроваскулярной обструкции, определяемых с помощью магнитно-резонансной томографии сердца с контрастированием на 9-11 сутки ИМпST.
2. Развитие неблагоприятного постинфарктного ремоделирования определяют: сердечная недостаточность высокого класса по Killip в первые сутки ИМпST, многососудистое поражение коронарных артерий, поздняя реваскуляризация миокарда.
3. Реваскуляризация в ранние сроки способствует спасению миокарда пограничной зоны и сдерживает развитие прогрессирующего постинфарктного ремоделирования.
Степень достоверности и апробация результатов
Основные положения диссертации хорошо аргументированы и подтверждены статистическим анализом с использованием методов параметрической и непараметрической статистики представленных в работе данных, которые получены с помощью комплексного использования современных и адекватно поставленных задачам методов на достаточном клиническом материале. В работе использованы результаты обследования 137 пациентов. Выводы и практические рекомендации основаны на клиническом опыте автора, принимавшего непосредственное участие в обследовании и наблюдении больных, исследовании полученных материалов.
Результаты исследований и основные положения диссертации были доложены на Европейском конгрессе по сердечной недостаточности «Heart Failure 2012» (Сербия, май 2012); Европейском конгрессе по сердечно-сосудистой биологии «Frontiers in CardioVascular Biology» (Лондон, март 2012 года); 6 международном форуме «Невский радиологический форум 2013» (Санкт-Петербург, апрель 2013).
Результаты исследования и практические рекомендации используются в учебном процессе на кафедре факультетской и госпитальной терапии ГБОУ ВПО «СЗГМУ им. » Минздрава России, а также введены в практику клиник ГБОУ ВПО «СЗГМУ им. » Минздрава России.
Диссертация изложена на 115 страницах, иллюстрирована 7 рисунками и 21 таблицей, состоит из введения, обзора литературы, описания материала и методов, результатов собственного исследования, заключения, выводов, практических рекомендаций и списка литературы из 134 источников (23 отечественных и 111 зарубежных).
По теме диссертации опубликовано 19 научных работ, в том числе 4 статьи в изданиях, рекомендованных ВАК.
СОДЕРЖАНИЕ РАБОТЫ
Материал и методы исследования
В исследование было включено 137 пациентов с ИМпST, госпитализированных в отделение кардиологии больницы Петра Великого с 2009г. по 2011г. Критериями включения пациентов в исследование были: верифицированный диагноз первичного ИМпST, выполнение ангиопластики и/или стентирования коронарных артерий, возраст менее 75 лет, а также отсутствие искусственных водителей ритма, металлических скобок, боязни замкнутого пространства, сосудистых клемм, тяжелой сопутствующей патологии, способной повлиять на прогноз.
Методы обследования больных включали: общеклиническое, лабораторное исследование, ЭКГ в динамике, суточное мониторирование ЭКГ, эхокардиографию по стандартному протоколу, селективную коронароангиографию, МРТ сердца по стандартному протоколу.
Статистическая обработка полученных результатов была проведена с использованием программы Statistica 6.0 (StatSoft, Inc. ) с использованием статистических методов, включавших: параметрические и непараметрические тесты, регрессионный анализ. Статистически достоверными считались полученные результаты при p<0,05.
Результаты исследования и их обсуждение
Через год проспективного наблюдения у 12 (8,8%) пациентов с ИМпST были зарегистрированы неблагоприятные кардиальные исходы, а именно: 2 летальных исхода, 4 случая повторных ИМ, 1 случай нестабильной стенокардии, 5 случаев тяжелой хронической сердечной недостаточности (ХСН), потребовавшей госпитализации, кроме того у,1%) пациентов выявлено неблагоприятное ремоделирование миокарда (по результатам эхокардиографического исследования). Таким образом, все пациенты были разделены на две группы в зависимости от течения постинфарктного ремоделирования миокарда. 1 группа включала пациентов с неблагоприятным постинфарктным ремоделированием левого желудочка (ЛЖ) (n=46), 2 группа – с отсутствием неблагоприятного постинфарктного ремоделирования ЛЖ (n=85); из исследования выбыло 6 пациентов.
Пациенты в исследуемых группах не отличались по возрасту, полу, факторам риска развития ИБС. Однако пациентов с Q-ИМ было больше в группе неблагоприятного ремоделирования. Передняя и нижняя локализация ИМ была выявлена в равных соотношениях среди пациентов обеих групп. В обеих группах реже выявлялись больные с боковым и циркулярным ИМ (p<0,05) (таблица 1).
Таблица 1 - Сравнительная характеристика исследуемых групп больных ИМпST по исходным клиническим показателям
Признак | 1 группа (n=46) | 2 группа (n=85) | р | ОШ | 95% ДИ |
Возраст (лет), (M±SD) | 58±8,59 | 54,8±10,64 | нд | - | - |
Мужчины, n (%) | 38 (82,6) | 69 (81,2) | нд | 1,1 | [0,4;3,12] |
Гипертоническая болезнь, n (%) | 42 (91,3) | 71 (83,5) | нд | 2,07 | [0,58;8,03] |
Сахарный диабет, n (%) | 6 (13) | 14 (16,5) | нд | 0,76 | [0,24;2,34] |
Наличие ранее ИБС в анамнезе, n (%) | 12 (26,1) | 22 (25,9) | нд | 1,01 | [0,41;2,46] |
Ожирение, n (%) | 33 (71,7) | 63 (74,1) | нд | 0,89 | [0,37;2,14] |
Курение, n (%) | 26 (56,5) | 59 (69,4) | нд | 0,57 | [0,26;1,29] |
Q-ИМ, n (%) | 41 (89,1) | 59 (69,4) | 0,01 | 3,61 | [1,19;11,75] |
неQ-ИМ, n (%) | 5 (10,9) | 26 (30,6) | 0,01 | 0,28 | [0,09;0,84] |
Передний ИМ, n (%) | 23 (50) | 37 (43,5) | нд | 1,3 | [0,59;2,84] |
Нижний ИМ, n (%) | 18 (39,1) | 47 (55,3) | нд | 0,52 | [0,23;1,15] |
Реваскуляризация в срок до 24 часов реже выполнялась пациентам, оказавшимся в группе неблагоприятного ремоделирования миокарда ,7%) vs,8%), p=0,02) по сравнению с пациентами с отсутствием неблагоприятного ремоделирования ЛЖ преимущественно за счет меньшего использования системной тромболитической терапии ,4%) vs,9%), p=0,03). Таким образом, раннее выполнение реваскуляризации миокарда предотвращало развитие постинфарктного ремоделирования миокарда, ассоциированного с большим числом кардиальных событий, в том числе тяжелой сердечной недостаточностью и кардиальной смертью (Volpi A., 1993; St John Sutton M., 2003). В то же время выполнение реваскуляризации в срок до 12 часов способствовало спасению миокарда периинфарктной зоны, определяемой с помощью МРТ сердца с контрастированием на 9-11 сутки ИМпST. Так у пациентов с успешной реваскуляризацией миокарда к третьему месяцу наблюдения отмечался полный регресс периинфарктной зоны. По данным литературных источников именно периинфарктная зона, представляющая собой зону ишемии с неоднородным миокардом, является субстратом для развития жизнеугрожающих нарушений ритма (Schuli K.H., 2012). У 68 % пациентов с наличием периинфарктной зоны на 9-11 сутки ИМпST были зарегистрированы желудочковые нарушения ритма (ЖНР) и только у 29,8% без таковой (p=0,007). К третьему месяцу наблюдения у всех пациентов с сохраненной периинфарктной зоной зарегистрированы ЖНР, у более чем 80% этих больных встречались ЖНР высоких градаций.
Среди осложнений течения ИМпST были зарегистрированы ЖНР, CH высоких классов по Killip в первые сутки ИМ, атрио-вентрикулярная блокада III степени, ранняя постинфарктная стенокардия. У пациентов первой группы осложненное течение ИМпST выявлялось чаще ,8%) vs,5%), p=0,019). В структуре осложнений преобладала СН III-IV классов по Killip в первые сутки ИМпST (4 (8,7%) vs 1 (1,2%), p=0,03), что свидетельствует об исходно более высоком классе СН и ее влиянии на дальнейшее неблагоприятное постинфарктное ремоделирование ЛЖ, что находит подтверждение в ранее проведенных исследованиях (, 2009).
По результатам проведения селективной коронароангиографии преобладания поражения какого-либо из бассейнов коронарных артерий в исследуемых группах больных не выявлено. Однако благоприятное течение постинфарктного ремоделирования ЛЖ ассоциировано с более частым поражением правой коронарной артерии ,1%) vs,9%), p=0,01), в тоже время многососудистое поражение чаще выявлялось в группе неблагоприятного ремоделирования ЛЖ ,3%) vs 5 (5,9%), p=0,0005).
При выписке из стационара всем пациентам была выполнена оценка функционального класса сердечной недостаточности (ФК СН). Более высокий ФК СН (II и III ФК) был выявлен в 1 группе пациентов ,8%) vs,9%), p=0,0037; 3 (6,5%) vs 0 (0%) p=0,019, соответственно), в тоже время во 2 группе преобладали пациенты с I ФК СН ,9%) vs,7%), р=0,006). В дальнейшем оценка ФК СН выполнялась на 3 месяц и один год наблюдения. В обеих группах наблюдалось значительное снижение числа пациентов с I ФК СН уже к 3 месяцу наблюдения с одновременным увеличением числа пациентов со II ФК СН (1 группа:,7%) vs 2 (4,3%), р=0,00001;,8%) vs,6%), р=0,00001, соответственно; 2 группа:,9%) vs,8%), р=0,00001;,9%) vs,6%), p=0,00001, соответственно) и сохранялось к году наблюдения (рисунок 1).

Примечание – * значение достоверности в динамике 1 и 2 групп p<0,05.
Рисунок 1 – Характеристика ХСН на различных сроках наблюдения
На момент выписки из стационара пациентам обеих групп была назначена медикаментозная терапия согласно принятым рекомендациям по лечению пациентов ИМпST (Диагностика и лечение больных острым инфарктом миокарда с подъемом сегмента ST ЭКГ. Российские рекомендации, 2007). Однако пациентам из группы неблагоприятного ремоделирования миокарда реже назначались b-адреноблокаторы ,5%) vs%), р=0,04), чаще мононитраты ,1%) vs 9 (10,6%), р=0,02) и петлевые диуретики (3 (6,5%) vs 0 (0%), р=0,02), что свидетельствует о более тяжелом течение ИМпST и раннем развитии постинфарктного ремоделирования миокарда у пациентов данной группы.
Всем пациентам перед выпиской из стационара и через 3 месяца после ИМпST было проведено суточное мониторирование ЭКГ. Исходно различий по наличию нарушений проведения получено не было, только у пациентов 1 группы отмечалось преобладание эпизодов нарушения ритма (пароксизмы фибрилляции предсердий) (4 (8,7% vs 1 (1,2%), р=0,03). Через 3 месяца наблюдения у пациентов 1 группы чаще регистрировались как наджелудочковые, так ЖНР высокой градации ,7%) vs,9%), p=0,05;,7%) vs 4 (4,7%), p=0,0003, соответственно), что вероятно обусловлено изменением геометрии ЛЖ, большим объемом пораженного миокарда, который является субстратом для развития жизнеугрожающих аритмий (Sutton M. St. J., 2003; Bolick D.R., 1986; Bello D., 2005).
Прогностическое значение магнитно-резонансной томографии сердца с контрастированием
Из 66 пациентов, которым была выполнена МРТ сердца с контрастированием, закончили исследованиепациента отказались от дальнейшего участия). Так как пациенты были разделены на группы по результатам проспективного наблюдения через 1 год, то 1 группа составила 20 пациентов,
Уже на 11 сутки ИМпST в 1 группе пациентов отмечались более высокие значения индекса конечного систолического объема (ИКСО) (32,97 [22,65;48,74] мл/м2 vs 25,6 [52,5;70,5] мл/м2, p=0,03), более низкая фракция выброса (ФВ) (52,4±15,81 % vs 62,11±11,63 %, p=0,008) по сравнению со 2 группой. Пороговым предикторным значением для развития неблагоприятного ремоделирования миокарда, рассчитанное с помощью ROC-кривых, было увеличение ИКСО более 30,6 мл/м2 и снижение ФВ менее 55 %.
Кроме изучения функционального состояния миокарда важным является определение перфузии миокарда и характеристик пораженного миокарда. Именно МРТ с контрастированием позволяет оценить глубину, протяженность рубцового поля (объем пораженного миокарда), выявить зоны микроваскулярной обструкции (МВО) и периинфарктную (Ganame J., 2009). Из 66 пациентов, которым была выполнена МРТ сердца с контрастированием на 11 сутки ИМпST, только у 2 больных отсутствовало нарушение перфузии при первом прохождении контрастного препарата через миокард, что свидетельствует об отсутствии гемодинамически значимой ишемии в покое у данных больных. У оставшихся 64 пациентов выявлено в среднем 5 сегментов (от 3 до 6) с замедленным первым прохождением контрастного препарата на 11 сутки ИМпST без значительного снижения данного показателя к 3 месяцу наблюдения (5 [3;6] vs 4 [2;6], p=0,6). При сравнении перфузии на 11 сутки ИМпST между группами различий получено не было. Однако в группе неблагоприятного ремоделирования миокарда была большая зона пораженного миокарда, преимущественно за счет трансмурального накопления контрастного препарата (5 [3,5;7] vs 2,5 [0,5;4,5], p=0,007). О большой зоне поражения миокарда также свидетельствуют и более высокие значения индекса массы пораженного миокарда ЛЖ (ИМПМ ЛЖ) (15,11 [8,63;27,09] г/м2 vs 7,9 [5,32;11,33] г/м2, р=0,005), процента массы пораженного миокарда ЛЖ (%МПМ ЛЖ) (17,3 [11;25,7] % vs 11,6 [8,4;18,7] %, p=0,029) (рисунок 2), большее число сегментов с нарушенной локальной сократимостью %) vs,6%), p=0,02). Пороговое значение ИМПМ для развития неблагоприятного ремоделирования миокарда рассчитанное с помощью ROC-кривых составило 27,1 г/м2. Объем пораженного миокарда является одним из определяющих факторов развития неблагоприятного постинфарктного ремоделирования миокарда (Ørn S., 2007).

Примечание – значение достоверности между 1 и 2 группой p<0,05.
Рисунок 2 – Показатели объема пораженного миокарда на 11 сутки ИМпST по данным МРТ
В недавно проведенных исследованиях именно масса пораженного миокарда рассматривалась как наиболее важный предиктор неблагоприятного течения ИМпST (Wu E., 2008; Ndrepepa G., 2007). Развитие неблагоприятного постинфарктного ремоделирования ассоциировано с протяженностью трансмурального повреждения и наличием зон МВО. Наличие зон МВО и трансмурального повреждения миокарда, у пациентов перенесших первичную ангиопластику и стентирование коронарных артерий, влияет на уменьшение массы пораженного миокарда (Orn S., 2009). С другой стороны наличие зон МВО взаимосвязано с развитием неблагоприятных исходов, в т. ч. неблагоприятного ремоделирования миокарда у больных, перенесших ИМпST (Wu K.C., 1998; Hombach V., 2005).
Через 3 месяца после ИМпST в 1 группе пациентов отмечалось увеличение размерных показателей ЛЖ, а именно: индекса конечного диастолического размера (ИКДР) (2,88±0,47 см/м2 vs 2,52±0,35, р=0,02) и индекса конечного систолического размера (ИКСР) (2,11±0,63 см/м2 vs 1,70±0,45 см/м2, р=0,04), сохранялись увеличенные значения ИКСО (38,11 [19,85;65,64] мл/м2 vs 17,98 [13,05;27,15] мл/м2, p=0,03) и более низкая ФВ (46,25±19,98 % vs 66,35±9,73 %, р=0,0001) по сравнению с больными 2 группы.
При контрастном исследовании в 1 группе пациентов выявлено большее количество сегментов с нарушенной перфузией миокарда (6 [5,5;8,5] vs 4 [1;6], p=0,01), накоплением контрастного препарата (6,5 [5;7,5] vs 3 [2;4], p=0,01) с преобладанием трансмурального поражения (6,5 [5;7,5] vs 2 [1;3], p=0,006). ИМПМ ЛЖ и %МПМ ЛЖ были также выше в 1 группе по сравнению с 2 (17,06 [11,47;26,17] г/м2 vs 5,93 [3,75;11,41] г/м2, p=0,02; 23,0 [21,10;31,60] % vs 11,00 [5,40;16,43] %, p=0,006, соответственно). Сохранение зон МВО, изолированное трансмуральное поражение миокарда было выявлено только среди пациентов 1 группы, что свидетельствует об их влиянии на развитие неблагоприятного постинфарктного ремоделирования миокарда (Orn S., 2009; Weir R.A.P., 2010).
К третьему месяцу наблюдения только у пациентов с неблагоприятным ремоделированием миокарда отмечалось уменьшение толщины задней стенки ЛЖ (0,84±0,20 см vs 1,1±0,28 см, p=0,02) со снижением индекса диастолической массы ЛЖ (66,48 [62,66;74,52] г/м2 vs 77,78 [68,52;84,95] г/м2, p=0,046), формирование аневризм ЛЖ (4 (8,7%) vs 0 (0%), p=0,0001), сохранение зон МВО, что, несомненно, влияло на неблагоприятное течение постинфарктного ремоделирования миокарда. В тоже время только у пациентов с отсутствием неблагоприятного ремоделирования миокарда отмечалось уменьшение ИМПМ ЛЖ (7,9 [5,32;11,33] г/м2 vs 5,93 [3,75;11,41] г/м2 p=0,03), что обусловлено эффективной реперфузионной терапией и имеет отражение в ранее проведенных исследованиях (Thiele H., 2009).
Взаимосвязь объема пораженного миокарда и уровня окклюзии
инфаркт-связанной коронарной артерии
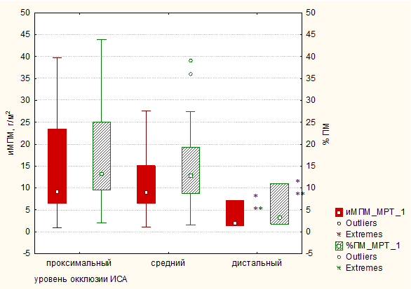
Сравнение массы пораженного миокарда в зависимости от уровня поражения коронарной артерии (проксимальный - 1, средний - 2, дистальный - 3) показало, что высокий уровень окклюзии инфаркт-связанной артерии (ИСА) приводил к большей массе пораженного миокарда у пациента. Так при окклюзии проксимального уровня ИСА были высокими и составляли ИМПМ1 и %МПМ1 9,2 [6,5;25,3] г/м2 и 13,3 [9,5;25,1] г/м2 соответственно, также при среднем уровне – 9,02 [6,5;15,1] г/м2 (р1-2=0,38) и 12,9 [8,8;19,3] г/м2 (р1-2=0,51) соответственно (рисунок 3). Однако при дистальном поражении ИСА ИМПМ был существенно ниже, составляя 1,8 [1,3;7,2] г/м2 (р1-3=0,041; р2-3=0,03), как и %МПМ, который составил 3,2 [1,7;11] % (р1-3=0,04; р2-3=0,049). Полученные результаты свидетельствуют о том, что уровень окклюзии коронарной артерии влияет на объем поражения миокарда, что в дальнейшем в значительной мере определяет развитие сердечной недостаточности в связи с постинфарктным ремоделированием.

Примечание – * р<0,05 при сравнении ИМПМ и %МПМ между группами с окклюзией проксимального и дистального уровня ИСА;
** р<0,05 при сравнении ИМПМ и %МПМ между группами с окклюзией среднего и дистального уровня ИСА.
Рисунок 3 - Значения ИМПМ и %МПМ в зависимости от уровня окклюзии ИСА
Оценка корреляционных связей между инструментальными и лабораторными показателями ремоделирования миокарда
В ходе проведения исследования был выполнен корреляционный анализ взаимосвязи N-терминального фрагмента мозгового натрийуретического пептида (NT-proBNP) с показателями ремоделирования миокарда, определяемыми с помощью МРТ сердца.
Умеренные корреляционные связи определены между содержанием NT-proBNP и параметрами ЛЖ на 10 сутки (p<0,05), а именно: ИКДР1 (R=0,43), ИКСР1 (R=0,37), индексом конечного диастолического объема (ИКДО1) (R=0,47), ИКСО1 (R=0,50), ИМПМ1 (R=0,53), %МПМ1 (R=0,52), ФВ1 (R=-0,46), что свидетельствует о взаимосвязи между содержанием NT-proBNP и морфологическими и структурными изменениями ЛЖ при ИМ и подтверждает результаты, полученные в других исследованиях (Mayr A., 2011; Orn S., 2009). Данные связи между содержанием NT-proBNP и следующими параметрами ЛЖ сохранялись и через 3 месяца: ИКДР2 (R=0,43), ИКСР2 (R=0,47), ИКДО2 (R=0,42), ИКСО2 (R=0,44), ИМПМ2 (R=0,53), %МПМ2 (R=0,55), ФВ2 (R=-0,58).
Математическая модель прогнозирования развития неблагоприятного ремоделирования миокарда
Раннее определение прогноза развития неблагоприятного ремоделирования миокарда у больных ИМпST, подвергшихся ангиопластике и/или стентированию коронарных артерий является одной из важных задач, т. к. именно неблагоприятное постинфарктное ремоделирование ЛЖ лежит в основе развития ХСН как основной причины госпитализаций и инвалидности пациентов. Таким образом, представляется значимым выявление новых ранних предикторов неблагоприятного постинфарктного ремоделирования и составление модели для прогнозирования его развития.
На основании выявленных предикторов неблагоприятного ремоделирования миокарда у больных ИМпST, подвергшихся ангиопластике и/или стентированию коронарных артерий, с помощью регрессионного анализа построена математическая модель.
Факторами, включенными в анализ, были показатели МРТ сердца с контрастированием на 9-11 сутки ИМпST (ИМПМ, трансмуральное поражение, наличие зоны МВО), клинические (пол, выполнение реваскуляризации миокарда, сердечная недостаточность высоких классов по Killip в первые сутки ИМпST) и ангиографические – многососудистое поражение коронарных артерий. Выбор факторов был обусловлен значимостью их влияния на развитие неблагоприятного ремоделирования миокарда при однофакторном анализе. Результатом данного анализа было построение математического уравнения.
Неблагоприятное ремоделирование =
exp (-4,1 - 0,67*пол – 0,67*Р + 2,66*ОЛЖН + 2,7*МСП + 1,07*ИКДР1 + 0,09*ИМПМ1 + 0,62*МВО1 + 0,06*Тп1) / {1 + exp (-4,1-0,67*пол – 0,67*Р + 2,66*ОЛЖН + 2,7*МСП + 1,07*ИКДР1 + 0,09*ИМПМ1 + 0,62*МВО1 + 0,06*Тп1)}
Chi-square (8) = 21,654, p = 0,0056.
где Р – реваскуляризация, ОЛЖН – острая сердечная недостаточность (СН III-IV классов по Killip), МСП - многососудистое поражение коронарных артерий, ИКДР – индекс конечного диастолического размера, ИМПМ – индекс массы пораженного миокарда, МВО – микроваскулярная обструкция, Тп – трансмуральное поражение.
ЗАКЛЮЧЕНИЕ
В настоящей работе представлены результаты собственных клинических исследований изучения предикторов развития неблагоприятного ремоделирования миокарда у больных инфарктом миокарда с подъемом сегмента ST, подвергшихся ангиопластике и/или стентированию коронарных артерий.
В ходе нашего исследования было уточнено прогностическое значение в отношении развития неблагоприятного постинфарктного ремоделирования миокарда известных факторов, таких как: сердечной недостаточности высоких классов по Killip в первые сутки ИМпST, многососудистого поражения коронарных артерий по данным селективной коронароангиографии, отсроченной реваскуляризации миокарда.
Определены новые предикторы развития неблагоприятного ремоделирования миокарда, определяемые с помощью МРТ сердца с контрастированием на 9-11 сутки ИМпST: повышение индекса КДР (более 2,91 см/м2), увеличение массы пораженного миокарда (более 27,1 г/м2), наличие зон микроваскулярной обструкции, трансмуральное поражение. Выявленные морфо-функциональные, клинические и ангиографические предикторы развития неблагоприятного ремоделирования миокарда у больных ИМпST, подвергшихся ангиопластике и/или стентированию коронарных артерий, легли в основу эффективной модели прогнозирования неблагоприятного ремоделирования миокарда у данной категории больных.
Выявленные в настоящем исследовании предикторы развития неблагоприятного ремоделирования миокарда у больных ИМпST, подвергшихся ангиопластике и/или стентированию коронарных артерий, позволяют на ранних этапах прогнозировать развитие неблагоприятного постинфарктного ремоделирования миокарда. Разработанная модель дает возможность уже на 9-11 сутки ИМпST прогнозировать развитие неблагоприятного ремоделирования миокарда, а, следовательно, способствует разработке новых и усовершенствованию существующих методов профилактики и лечения.
Таким образом, при оценке прогноза пациентов с ИМпST, подвергшихся ангиопластике и/или стентированию коронарных артерий, необходимо обращать внимание на особенности клинического течения ИМ, ангиографические данные, на 9-11 сутки ИМпST проводить и в дальнейшем учитывать показатели МРТ сердца с контрастированием.
ВЫВОДЫ
1. К концу первого года наблюдения у 46 больных (35%) зарегистрировано неблагоприятное ремоделирование левого желудочка, которое развивалось постепенно с максимальным приростом в первые 3 месяца после инфаркта миокарда с подъемом сегмента ST.
2. Увеличение массы пораженного миокарда более 27,1 г/м2, трансмуральное поражение миокарда, наличие зон микроваскулярной обструкции являются предикторами развития неблагоприятного постинфарктного ремоделирования.
3. Увеличение индекса конечного систолического объема более 30,6 мл/м2, снижение фракции выброса менее 55%, определяемые на 9-11 сутки инфаркта миокарда с подъемом сегмента ST с помощью магнитно-резонанасной томографии сердца, обуславливают развитие неблагоприятного постинфарктного ремоделирования.
4. У пациентов с проксимальным поражением инфаркт-связанной коронарной артерии отмечается большая масса пораженного миокарда (p=0,04).
5. Наличие периинфарктной зоны, определяемой с помощью магнитно-резонансной томографии сердца с контрастированием на 9-11 сутки инфаркта миокарда с подъемом сегмента ST, ассоциировано с развитием желудочковых нарушений ритма высоких градаций к третьему месяцу наблюдения.
6. На формирование неблагоприятного постинфарктного ремоделирования миокарда влияют развитие сердечной недостаточности высоких классов по Killip в первые сутки инфаркта миокарда с подъемом сегмента ST (p=0,03), многососудистое поражение коронарных артерий (p=0,0005), а также поздняя реваскуляризация (p=0,02).
7. Ранняя реваскуляризация миокарда обеспечивает благоприятное течение инфаркта миокарда с подъемом сегмента ST и постинфарктного периода. В тоже время поздняя реваскуляризация миокарда не сдерживает более тяжелое течение инфаркта миокарда с подъемом сегмента ST и развитие неблагоприятного постинфарктного ремоделирования.
ПРАКТИЧЕСКИЕ РЕКОМЕНДАЦИИ
1. Для выявления предикторов развития неблагоприятного постинфарктного ремоделирования миокарда у больных инфарктом миокарда с подъемом сегмента ST, подвергшихся ангиопластике и/или стентированию коронарных артерий, рекомендовано выполнение магнитно-резонансной томографии сердца с контрастированием на 9-11 сутки.
2. С целью прогнозирования развития неблагоприятного ремоделирования миокарда в течение первого года у больных инфарктом миокарда с подъемом сегмента ST, подвергшихся ангиопластике и/или стентированию коронарных артерий, рекомендуется использовать разработанную математическую модель, включающую показатели магнитно-резонансной томографии сердца с контрастированием на 9-11 сутки (индекс массы пораженного миокарда, индекс конечного диастолического размера, трансмуральное поражение, наличие зоны микроваскулярной обструкции), клинические показатели, сроки реваскуляризация миокарда, многососудистое поражение коронарных артерий по данным селективной коронароангиографии.
СПИСОК РАБОТ, ОПУБЛИКОВАННЫХ ПО ТЕМЕ ДИССЕРТАЦИИ
Морозова (Павлова) случаев внезапной смерти от инфаркта миокарда по данным СПб ГУЗ БСМЭ за 2005 год / (Павлова) // Человек и его здоровье – 2007: Материалы 80-ой конференции студенческого научного общества СПбГМА им. . – СПб, 2007. – C. 162-163. Морозова (Павлова) реваскуляризации миокарда на развитие хронической сердечной недостаточности у больных инфарктом миокард с подъемом сегмента ST / , (Павлова), , // Сердечная недостаточность 2008. Тезисы III конгресса. – М., 2008. – C. 50. Морозова (Павлова) , безопасность и взаимодействие лекарственных препаратов при лечении больных с острым коронарным синдромом / , , (Павлова), , // Человек и лекарство: сборник материалов конгресса. – М., 2010. – С. 161. Морозова (Павлова) повреждения миокарда у пациентов с инфарктом миокарда с подъемом сегмента ST в зависимости от варианта лечения в остром периоде / , (Павлова), , // Тезисы Всероссийской научно-практической конференции с международным участием «От фундаментальных исследований – к инновационным медицинским технологиям». - СПб, 2010. – С. 49-50. Морозова (Павлова) шкалы GRACE для определения прогноза у пациентов, перенесших острый коронарный синдром / , , (Павлова) // Профилактическая и клиническая медицина№1. - С. 355-356. Морозова (Павлова) контрастной МРТ в оценке повреждения миокарда у пациентов с острым коронарным синдромом с подъемом сегмента ST / , (Павлова), // Невский радиологический форум 2011. Сборник научных трудов – СПб, 2011. - С. 150-151. Морозова (Павлова) магнитно-резонансной томографии сердца при инфаркте миокарда / , (Павлова), // Вестник Санкт-Петербургского университета. Серия Вып. 2. – С. 73-81. Морозова (Павлова) омега - 3 полиненасыщенных жирных кислот на содержание липидов крови, маркеров воспаления и ремоделирования у больных, перенесших инфаркт миокарда / , , (Павлова), , // Вестник Северо-Западного государственного медицинского университета им. –Т. 4, № 3. - С. 64-68. Морозова (Павлова) ингибирования системы матриксных металлопротеиназ в процессе ремоделирования миокарда у пациентов с Q-инфарктом миокарда / , , (Павлова), // Тезисы Российского национального конгресса кардиологов «Интеграция знаний в кардиологии». - М., 2012. - С. 252-253. Морозова (Павлова) биомаркеров у пациентов с осложненным течением Q-инфаркта миокарда / , , (Павлова), // Тезисы Российского национального конгресса кардиологов «Интеграция знаний в кардиологии». - М., 2012. - С. 326-327. Морозова (Павлова) ранней реваскуляризации миокарда у пациентов с инфарктом миокарда с подъемом сегмента ST на развитие ремоделирования левого желудочка / (Павлова), , // Тезисы Российского национального конгресса кардиологов «Интеграция знаний в кардиологии». - М., 2012. - С. 345-346. Morozova (Pavlova) A. Prognostic significance of the biomarkers levels for evaluation of progressive ventricular remodeling in patients after acute coronary syndrome / G. Kukharchik, N. Nesterova, A. Morozova (Pavlova), I. Konstantinova // Cardiovascular Research. – 2012. – Vol. 93, suppl.1. – P. S86. Morozova (Pavlova) A. Correlation between biomarkers levels and types of postinfarction remodeling according to cardiac magnetic resonance imaging / G. Kukharchik, A. Morozova (Pavlova), N. Nesterova // European Journal of Heart Failure Supplements– Vol. 11, suppl 1. – P. 1118. Морозова (Павлова) между содержанием биомаркеров и течением постинфарктного ремоделирования миокарда / , (Павлова), , // Российский кардиологический журналТ. 99, №1. – С. 65-69. Морозова уровня окклюзии инфаркт-связанной коронарной артерии на объем поражения миокарда при инфаркте миокарда с подъемом сегмента ST / , , // Под ред. // Невский радиологический форум 2013. – СПб, 2013. – С. 114. Морозова особенности течения первичного инфаркта миокарда с подъемом сегмента ST / , // Кардиоваскулярная терапия и профилактика– Т. 12. – С. 103. Морозова результатов магнитно-резонансной томографии с отсроченным контрастированием при инфаркте миокарда / , , // Радиология-практика№3. - С. 15-23. Влияние реваскуляризации на объем пораженного миокарда и периинфарктную зону у больных инфарктом миокарда с подъемом сегмента ST / , , // Материалы Российского национального конгресса кардиологов «Кардиология: от науки – к практике». - СПб, 2013. - С. 383. Прогнозирование ремоделирования миокарда у больных первичным инфарктом миокарда с подъемом сегмента ST / , , // Материалы Российского национального конгресса кардиологов «Кардиология: от науки – к практике». - СПб, 2013. - С. 384.Список сокращений, использованных в автореферате
ЖНР – желудочковые нарушения ритма
ИБС – ишемическая болезнь сердца
ИКДО – индекс конечного диастолического объема
ИКДР – индекс конечного диастолического размера
ИКСО – индекс конечного систолического объема
ИКСР – индекс конечного систолического размера
ИМ – инфаркт миокарда
ИМПМ – индекс массы пораженного миокарда
ИМпST – инфаркт миокарда с подъемом сегмента ST
ИСА – инфаркт-связанная артерия
ЛЖ – левый желудочек
МВО – микроваскулярная обструкция
МРТ – магнитно-резонансная томография
СН – сердечная недостаточность
ФВ – фракция выброса
ФК – функциональный класс
ХСН – хроническая сердечная недостаточность
ЭКГ – электрокардиография
NT-proBNP - N-терминальный фрагмент мозгового натрийуретического пептида



